Номер 4.44, страница 267 - гдз по алгебре 7 класс учебник Арефьева, Пирютко

Алгебра, 7 класс Учебник, авторы: Арефьева Ирина Глебовна, Пирютко Ольга Николаевна, издательство Народная асвета, Минск, 2022, зелёного цвета

Авторы: Арефьева И. Г., Пирютко О. Н.

Тип: Учебник

Издательство: Народная асвета

Год издания: 2022 - 2025

Цвет обложки: зелёный с графиком

ISBN: ISBN 978-985-03-3770-2

Допущено Министерством образования Республики Беларусь

Популярные ГДЗ в 7 классе

Глава 4. Системы двух линейных уравнений с двумя переменными. Параграф 22. График линейного уравнения ax + by = c с двумя переменными - номер 4.44, страница 267.

№4.44 (с. 267)
Условие. №4.44 (с. 267)
скриншот условия
Алгебра, 7 класс Учебник, авторы: Арефьева Ирина Глебовна, Пирютко Ольга Николаевна, издательство Народная асвета, Минск, 2022, зелёного цвета, страница 267, номер 4.44, Условие

4.44. Постройте график уравнения:

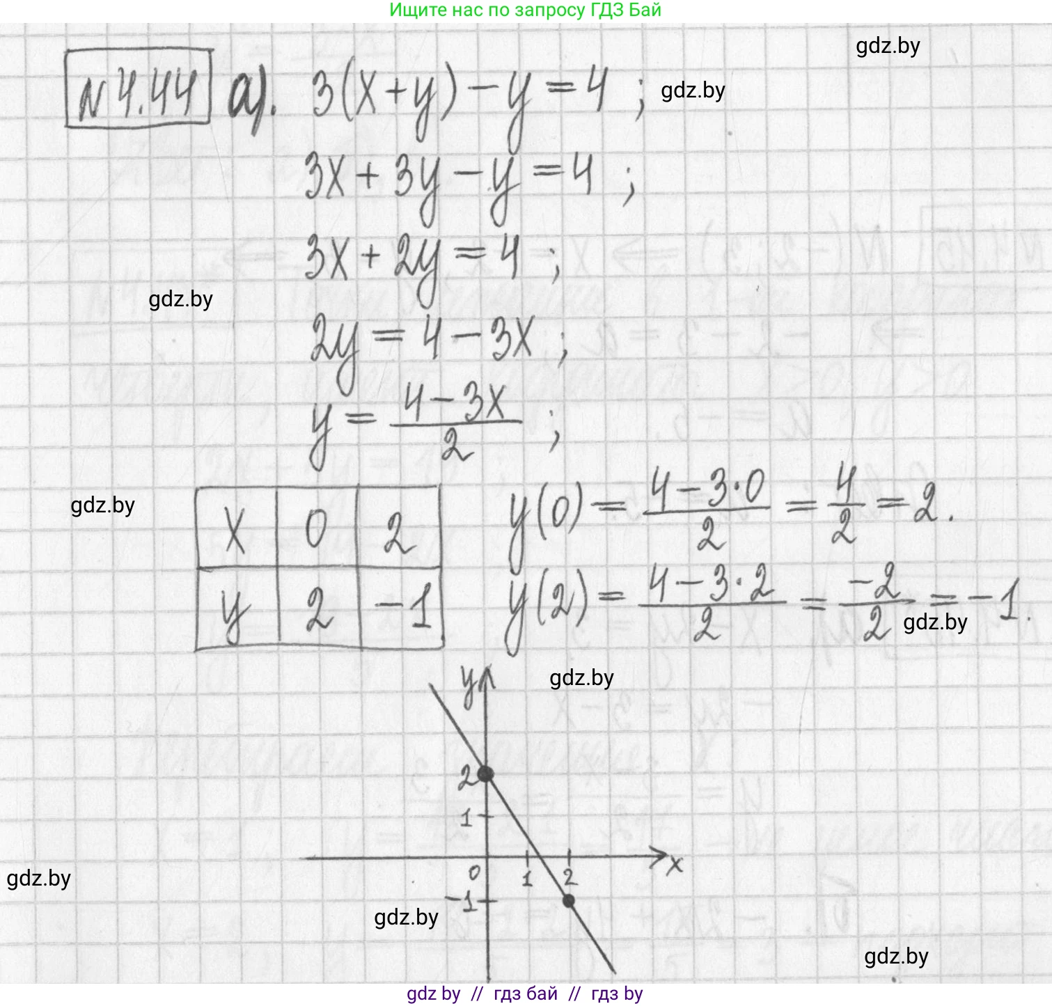
а) $3(x+y)-y=4;$

б) $(x-2y)-2(x-y)-5=0.$

Решение. №4.44 (с. 267)
Алгебра, 7 класс Учебник, авторы: Арефьева Ирина Глебовна, Пирютко Ольга Николаевна, издательство Народная асвета, Минск, 2022, зелёного цвета, страница 267, номер 4.44, Решение Алгебра, 7 класс Учебник, авторы: Арефьева Ирина Глебовна, Пирютко Ольга Николаевна, издательство Народная асвета, Минск, 2022, зелёного цвета, страница 267, номер 4.44, Решение (продолжение 2)
Решение 2. №4.44 (с. 267)

Для построения графика каждого уравнения мы сначала упростим его, чтобы привести к известному виду (линейной функции), а затем найдем ключевые точки для построения.

а) $3(x+y)-y=4$

1. Упрощение уравнения. Преобразуем уравнение к виду линейной функции $y=kx+b$.

$3(x+y)-y=4$
Раскроем скобки:
$3x + 3y - y = 4$
Приведем подобные слагаемые:
$3x + 2y = 4$
Выразим $y$ через $x$:
$2y = 4 - 3x$
$y = \frac{4-3x}{2}$
$y = 2 - \frac{3}{2}x$
Запишем в стандартном виде:
$y = -\frac{3}{2}x + 2$

2. Построение графика. Графиком данного уравнения является прямая. Для ее построения достаточно найти координаты двух точек.

  • Найдем точку пересечения с осью OY. Для этого подставим $x=0$ в уравнение:
    $y = -\frac{3}{2} \cdot 0 + 2 = 2$
    Получаем точку A(0, 2).
  • Найдем точку пересечения с осью OX. Для этого подставим $y=0$ в уравнение:
    $0 = -\frac{3}{2}x + 2$
    $\frac{3}{2}x = 2$
    $x = 2 \cdot \frac{2}{3} = \frac{4}{3}$
    Представим неправильную дробь в виде смешанного числа: $x = 1\frac{1}{3}$.
    Получаем точку B($1\frac{1}{3}$, 0).

Чтобы построить график, нужно отметить на координатной плоскости точки A(0, 2) и B($1\frac{1}{3}$, 0) и провести через них прямую.

Ответ: Графиком уравнения является прямая $y = -\mathbf{1}\frac{1}{2}x + 2$.


б) $(x-2y)-2(x-y)-5=0$

1. Упрощение уравнения. Раскроем скобки и приведем подобные слагаемые.

$(x-2y)-2(x-y)-5=0$
$x - 2y - 2x + 2y - 5 = 0$
Сгруппируем слагаемые с переменными $x$ и $y$:
$(x - 2x) + (-2y + 2y) - 5 = 0$
$-x + 0 - 5 = 0$
$-x = 5$
$x = -5$

2. Построение графика. Уравнение $x=-5$ задает вертикальную прямую. Каждая точка на этой прямой имеет абсциссу (координату $x$), равную -5, при любом значении ординаты (координаты $y$).

Примеры точек, принадлежащих этой прямой: (-5, 0), (-5, 3), (-5, -4).

Графиком является прямая, параллельная оси OY, проходящая через точку (-5, 0) на оси OX.

Ответ: Графиком уравнения является прямая $x = -5$.

Помогло решение? Оставьте отзыв в комментариях ниже.

Присоединяйтесь к Телеграм-группе @gdz_by_belarus

Присоединиться

Мы подготовили для вас ответ c подробным объяснением домашего задания по алгебре за 7 класс, для упражнения номер 4.44 расположенного на странице 267 к учебнику 2022 года издания для учащихся школ и гимназий.

Теперь на нашем сайте ГДЗ.ТОП вы всегда легко и бесплатно найдёте условие с правильным ответом на вопрос «Как решить ДЗ» и «Как сделать» задание по алгебре к упражнению №4.44 (с. 267), авторов: Арефьева (Ирина Глебовна), Пирютко (Ольга Николаевна), учебного пособия издательства Народная асвета.