Номер 2.441, страница 140 - гдз по алгебре 7 класс учебник Арефьева, Пирютко

Алгебра, 7 класс Учебник, авторы: Арефьева Ирина Глебовна, Пирютко Ольга Николаевна, издательство Народная асвета, Минск, 2022, зелёного цвета

Авторы: Арефьева И. Г., Пирютко О. Н.

Тип: Учебник

Издательство: Народная асвета

Год издания: 2022 - 2025

Цвет обложки: зелёный с графиком

ISBN: ISBN 978-985-03-3770-2

Допущено Министерством образования Республики Беларусь

Популярные ГДЗ в 7 классе

Глава 2. Выражения и их преобразования. Параграф 14. Разложение многочлена на множители - номер 2.441, страница 140.

№2.441 (с. 140)
Условие. №2.441 (с. 140)
скриншот условия
Алгебра, 7 класс Учебник, авторы: Арефьева Ирина Глебовна, Пирютко Ольга Николаевна, издательство Народная асвета, Минск, 2022, зелёного цвета, страница 140, номер 2.441, Условие
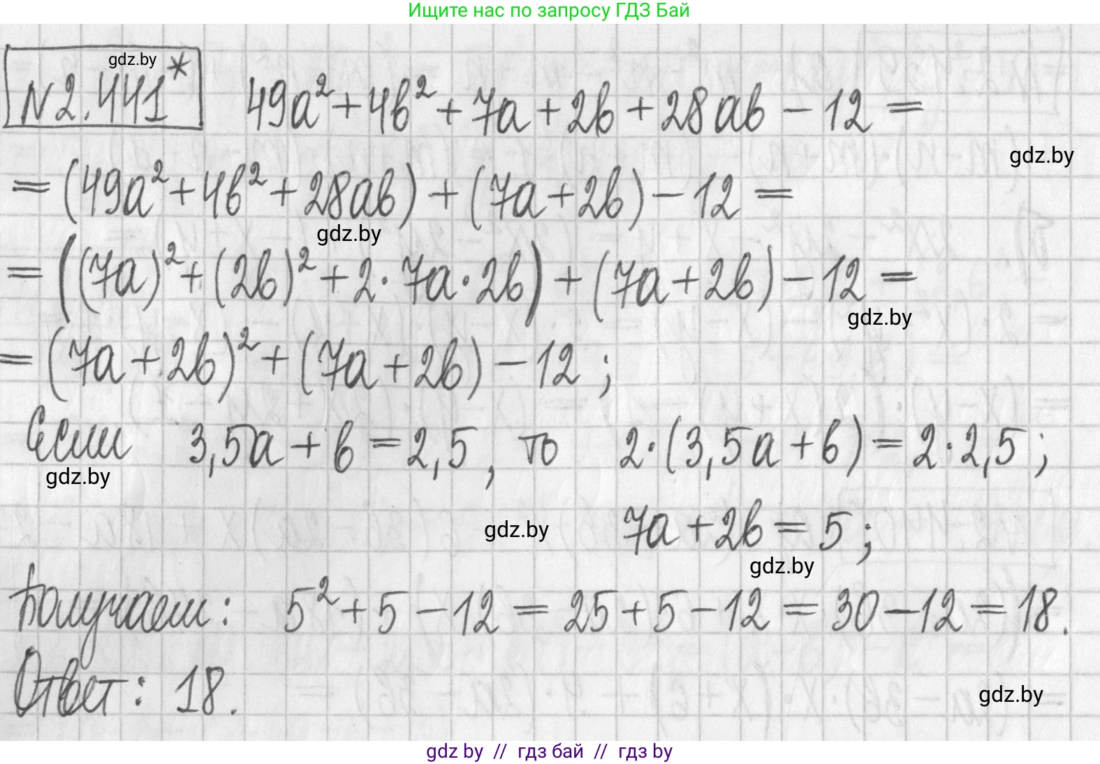
2.441*. Найдите значение выражения

$49a^2 + 4b^2 + 7a + 2b + 28ab - 12$, если $3,5a + b = 2,5$.

Решение. №2.441 (с. 140)
Алгебра, 7 класс Учебник, авторы: Арефьева Ирина Глебовна, Пирютко Ольга Николаевна, издательство Народная асвета, Минск, 2022, зелёного цвета, страница 140, номер 2.441, Решение
Решение 2. №2.441 (с. 140)

Для решения данной задачи необходимо упростить исходное выражение, заметив в нем формулу сокращенного умножения, а затем использовать данное условие.

Шаг 1: Упрощение выражения.
Перегруппируем слагаемые в выражении $49a^2 + 4b^2 + 7a + 2b + 28ab - 12$:
$(49a^2 + 28ab + 4b^2) + (7a + 2b) - 12$
Выражение в скобках является полным квадратом суммы, так как $49a^2 = (7a)^2$, $4b^2 = (2b)^2$ и $28ab = 2 \cdot 7a \cdot 2b$. Это соответствует формуле $(x+y)^2 = x^2+2xy+y^2$.
Таким образом, $(49a^2 + 28ab + 4b^2) = (7a + 2b)^2$.
Подставив это обратно в исходное выражение, получаем:
$(7a + 2b)^2 + (7a + 2b) - 12$

Шаг 2: Использование условия.
Нам дано, что $3,5a + b = 2,5$.
Чтобы найти значение выражения $7a + 2b$, которое мы получили в упрощенной форме, умножим обе части данного равенства на 2:
$2 \cdot (3,5a + b) = 2 \cdot 2,5$
$7a + 2b = 5$

Шаг 3: Вычисление итогового значения.
Теперь подставим найденное значение $7a + 2b = 5$ в преобразованное на первом шаге выражение:
$(5)^2 + 5 - 12 = 25 + 5 - 12 = 30 - 12 = 18$.

Ответ: 18

Помогло решение? Оставьте отзыв в комментариях ниже.

Присоединяйтесь к Телеграм-группе @gdz_by_belarus

Присоединиться

Мы подготовили для вас ответ c подробным объяснением домашего задания по алгебре за 7 класс, для упражнения номер 2.441 расположенного на странице 140 к учебнику 2022 года издания для учащихся школ и гимназий.

Теперь на нашем сайте ГДЗ.ТОП вы всегда легко и бесплатно найдёте условие с правильным ответом на вопрос «Как решить ДЗ» и «Как сделать» задание по алгебре к упражнению №2.441 (с. 140), авторов: Арефьева (Ирина Глебовна), Пирютко (Ольга Николаевна), учебного пособия издательства Народная асвета.