Номер 4.51, страница 268 - гдз по алгебре 7 класс учебник Арефьева, Пирютко

Алгебра, 7 класс Учебник, авторы: Арефьева Ирина Глебовна, Пирютко Ольга Николаевна, издательство Народная асвета, Минск, 2022, зелёного цвета

Авторы: Арефьева И. Г., Пирютко О. Н.

Тип: Учебник

Издательство: Народная асвета

Год издания: 2022 - 2025

Цвет обложки: зелёный с графиком

ISBN: ISBN 978-985-03-3770-2

Допущено Министерством образования Республики Беларусь

Популярные ГДЗ в 7 классе

Глава 4. Системы двух линейных уравнений с двумя переменными. Параграф 22. График линейного уравнения ax + by = c с двумя переменными - номер 4.51, страница 268.

№4.51 (с. 268)
Условие. №4.51 (с. 268)
скриншот условия
Алгебра, 7 класс Учебник, авторы: Арефьева Ирина Глебовна, Пирютко Ольга Николаевна, издательство Народная асвета, Минск, 2022, зелёного цвета, страница 268, номер 4.51, Условие

4.51. Постройте график уравнения:

а) $x + y = 5$;

б) $-2x + 3y = 4$;

в) $0x - 8y = 32$;

г) $-x + 0y = 3$.

Решение. №4.51 (с. 268)
Алгебра, 7 класс Учебник, авторы: Арефьева Ирина Глебовна, Пирютко Ольга Николаевна, издательство Народная асвета, Минск, 2022, зелёного цвета, страница 268, номер 4.51, Решение Алгебра, 7 класс Учебник, авторы: Арефьева Ирина Глебовна, Пирютко Ольга Николаевна, издательство Народная асвета, Минск, 2022, зелёного цвета, страница 268, номер 4.51, Решение (продолжение 2) Алгебра, 7 класс Учебник, авторы: Арефьева Ирина Глебовна, Пирютко Ольга Николаевна, издательство Народная асвета, Минск, 2022, зелёного цвета, страница 268, номер 4.51, Решение (продолжение 3)
Решение 2. №4.51 (с. 268)

а) $x + y = 5$

Данное уравнение является линейным, его график — прямая линия. Для построения прямой достаточно найти координаты двух любых точек, принадлежащих этой прямой.

1. Выразим $y$ через $x$: $y = 5 - x$.

2. Найдем две точки, подставив удобные значения $x$:

  • Если $x = 0$, то $y = 5 - 0 = 5$. Получаем точку $(0, 5)$.
  • Если $x = 5$, то $y = 5 - 5 = 0$. Получаем точку $(5, 0)$.

3. Отмечаем точки $(0, 5)$ и $(5, 0)$ на координатной плоскости и проводим через них прямую.

Ответ: Графиком уравнения является прямая, проходящая через точки $(0, 5)$ и $(5, 0)$.

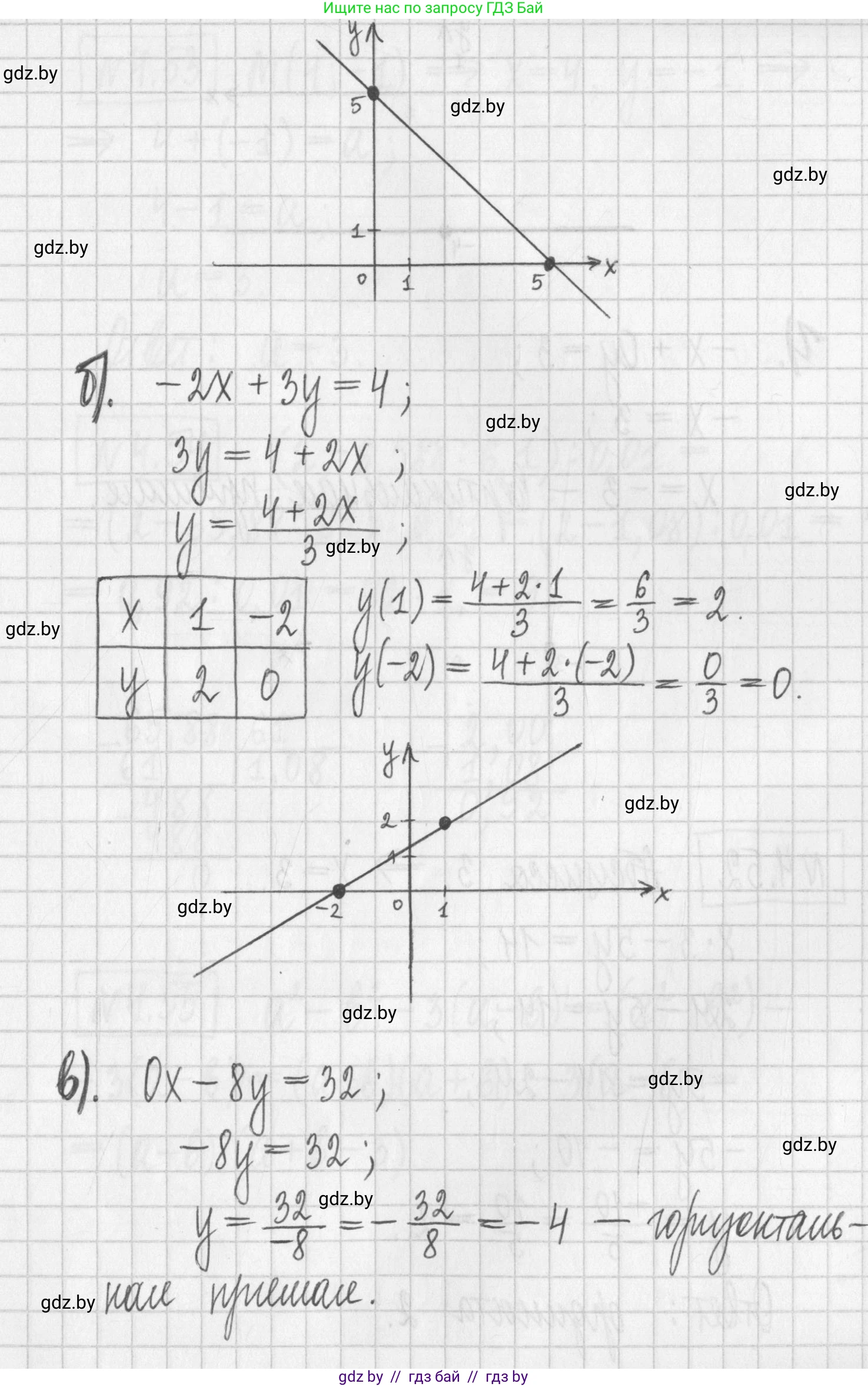
б) $-2x + 3y = 4$

Это также линейное уравнение, и его график — прямая линия.

1. Выразим $y$ через $x$, чтобы удобнее было находить точки:
$3y = 2x + 4$
$y = \frac{2x+4}{3}$

2. Найдем координаты двух точек, подбирая значения $x$ так, чтобы числитель делился на 3 и получались целые координаты:

  • Если $x = 1$, то $y = \frac{2(1)+4}{3} = \frac{6}{3} = 2$. Получаем точку $(1, 2)$.
  • Если $x = -2$, то $y = \frac{2(-2)+4}{3} = \frac{-4+4}{3} = 0$. Получаем точку $(-2, 0)$.

3. Отмечаем точки $(1, 2)$ и $(-2, 0)$ на координатной плоскости и проводим через них прямую.
Для справки, точка пересечения с осью OY находится при $x=0$, тогда $y = \frac{4}{3}$.

Ответ: Графиком уравнения является прямая, проходящая через точки $(1, 2)$ и $(-2, 0)$. Координата $y$ точки пересечения с осью OY равна $\frac{4}{3}$, что составляет 1 целую и $\frac{1}{3}$.

в) $0x - 8y = 32$

Упростим данное уравнение:
$0 \cdot x - 8y = 32$
$-8y = 32$
Разделим обе части на -8:
$y = \frac{32}{-8}$
$y = -4$

Уравнение $y = -4$ означает, что для любого значения $x$, значение $y$ всегда равно -4. Графиком такого уравнения является горизонтальная прямая, параллельная оси OX и проходящая через точку $(0, -4)$ на оси OY.

Ответ: Графиком уравнения является прямая $y=-4$, которая параллельна оси OX и проходит через точку $(0, -4)$.

г) $-x + 0y = 3$

Упростим данное уравнение:
$-x + 0 \cdot y = 3$
$-x = 3$
Умножим обе части на -1:
$x = -3$

Уравнение $x = -3$ означает, что для любого значения $y$, значение $x$ всегда равно -3. Графиком такого уравнения является вертикальная прямая, параллельная оси OY и проходящая через точку $(-3, 0)$ на оси OX.

Ответ: Графиком уравнения является прямая $x=-3$, которая параллельна оси OY и проходит через точку $(-3, 0)$.

Помогло решение? Оставьте отзыв в комментариях ниже.

Присоединяйтесь к Телеграм-группе @gdz_by_belarus

Присоединиться

Мы подготовили для вас ответ c подробным объяснением домашего задания по алгебре за 7 класс, для упражнения номер 4.51 расположенного на странице 268 к учебнику 2022 года издания для учащихся школ и гимназий.

Теперь на нашем сайте ГДЗ.ТОП вы всегда легко и бесплатно найдёте условие с правильным ответом на вопрос «Как решить ДЗ» и «Как сделать» задание по алгебре к упражнению №4.51 (с. 268), авторов: Арефьева (Ирина Глебовна), Пирютко (Ольга Николаевна), учебного пособия издательства Народная асвета.