Номер 3.306, страница 225 - гдз по алгебре 7 класс учебник Арефьева, Пирютко

Алгебра, 7 класс Учебник, авторы: Арефьева Ирина Глебовна, Пирютко Ольга Николаевна, издательство Народная асвета, Минск, 2022, зелёного цвета

Авторы: Арефьева И. Г., Пирютко О. Н.

Тип: Учебник

Издательство: Народная асвета

Год издания: 2022 - 2025

Цвет обложки: зелёный с графиком

ISBN: ISBN 978-985-03-3770-2

Допущено Министерством образования Республики Беларусь

Популярные ГДЗ в 7 классе

Глава 3. Линейные уравнения. Линейные неравенства. Линейная функция. Параграф 19. Функция - номер 3.306, страница 225.

№3.306 (с. 225)
Условие. №3.306 (с. 225)
скриншот условия
Алгебра, 7 класс Учебник, авторы: Арефьева Ирина Глебовна, Пирютко Ольга Николаевна, издательство Народная асвета, Минск, 2022, зелёного цвета, страница 225, номер 3.306, Условие

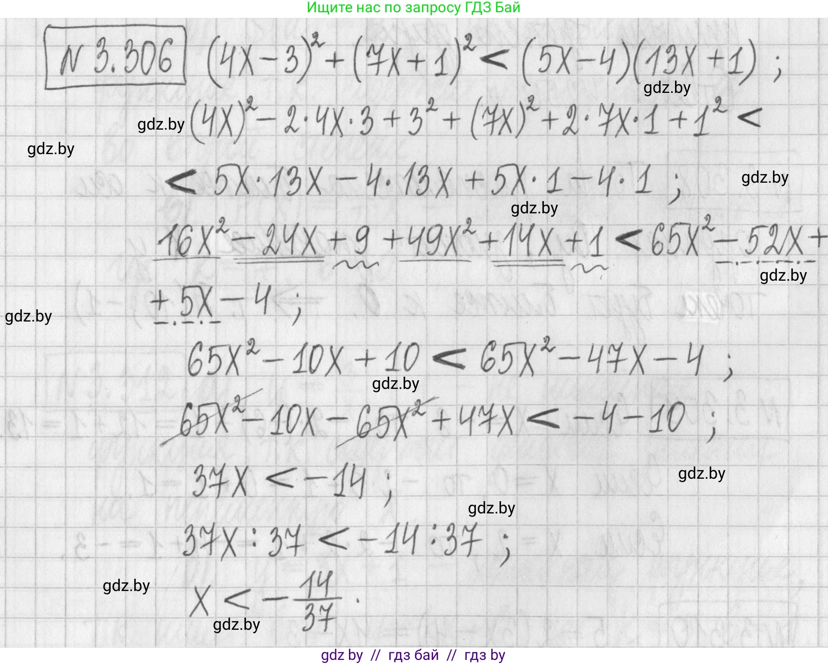
3.306. Решите неравенство

$(4x - 3)^2 + (7x + 1)^2 < (5x - 4)(13x + 1).$

Решение. №3.306 (с. 225)
Алгебра, 7 класс Учебник, авторы: Арефьева Ирина Глебовна, Пирютко Ольга Николаевна, издательство Народная асвета, Минск, 2022, зелёного цвета, страница 225, номер 3.306, Решение
Решение 2. №3.306 (с. 225)

Решим неравенство $(4x-3)^2 + (7x+1)^2 < (5x-4)(13x+1)$.

Сначала раскроем скобки в обеих частях неравенства. В левой части воспользуемся формулами сокращенного умножения: $(a-b)^2=a^2-2ab+b^2$ и $(a+b)^2=a^2+2ab+b^2$.

$(4x-3)^2 = (4x)^2 - 2 \cdot 4x \cdot 3 + 3^2 = 16x^2 - 24x + 9$

$(7x+1)^2 = (7x)^2 + 2 \cdot 7x \cdot 1 + 1^2 = 49x^2 + 14x + 1$

В правой части выполним умножение многочленов:

$(5x-4)(13x+1) = 5x \cdot 13x + 5x \cdot 1 - 4 \cdot 13x - 4 \cdot 1 = 65x^2 + 5x - 52x - 4 = 65x^2 - 47x - 4$

Теперь подставим полученные выражения в исходное неравенство и упростим левую часть, сложив подобные слагаемые:

$(16x^2 - 24x + 9) + (49x^2 + 14x + 1) < 65x^2 - 47x - 4$

$(16x^2 + 49x^2) + (-24x + 14x) + (9 + 1) < 65x^2 - 47x - 4$

$65x^2 - 10x + 10 < 65x^2 - 47x - 4$

Перенесем все члены с переменной $x$ в левую часть, а постоянные члены — в правую. Обратим внимание, что члены $65x^2$ в обеих частях взаимно уничтожаются.

$-10x + 47x < -4 - 10$

$37x < -14$

Разделим обе части неравенства на положительное число 37. Знак неравенства при этом сохраняется:

$x < -\frac{14}{37}$

Полученная дробь $-\frac{14}{37}$ является правильной, так как модуль числителя (14) меньше модуля знаменателя (37), следовательно, выделение целой части не требуется.

Ответ: $x \in (-\infty; -\frac{14}{37})$

Помогло решение? Оставьте отзыв в комментариях ниже.

Присоединяйтесь к Телеграм-группе @gdz_by_belarus

Присоединиться

Мы подготовили для вас ответ c подробным объяснением домашего задания по алгебре за 7 класс, для упражнения номер 3.306 расположенного на странице 225 к учебнику 2022 года издания для учащихся школ и гимназий.

Теперь на нашем сайте ГДЗ.ТОП вы всегда легко и бесплатно найдёте условие с правильным ответом на вопрос «Как решить ДЗ» и «Как сделать» задание по алгебре к упражнению №3.306 (с. 225), авторов: Арефьева (Ирина Глебовна), Пирютко (Ольга Николаевна), учебного пособия издательства Народная асвета.