Номер 3.33, страница 156 - гдз по алгебре 7 класс учебник Арефьева, Пирютко

Алгебра, 7 класс Учебник, авторы: Арефьева Ирина Глебовна, Пирютко Ольга Николаевна, издательство Народная асвета, Минск, 2022, зелёного цвета

Авторы: Арефьева И. Г., Пирютко О. Н.

Тип: Учебник

Издательство: Народная асвета

Год издания: 2022 - 2025

Цвет обложки: зелёный с графиком

ISBN: ISBN 978-985-03-3770-2

Допущено Министерством образования Республики Беларусь

Популярные ГДЗ в 7 классе

Глава 3. Линейные уравнения. Линейные неравенства. Линейная функция. Параграф 15. Линейные уравнения с одной переменной - номер 3.33, страница 156.

№3.33 (с. 156)
Условие. №3.33 (с. 156)
скриншот условия
Алгебра, 7 класс Учебник, авторы: Арефьева Ирина Глебовна, Пирютко Ольга Николаевна, издательство Народная асвета, Минск, 2022, зелёного цвета, страница 156, номер 3.33, Условие

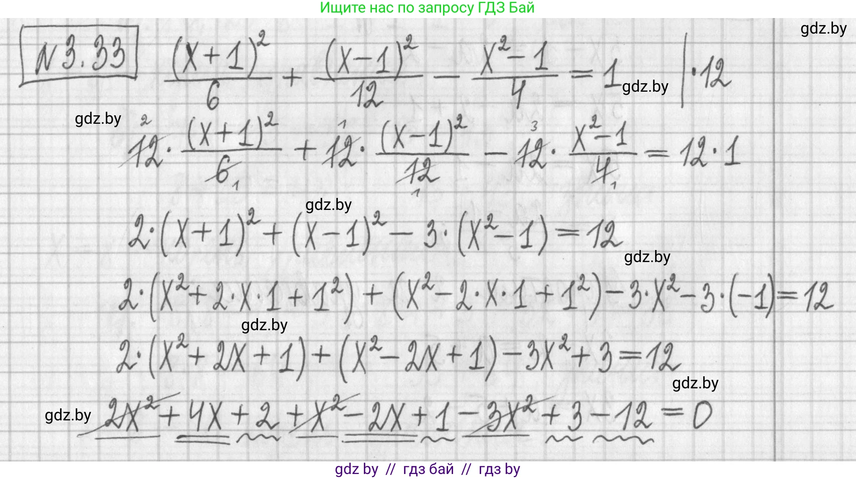
3.33. Решите уравнение

$\frac{(x+1)^2}{6} + \frac{(x-1)^2}{12} - \frac{x^2-1}{4} = 1.$

Решение. №3.33 (с. 156)
Алгебра, 7 класс Учебник, авторы: Арефьева Ирина Глебовна, Пирютко Ольга Николаевна, издательство Народная асвета, Минск, 2022, зелёного цвета, страница 156, номер 3.33, Решение Алгебра, 7 класс Учебник, авторы: Арефьева Ирина Глебовна, Пирютко Ольга Николаевна, издательство Народная асвета, Минск, 2022, зелёного цвета, страница 156, номер 3.33, Решение (продолжение 2)
Решение 2. №3.33 (с. 156)

Исходное уравнение:

$$ \frac{(x+1)^2}{6} + \frac{(x-1)^2}{12} - \frac{x^2-1}{4} = 1 $$

Для решения данного уравнения необходимо избавиться от дробей. Для этого найдем наименьший общий знаменатель для чисел 6, 12 и 4. Наименьшее общее кратное (НОК) этих чисел равно 12.

Умножим обе части уравнения на 12:

$$ 12 \cdot \left( \frac{(x+1)^2}{6} + \frac{(x-1)^2}{12} - \frac{x^2-1}{4} \right) = 12 \cdot 1 $$

Выполним умножение для каждого члена уравнения:

$$ \frac{12 \cdot (x+1)^2}{6} + \frac{12 \cdot (x-1)^2}{12} - \frac{12 \cdot (x^2-1)}{4} = 12 $$

Сократим коэффициенты:

$$ 2(x+1)^2 + (x-1)^2 - 3(x^2-1) = 12 $$

Теперь раскроем скобки. Применим формулы сокращенного умножения: $(a+b)^2 = a^2+2ab+b^2$ и $(a-b)^2 = a^2-2ab+b^2$.

$$ 2(x^2 + 2x + 1) + (x^2 - 2x + 1) - 3(x^2 - 1) = 12 $$

Распределим множители:

$$ 2x^2 + 4x + 2 + x^2 - 2x + 1 - 3x^2 + 3 = 12 $$

Сгруппируем и приведем подобные слагаемые. Сначала слагаемые с $x^2$, затем с $x$, и наконец свободные члены:

$$ (2x^2 + x^2 - 3x^2) + (4x - 2x) + (2 + 1 + 3) = 12 $$

Выполним вычисления в скобках:

$$ 0 \cdot x^2 + 2x + 6 = 12 $$

Уравнение упрощается до линейного вида:

$$ 2x + 6 = 12 $$

Для нахождения $x$, перенесем 6 в правую часть уравнения с противоположным знаком:

$$ 2x = 12 - 6 $$

$$ 2x = 6 $$

Разделим обе части уравнения на 2:

$$ x = \frac{6}{2} $$

$$ x = 3 $$

Проведем проверку, подставив найденное значение $x=3$ в исходное уравнение:

$$ \frac{(3+1)^2}{6} + \frac{(3-1)^2}{12} - \frac{3^2-1}{4} = \frac{4^2}{6} + \frac{2^2}{12} - \frac{9-1}{4} = \frac{16}{6} + \frac{4}{12} - \frac{8}{4} $$

$$ = \frac{8}{3} + \frac{1}{3} - 2 = \frac{9}{3} - 2 = 3 - 2 = 1 $$

$$ 1 = 1 $$

Равенство верное, следовательно, корень уравнения найден правильно.

Ответ: 3

Помогло решение? Оставьте отзыв в комментариях ниже.

Присоединяйтесь к Телеграм-группе @gdz_by_belarus

Присоединиться

Мы подготовили для вас ответ c подробным объяснением домашего задания по алгебре за 7 класс, для упражнения номер 3.33 расположенного на странице 156 к учебнику 2022 года издания для учащихся школ и гимназий.

Теперь на нашем сайте ГДЗ.ТОП вы всегда легко и бесплатно найдёте условие с правильным ответом на вопрос «Как решить ДЗ» и «Как сделать» задание по алгебре к упражнению №3.33 (с. 156), авторов: Арефьева (Ирина Глебовна), Пирютко (Ольга Николаевна), учебного пособия издательства Народная асвета.