Номер 1.147, страница 45 - гдз по алгебре 8 класс учебник Арефьева, Пирютко

Алгебра, 8 класс Учебник, авторы: Арефьева Ирина Глебовна, Пирютко Ольга Николаевна, издательство Адукацыя i выхаванне, Минск, 2024, бирюзового цвета

Авторы: Арефьева И. Г., Пирютко О. Н.

Тип: Учебник

Издательство: Адукацыя i выхаванне

Год издания: 2024 - 2025

Цвет обложки: бирюзовый с графиком

ISBN: ISBN 978-985-03-4081-8

Допущено Министерством образования Республики Беларусь

Популярные ГДЗ в 8 классе

Глава 1. Квадратные корни и их свойства. Действительные числа. Параграф 3. Свойства квадратных корней - номер 1.147, страница 45.

№1.147 (с. 45)
Условие. №1.147 (с. 45)
скриншот условия
Алгебра, 8 класс Учебник, авторы: Арефьева Ирина Глебовна, Пирютко Ольга Николаевна, издательство Адукацыя i выхаванне, Минск, 2024, бирюзового цвета, страница 45, номер 1.147, Условие

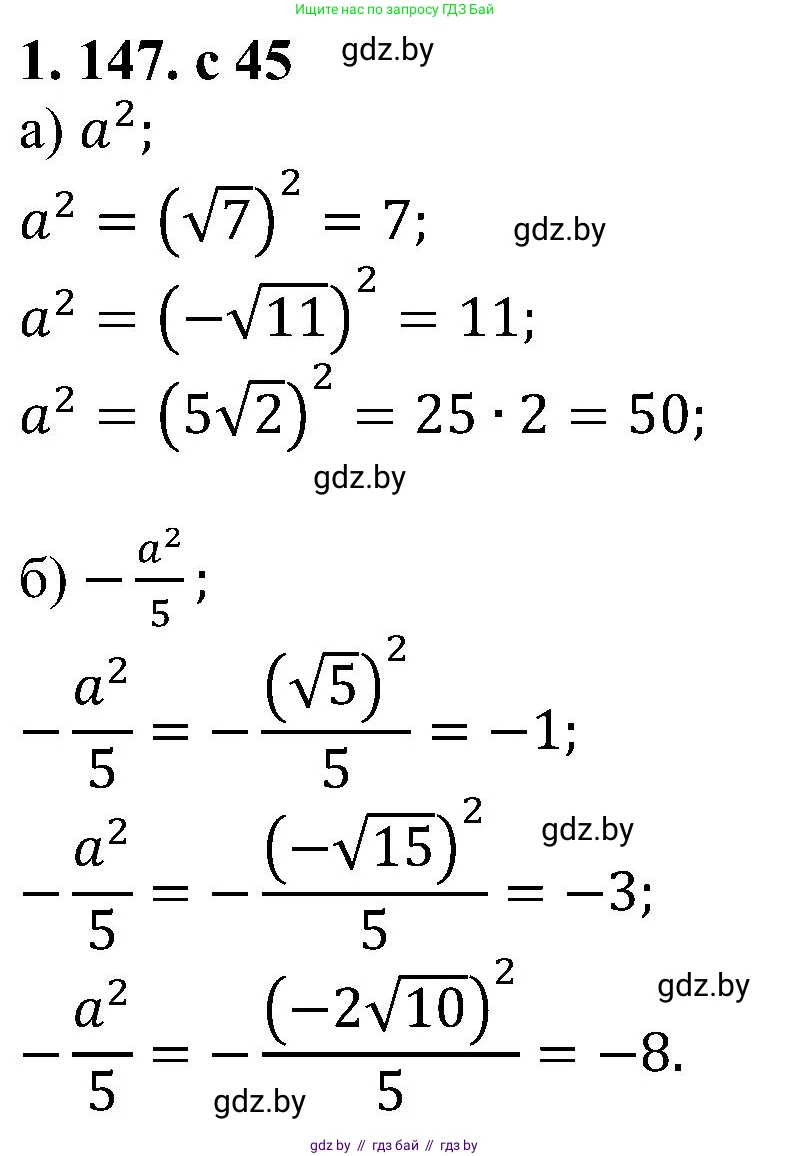
1.147. Найдите значение выражения:

а) $a^2$ при $a = \sqrt{7}$; $-\sqrt{11}$; $5\sqrt{2}$;

б) $-\frac{a^2}{5}$ при $a = \sqrt{5}$; $-\sqrt{15}$; $-2\sqrt{10}$.

Решение. №1.147 (с. 45)
Алгебра, 8 класс Учебник, авторы: Арефьева Ирина Глебовна, Пирютко Ольга Николаевна, издательство Адукацыя i выхаванне, Минск, 2024, бирюзового цвета, страница 45, номер 1.147, Решение
Решение 2. №1.147 (с. 45)

а) Для нахождения значения выражения $a^2$ необходимо последовательно подставить каждое из данных значений переменной $a$ в выражение и выполнить вычисления.

При $a = \sqrt{7}$:
$a^2 = (\sqrt{7})^2 = 7$

При $a = -\sqrt{11}$:
$a^2 = (-\sqrt{11})^2 = (\sqrt{11})^2 = 11$

При $a = 5\sqrt{2}$:
$a^2 = (5\sqrt{2})^2 = 5^2 \cdot (\sqrt{2})^2 = 25 \cdot 2 = 50$

Ответ: 7; 11; 50.

б) Для нахождения значения выражения $-\frac{a^2}{5}$ необходимо подставить каждое из данных значений переменной $a$ в выражение, возвести в квадрат, а затем результат разделить на 5 и учесть знак минус.

При $a = \sqrt{5}$:
$-\frac{a^2}{5} = -\frac{(\sqrt{5})^2}{5} = -\frac{5}{5} = -1$

При $a = -\sqrt{15}$:
$-\frac{a^2}{5} = -\frac{(-\sqrt{15})^2}{5} = -\frac{15}{5} = -3$

При $a = -2\sqrt{10}$:
$-\frac{a^2}{5} = -\frac{(-2\sqrt{10})^2}{5} = -\frac{((-2)^2 \cdot (\sqrt{10})^2)}{5} = -\frac{4 \cdot 10}{5} = -\frac{40}{5} = -8$

Ответ: -1; -3; -8.

Помогло решение? Оставьте отзыв в комментариях ниже.

Присоединяйтесь к Телеграм-группе @gdz_by_belarus

Присоединиться

Мы подготовили для вас ответ c подробным объяснением домашего задания по алгебре за 8 класс, для упражнения номер 1.147 расположенного на странице 45 к учебнику 2024 года издания для учащихся школ и гимназий.

Теперь на нашем сайте ГДЗ.ТОП вы всегда легко и бесплатно найдёте условие с правильным ответом на вопрос «Как решить ДЗ» и «Как сделать» задание по алгебре к упражнению №1.147 (с. 45), авторов: Арефьева (Ирина Глебовна), Пирютко (Ольга Николаевна), учебного пособия издательства Адукацыя i выхаванне.