Номер 7, страница 144 - гдз по алгебре 7 класс учебник Арефьева, Пирютко

Алгебра, 7 класс Учебник, авторы: Арефьева Ирина Глебовна, Пирютко Ольга Николаевна, издательство Народная асвета, Минск, 2022, зелёного цвета

Авторы: Арефьева И. Г., Пирютко О. Н.

Тип: Учебник

Издательство: Народная асвета

Год издания: 2022 - 2025

Цвет обложки: зелёный с графиком

ISBN: ISBN 978-985-03-3770-2

Допущено Министерством образования Республики Беларусь

Популярные ГДЗ в 7 классе

Глава 2. Выражения и их преобразования. Я проверяю свои знания - номер 7, страница 144.

№7 (с. 144)
Условие. №7 (с. 144)
скриншот условия
Алгебра, 7 класс Учебник, авторы: Арефьева Ирина Глебовна, Пирютко Ольга Николаевна, издательство Народная асвета, Минск, 2022, зелёного цвета, страница 144, номер 7, Условие

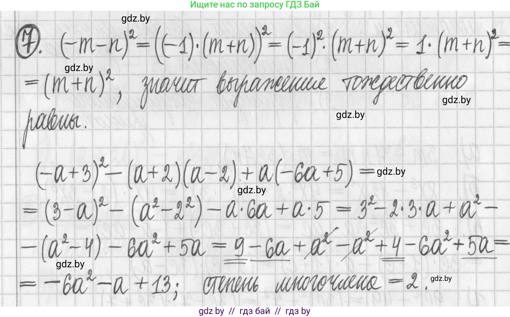
7. Верно ли, что выражения $(m+n)^2$ и $(-m-n)^2$ тождественно равны? Представьте в стандартном виде многочлен, полученный в результате тождественных преобразований выражения

$(-a+3)^2-(a+2)(a-2)+a(-6a+5).$

Определите степень полученного многочлена.

Решение. №7 (с. 144)
Алгебра, 7 класс Учебник, авторы: Арефьева Ирина Глебовна, Пирютко Ольга Николаевна, издательство Народная асвета, Минск, 2022, зелёного цвета, страница 144, номер 7, Решение
Решение 2. №7 (с. 144)

Чтобы проверить, являются ли выражения тождественно равными, преобразуем второе выражение. Выражения тождественно равны, если они равны при любых значениях входящих в них переменных.

Способ 1: Преобразование выражения.
Вынесем общий множитель $-1$ за скобки в выражении $(-m - n)$:
$(-m - n)^2 = (-(m + n))^2$

Используем свойство степени $(ab)^k = a^k b^k$:
$(-(m + n))^2 = (-1)^2 \cdot (m + n)^2$

Так как $(-1)^2 = 1$, получаем:
$1 \cdot (m + n)^2 = (m + n)^2$

Способ 2: Раскрытие скобок по формуле квадрата суммы.
$(m + n)^2 = m^2 + 2mn + n^2$
$(-m - n)^2 = (-m)^2 + 2(-m)(-n) + (-n)^2 = m^2 + 2mn + n^2$

Оба способа показывают, что выражение $(-m - n)^2$ тождественно равно выражению $(m + n)^2$.

Ответ: Да, верно.

Представьте в стандартном виде многочлен, полученный в результате тождественных преобразований выражения $(-a + 3)^2 - (a + 2)(a - 2) + a(-6a + 5)$.

Упростим данное выражение, выполнив все действия по порядку.

1. Используем формулу квадрата разности $(x - y)^2 = x^2 - 2xy + y^2$ для первого слагаемого. Запишем $(-a + 3)^2$ как $(3 - a)^2$:
$(3 - a)^2 = 3^2 - 2 \cdot 3 \cdot a + a^2 = 9 - 6a + a^2$

2. Используем формулу разности квадратов $(x + y)(x - y) = x^2 - y^2$ для второго слагаемого:
$(a + 2)(a - 2) = a^2 - 2^2 = a^2 - 4$

3. Раскроем скобки в третьем слагаемом путем умножения (распределительный закон):
$a(-6a + 5) = a \cdot (-6a) + a \cdot 5 = -6a^2 + 5a$

Теперь подставим упрощенные части обратно в исходное выражение:
$(9 - 6a + a^2) - (a^2 - 4) + (-6a^2 + 5a)$

Раскроем скобки, обращая внимание на знаки:
$9 - 6a + a^2 - a^2 + 4 - 6a^2 + 5a$

Приведем подобные слагаемые (члены с одинаковой переменной в одинаковой степени):
$(a^2 - a^2 - 6a^2) + (-6a + 5a) + (9 + 4) = -6a^2 - a + 13$

Стандартный вид многочлена: $-6a^2 - a + 13$.

Ответ: $-6a^2 - a + 13$.

Определите степень полученного многочлена.

Полученный многочлен в стандартном виде: $-6a^2 - a + 13$.

Степенью многочлена стандартного вида называют наибольшую из степеней входящих в него одночленов. В данном многочлене три одночлена:

  • $-6a^2$ (степень 2)
  • $-a$ (или $-a^1$, степень 1)
  • $13$ (или $13a^0$, степень 0)

Наибольшая из этих степеней равна 2. Следовательно, степень многочлена равна 2.

Ответ: 2.

Помогло решение? Оставьте отзыв в комментариях ниже.

Присоединяйтесь к Телеграм-группе @gdz_by_belarus

Присоединиться

Мы подготовили для вас ответ c подробным объяснением домашего задания по алгебре за 7 класс, для упражнения номер 7 расположенного на странице 144 к учебнику 2022 года издания для учащихся школ и гимназий.

Теперь на нашем сайте ГДЗ.ТОП вы всегда легко и бесплатно найдёте условие с правильным ответом на вопрос «Как решить ДЗ» и «Как сделать» задание по алгебре к упражнению №7 (с. 144), авторов: Арефьева (Ирина Глебовна), Пирютко (Ольга Николаевна), учебного пособия издательства Народная асвета.