Номер 9, страница 144 - гдз по алгебре 7 класс учебник Арефьева, Пирютко

Алгебра, 7 класс Учебник, авторы: Арефьева Ирина Глебовна, Пирютко Ольга Николаевна, издательство Народная асвета, Минск, 2022, зелёного цвета

Авторы: Арефьева И. Г., Пирютко О. Н.

Тип: Учебник

Издательство: Народная асвета

Год издания: 2022 - 2025

Цвет обложки: зелёный с графиком

ISBN: ISBN 978-985-03-3770-2

Допущено Министерством образования Республики Беларусь

Популярные ГДЗ в 7 классе

Глава 2. Выражения и их преобразования. Я проверяю свои знания - номер 9, страница 144.

№9 (с. 144)
Условие. №9 (с. 144)
скриншот условия
Алгебра, 7 класс Учебник, авторы: Арефьева Ирина Глебовна, Пирютко Ольга Николаевна, издательство Народная асвета, Минск, 2022, зелёного цвета, страница 144, номер 9, Условие

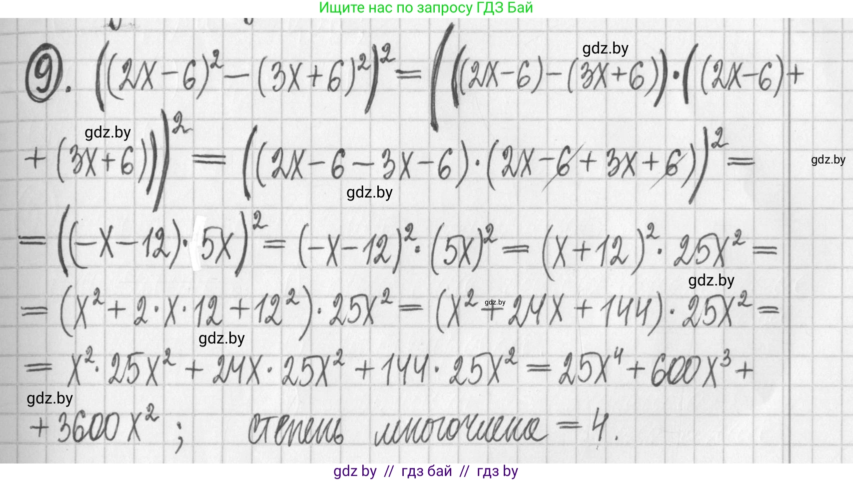
9. Преобразуйте выражение $((2x - 6)^2 - (3x + 6)^2)$ в многочлен стандартного вида. Какова степень полученного многочлена?

Решение. №9 (с. 144)
Алгебра, 7 класс Учебник, авторы: Арефьева Ирина Глебовна, Пирютко Ольга Николаевна, издательство Народная асвета, Минск, 2022, зелёного цвета, страница 144, номер 9, Решение
Решение 2. №9 (с. 144)

Преобразуйте выражение $(2x - 6)^2 - (3x + 6)^2$ в многочлен стандартного вида.

Для решения этой задачи можно использовать формулу сокращенного умножения "разность квадратов": $a^2 - b^2 = (a - b)(a + b)$.

В данном выражении:

  • $a = (2x - 6)$
  • $b = (3x + 6)$

Подставим $a$ и $b$ в формулу:

$(2x - 6)^2 - (3x + 6)^2 = ((2x - 6) - (3x + 6)) \cdot ((2x - 6) + (3x + 6))$

Упростим выражение в каждой из скобок:

1. Раскрываем первую скобку (вычитание):

$(2x - 6) - (3x + 6) = 2x - 6 - 3x - 6 = (2x - 3x) + (-6 - 6) = -x - 12$

2. Раскрываем вторую скобку (сложение):

$(2x - 6) + (3x + 6) = 2x - 6 + 3x + 6 = (2x + 3x) + (-6 + 6) = 5x$

Теперь перемножим полученные результаты:

$(-x - 12) \cdot (5x) = -x \cdot 5x - 12 \cdot 5x = -5x^2 - 60x$

Таким образом, многочлен в стандартном виде выглядит как $-5x^2 - 60x$.

Ответ: $-5x^2 - 60x$

Какова степень полученного многочлена?

Степень многочлена определяется по наибольшей степени переменной в его стандартном виде.

В полученном многочлене $-5x^2 - 60x$ есть два члена:

  • $-5x^2$, степень переменной $x$ равна 2.
  • $-60x$ (что эквивалентно $-60x^1$), степень переменной $x$ равна 1.

Наибольшая из этих степеней – 2.

Ответ: 2

Помогло решение? Оставьте отзыв в комментариях ниже.

Присоединяйтесь к Телеграм-группе @gdz_by_belarus

Присоединиться

Мы подготовили для вас ответ c подробным объяснением домашего задания по алгебре за 7 класс, для упражнения номер 9 расположенного на странице 144 к учебнику 2022 года издания для учащихся школ и гимназий.

Теперь на нашем сайте ГДЗ.ТОП вы всегда легко и бесплатно найдёте условие с правильным ответом на вопрос «Как решить ДЗ» и «Как сделать» задание по алгебре к упражнению №9 (с. 144), авторов: Арефьева (Ирина Глебовна), Пирютко (Ольга Николаевна), учебного пособия издательства Народная асвета.