Номер 2.394, страница 135 - гдз по алгебре 7 класс учебник Арефьева, Пирютко

Алгебра, 7 класс Учебник, авторы: Арефьева Ирина Глебовна, Пирютко Ольга Николаевна, издательство Народная асвета, Минск, 2022, зелёного цвета

Авторы: Арефьева И. Г., Пирютко О. Н.

Тип: Учебник

Издательство: Народная асвета

Год издания: 2022 - 2025

Цвет обложки: зелёный с графиком

ISBN: ISBN 978-985-03-3770-2

Допущено Министерством образования Республики Беларусь

Популярные ГДЗ в 7 классе

Глава 2. Выражения и их преобразования. Параграф 14. Разложение многочлена на множители - номер 2.394, страница 135.

№2.394 (с. 135)
Условие. №2.394 (с. 135)
скриншот условия
Алгебра, 7 класс Учебник, авторы: Арефьева Ирина Глебовна, Пирютко Ольга Николаевна, издательство Народная асвета, Минск, 2022, зелёного цвета, страница 135, номер 2.394, Условие

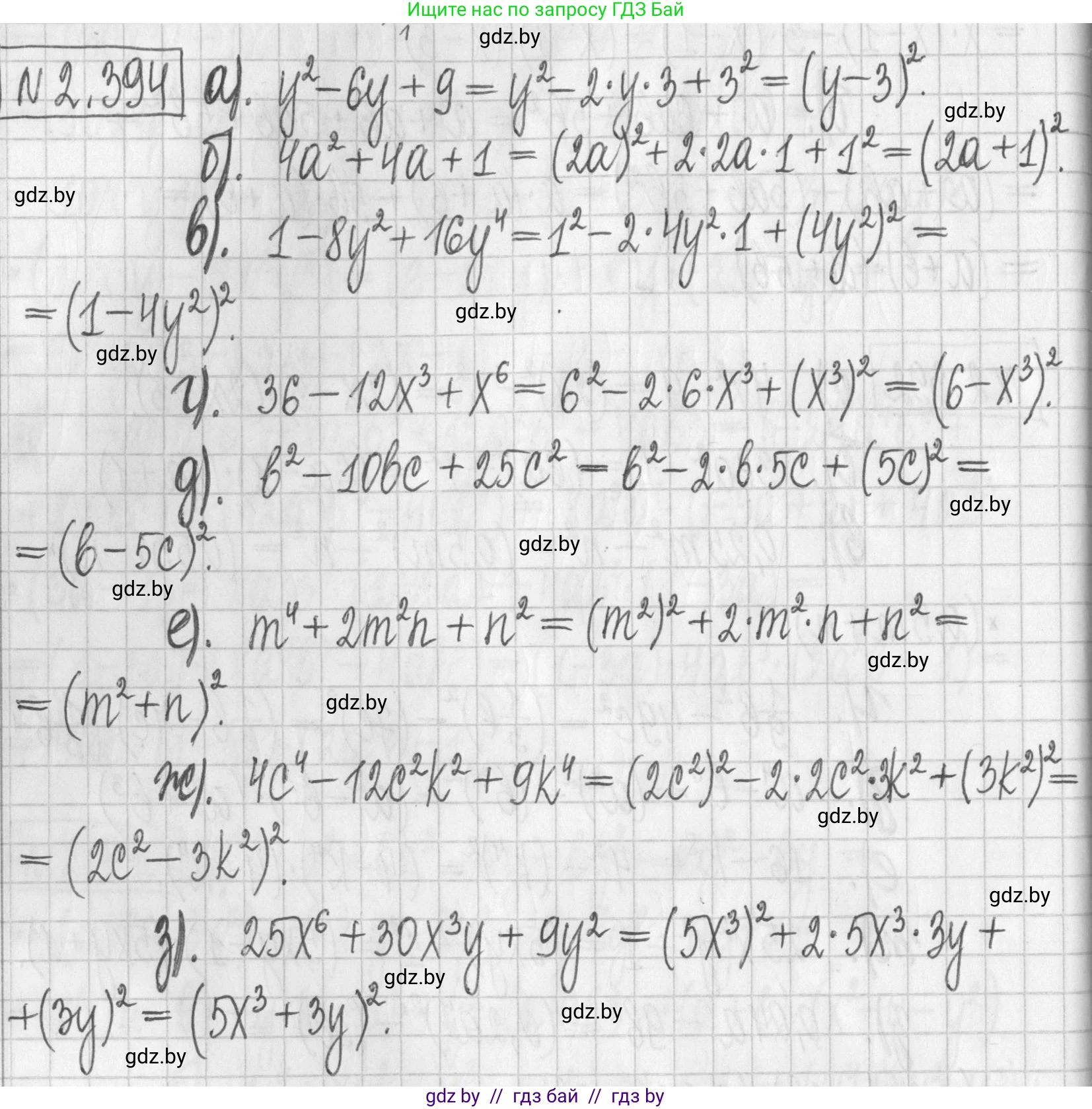
2.394. Используя формулу квадрата суммы или квадрата разности, разложите многочлен на множители:

а) $y^2 - 6y + 9;$

б) $4a^2 + 4a + 1;$

в) $1 - 8y^2 + 16y^4;$

г) $36 - 12x^3 + x^6;$

д) $b^2 - 10bc + 25c^2;$

е) $m^4 + 2m^2n + n^2;$

ж) $4c^4 - 12c^2k^2 + 9k^4;$

з) $25x^6 + 30x^3y + 9y^2.$

Решение. №2.394 (с. 135)
Алгебра, 7 класс Учебник, авторы: Арефьева Ирина Глебовна, Пирютко Ольга Николаевна, издательство Народная асвета, Минск, 2022, зелёного цвета, страница 135, номер 2.394, Решение
Решение 2. №2.394 (с. 135)

Для решения данной задачи используются формулы сокращенного умножения:

  • Квадрат суммы: $(a+b)^2 = a^2 + 2ab + b^2$
  • Квадрат разности: $(a-b)^2 = a^2 - 2ab + b^2$

а) $y^2 - 6y + 9$

Применим формулу квадрата разности $(a-b)^2 = a^2 - 2ab + b^2$.
В данном выражении:

  • $a^2 = y^2 \Rightarrow a=y$
  • $b^2 = 9 \Rightarrow b=3$
  • Удвоенное произведение $2ab = 2 \cdot y \cdot 3 = 6y$.

Так как средний член имеет знак минус, получаем: $y^2 - 6y + 9 = (y-3)^2$.

Ответ: $(y-3)^2$.

б) $4a^2 + 4a + 1$

Применим формулу квадрата суммы $(a+b)^2 = a^2 + 2ab + b^2$.
В данном выражении:

  • $a^2 = 4a^2 = (2a)^2 \Rightarrow a=2a$
  • $b^2 = 1 = 1^2 \Rightarrow b=1$
  • Удвоенное произведение $2ab = 2 \cdot 2a \cdot 1 = 4a$.

Все члены соответствуют формуле, следовательно: $4a^2 + 4a + 1 = (2a+1)^2$.

Ответ: $(2a+1)^2$.

в) $1 - 8y^2 + 16y^4$

Применим формулу квадрата разности $(a-b)^2 = a^2 - 2ab + b^2$.
В данном выражении:

  • $a^2 = 1 = 1^2 \Rightarrow a=1$
  • $b^2 = 16y^4 = (4y^2)^2 \Rightarrow b=4y^2$
  • Удвоенное произведение $2ab = 2 \cdot 1 \cdot 4y^2 = 8y^2$.

Так как средний член имеет знак минус, получаем: $1 - 8y^2 + 16y^4 = (1-4y^2)^2$.

Ответ: $(1-4y^2)^2$.

г) $36 - 12x^3 + x^6$

Применим формулу квадрата разности $(a-b)^2 = a^2 - 2ab + b^2$.
В данном выражении:

  • $a^2 = 36 = 6^2 \Rightarrow a=6$
  • $b^2 = x^6 = (x^3)^2 \Rightarrow b=x^3$
  • Удвоенное произведение $2ab = 2 \cdot 6 \cdot x^3 = 12x^3$.

Так как средний член имеет знак минус, получаем: $36 - 12x^3 + x^6 = (6-x^3)^2$.

Ответ: $(6-x^3)^2$.

д) $b^2 - 10bc + 25c^2$

Применим формулу квадрата разности $(a-b)^2 = a^2 - 2ab + b^2$.
В данном выражении:

  • $a^2 = b^2 \Rightarrow a=b$
  • $b^2 = 25c^2 = (5c)^2 \Rightarrow b=5c$
  • Удвоенное произведение $2ab = 2 \cdot b \cdot 5c = 10bc$.

Так как средний член имеет знак минус, получаем: $b^2 - 10bc + 25c^2 = (b-5c)^2$.

Ответ: $(b-5c)^2$.

е) $m^4 + 2m^2n + n^2$

Применим формулу квадрата суммы $(a+b)^2 = a^2 + 2ab + b^2$.
В данном выражении:

  • $a^2 = m^4 = (m^2)^2 \Rightarrow a=m^2$
  • $b^2 = n^2 \Rightarrow b=n$
  • Удвоенное произведение $2ab = 2 \cdot m^2 \cdot n = 2m^2n$.

Все члены соответствуют формуле, следовательно: $m^4 + 2m^2n + n^2 = (m^2+n)^2$.

Ответ: $(m^2+n)^2$.

ж) $4c^4 - 12c^2k^2 + 9k^4$

Применим формулу квадрата разности $(a-b)^2 = a^2 - 2ab + b^2$.
В данном выражении:

  • $a^2 = 4c^4 = (2c^2)^2 \Rightarrow a=2c^2$
  • $b^2 = 9k^4 = (3k^2)^2 \Rightarrow b=3k^2$
  • Удвоенное произведение $2ab = 2 \cdot 2c^2 \cdot 3k^2 = 12c^2k^2$.

Так как средний член имеет знак минус, получаем: $4c^4 - 12c^2k^2 + 9k^4 = (2c^2 - 3k^2)^2$.

Ответ: $(2c^2-3k^2)^2$.

з) $25x^6 + 30x^3y + 9y^2$

Применим формулу квадрата суммы $(a+b)^2 = a^2 + 2ab + b^2$.
В данном выражении:

  • $a^2 = 25x^6 = (5x^3)^2 \Rightarrow a=5x^3$
  • $b^2 = 9y^2 = (3y)^2 \Rightarrow b=3y$
  • Удвоенное произведение $2ab = 2 \cdot 5x^3 \cdot 3y = 30x^3y$.

Все члены соответствуют формуле, следовательно: $25x^6 + 30x^3y + 9y^2 = (5x^3+3y)^2$.

Ответ: $(5x^3+3y)^2$.

Помогло решение? Оставьте отзыв в комментариях ниже.

Присоединяйтесь к Телеграм-группе @gdz_by_belarus

Присоединиться

Мы подготовили для вас ответ c подробным объяснением домашего задания по алгебре за 7 класс, для упражнения номер 2.394 расположенного на странице 135 к учебнику 2022 года издания для учащихся школ и гимназий.

Теперь на нашем сайте ГДЗ.ТОП вы всегда легко и бесплатно найдёте условие с правильным ответом на вопрос «Как решить ДЗ» и «Как сделать» задание по алгебре к упражнению №2.394 (с. 135), авторов: Арефьева (Ирина Глебовна), Пирютко (Ольга Николаевна), учебного пособия издательства Народная асвета.