Номер 1.337, страница 85 - гдз по алгебре 8 класс учебник Арефьева, Пирютко

Алгебра, 8 класс Учебник, авторы: Арефьева Ирина Глебовна, Пирютко Ольга Николаевна, издательство Адукацыя i выхаванне, Минск, 2024, бирюзового цвета

Авторы: Арефьева И. Г., Пирютко О. Н.

Тип: Учебник

Издательство: Адукацыя i выхаванне

Год издания: 2024 - 2025

Цвет обложки: бирюзовый с графиком

ISBN: ISBN 978-985-03-4081-8

Допущено Министерством образования Республики Беларусь

Популярные ГДЗ в 8 классе

Глава 1. Квадратные корни и их свойства. Действительные числа. Параграф 6. Системы и совокупности линейных неравенств с одной переменной. Решение двойных неравенств - номер 1.337, страница 85.

№1.337 (с. 85)
Условие. №1.337 (с. 85)
скриншот условия
Алгебра, 8 класс Учебник, авторы: Арефьева Ирина Глебовна, Пирютко Ольга Николаевна, издательство Адукацыя i выхаванне, Минск, 2024, бирюзового цвета, страница 85, номер 1.337, Условие

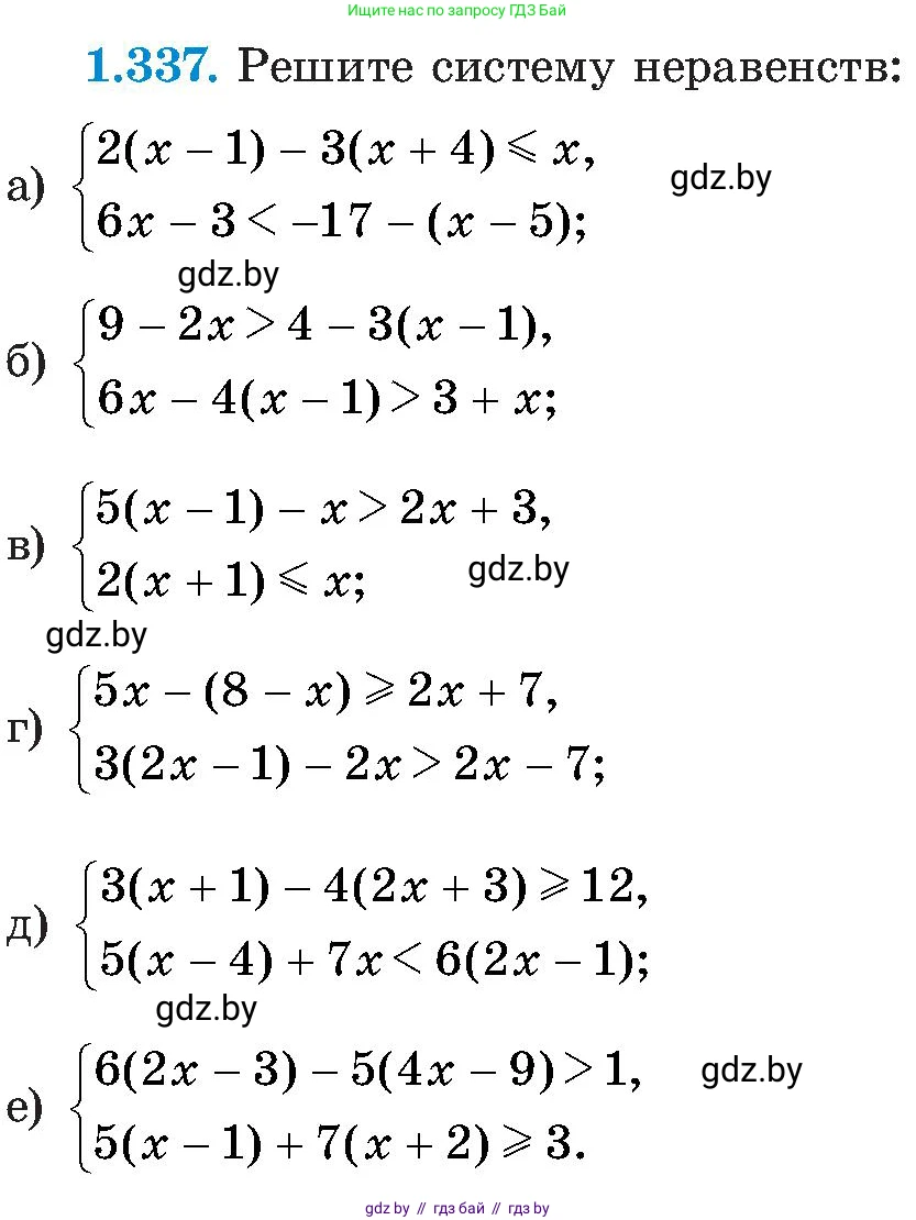
1.337. Решите систему неравенств:

а) $\begin{cases} 2(x-1) - 3(x+4) \le x, \\ 6x - 3 < -17 - (x-5); \end{cases}$

б) $\begin{cases} 9 - 2x > 4 - 3(x-1), \\ 6x - 4(x-1) > 3 + x; \end{cases}$

в) $\begin{cases} 5(x-1) - x > 2x + 3, \\ 2(x+1) \le x; \end{cases}$

г) $\begin{cases} 5x - (8-x) \ge 2x + 7, \\ 3(2x-1) - 2x > 2x - 7; \end{cases}$

д) $\begin{cases} 3(x+1) - 4(2x+3) \ge 12, \\ 5(x-4) + 7x < 6(2x-1); \end{cases}$

е) $\begin{cases} 6(2x-3) - 5(4x-9) > 1, \\ 5(x-1) + 7(x+2) \ge 3. \end{cases}$

Решение. №1.337 (с. 85)
Алгебра, 8 класс Учебник, авторы: Арефьева Ирина Глебовна, Пирютко Ольга Николаевна, издательство Адукацыя i выхаванне, Минск, 2024, бирюзового цвета, страница 85, номер 1.337, Решение Алгебра, 8 класс Учебник, авторы: Арефьева Ирина Глебовна, Пирютко Ольга Николаевна, издательство Адукацыя i выхаванне, Минск, 2024, бирюзового цвета, страница 85, номер 1.337, Решение (продолжение 2)
Решение 2. №1.337 (с. 85)

a) Решим систему неравенств:

$\begin{cases} 2(x - 1) - 3(x + 4) \le x \\ 6x - 3 < -17 - (x - 5) \end{cases}$

1. Решим первое неравенство:

$2(x - 1) - 3(x + 4) \le x$

Раскроем скобки: $2x - 2 - 3x - 12 \le x$

Приведем подобные слагаемые: $-x - 14 \le x$

Перенесем слагаемые с $x$ в одну сторону, а числа в другую: $-14 \le x + x$

$-14 \le 2x$

Разделим обе части на 2: $-7 \le x$ или $x \ge -7$

2. Решим второе неравенство:

$6x - 3 < -17 - (x - 5)$

Раскроем скобки: $6x - 3 < -17 - x + 5$

Приведем подобные слагаемые: $6x - 3 < -12 - x$

Перенесем слагаемые с $x$ в одну сторону: $6x + x < -12 + 3$

$7x < -9$

Разделим обе части на 7: $x < -\frac{9}{7}$

Преобразуем неправильную дробь в смешанное число: $x < -1\frac{2}{7}$

3. Найдем пересечение решений: $x \ge -7$ и $x < -1\frac{2}{7}$.

На числовой оси это будет интервал, ограниченный слева числом -7 (включительно) и справа числом $-1\frac{2}{7}$ (не включительно).

Таким образом, решение системы: $-7 \le x < -1\frac{2}{7}$.

Ответ: $[-7; -1\frac{2}{7})$.


б) Решим систему неравенств:

$\begin{cases} 9 - 2x > 4 - 3(x - 1) \\ 6x - 4(x - 1) > 3 + x \end{cases}$

1. Решим первое неравенство:

$9 - 2x > 4 - 3(x - 1)$

Раскроем скобки: $9 - 2x > 4 - 3x + 3$

Приведем подобные слагаемые: $9 - 2x > 7 - 3x$

Перенесем слагаемые с $x$ в одну сторону: $-2x + 3x > 7 - 9$

$x > -2$

2. Решим второе неравенство:

$6x - 4(x - 1) > 3 + x$

Раскроем скобки: $6x - 4x + 4 > 3 + x$

Приведем подобные слагаемые: $2x + 4 > 3 + x$

Перенесем слагаемые с $x$ в одну сторону: $2x - x > 3 - 4$

$x > -1$

3. Найдем пересечение решений: $x > -2$ и $x > -1$.

Общим решением для этих двух неравенств является $x > -1$.

Ответ: $(-1; +\infty)$.


в) Решим систему неравенств:

$\begin{cases} 5(x - 1) - x > 2x + 3 \\ 2(x + 1) \le x \end{cases}$

1. Решим первое неравенство:

$5(x - 1) - x > 2x + 3$

Раскроем скобки: $5x - 5 - x > 2x + 3$

Приведем подобные слагаемые: $4x - 5 > 2x + 3$

Перенесем слагаемые: $4x - 2x > 3 + 5$

$2x > 8$

$x > 4$

2. Решим второе неравенство:

$2(x + 1) \le x$

Раскроем скобки: $2x + 2 \le x$

Перенесем слагаемые: $2x - x \le -2$

$x \le -2$

3. Найдем пересечение решений: $x > 4$ и $x \le -2$.

Не существует числа, которое одновременно больше 4 и меньше или равно -2. Следовательно, множества решений не пересекаются.

Ответ: нет решений (или $\emptyset$).


г) Решим систему неравенств:

$\begin{cases} 5x - (8 - x) \ge 2x + 7 \\ 3(2x - 1) - 2x > 2x - 7 \end{cases}$

1. Решим первое неравенство:

$5x - (8 - x) \ge 2x + 7$

Раскроем скобки: $5x - 8 + x \ge 2x + 7$

Приведем подобные слагаемые: $6x - 8 \ge 2x + 7$

Перенесем слагаемые: $6x - 2x \ge 7 + 8$

$4x \ge 15$

$x \ge \frac{15}{4}$

Преобразуем неправильную дробь: $x \ge 3\frac{3}{4}$

2. Решим второе неравенство:

$3(2x - 1) - 2x > 2x - 7$

Раскроем скобки: $6x - 3 - 2x > 2x - 7$

Приведем подобные слагаемые: $4x - 3 > 2x - 7$

Перенесем слагаемые: $4x - 2x > -7 + 3$

$2x > -4$

$x > -2$

3. Найдем пересечение решений: $x \ge 3\frac{3}{4}$ и $x > -2$.

Общим решением для этих двух неравенств является $x \ge 3\frac{3}{4}$.

Ответ: $[3\frac{3}{4}; +\infty)$.


д) Решим систему неравенств:

$\begin{cases} 3(x + 1) - 4(2x + 3) \ge 12 \\ 5(x - 4) + 7x < 6(2x - 1) \end{cases}$

1. Решим первое неравенство:

$3(x + 1) - 4(2x + 3) \ge 12$

Раскроем скобки: $3x + 3 - 8x - 12 \ge 12$

Приведем подобные слагаемые: $-5x - 9 \ge 12$

Перенесем слагаемые: $-5x \ge 12 + 9$

$-5x \ge 21$

Разделим на -5, изменив знак неравенства: $x \le -\frac{21}{5}$

Преобразуем неправильную дробь: $x \le -4\frac{1}{5}$

2. Решим второе неравенство:

$5(x - 4) + 7x < 6(2x - 1)$

Раскроем скобки: $5x - 20 + 7x < 12x - 6$

Приведем подобные слагаемые: $12x - 20 < 12x - 6$

Перенесем слагаемые: $12x - 12x < -6 + 20$

$0 < 14$

Это неравенство верно при любом значении $x$.

3. Найдем пересечение решений: $x \le -4\frac{1}{5}$ и $x$ - любое число.

Общим решением является $x \le -4\frac{1}{5}$.

Ответ: $(-\infty; -4\frac{1}{5}]$.


е) Решим систему неравенств:

$\begin{cases} 6(2x - 3) - 5(4x - 9) > 1 \\ 5(x - 1) + 7(x + 2) \ge 3 \end{cases}$

1. Решим первое неравенство:

$6(2x - 3) - 5(4x - 9) > 1$

Раскроем скобки: $12x - 18 - 20x + 45 > 1$

Приведем подобные слагаемые: $-8x + 27 > 1$

Перенесем слагаемые: $-8x > 1 - 27$

$-8x > -26$

Разделим на -8, изменив знак неравенства: $x < \frac{26}{8}$

Сократим дробь: $x < \frac{13}{4}$

Преобразуем неправильную дробь: $x < 3\frac{1}{4}$

2. Решим второе неравенство:

$5(x - 1) + 7(x + 2) \ge 3$

Раскроем скобки: $5x - 5 + 7x + 14 \ge 3$

Приведем подобные слагаемые: $12x + 9 \ge 3$

Перенесем слагаемые: $12x \ge 3 - 9$

$12x \ge -6$

Разделим на 12: $x \ge -\frac{6}{12}$

Сократим дробь: $x \ge -\frac{1}{2}$

3. Найдем пересечение решений: $x < 3\frac{1}{4}$ и $x \ge -\frac{1}{2}$.

Объединяя решения, получаем: $-\frac{1}{2} \le x < 3\frac{1}{4}$.

Ответ: $[-\frac{1}{2}; 3\frac{1}{4})$.

Помогло решение? Оставьте отзыв в комментариях ниже.

Присоединяйтесь к Телеграм-группе @gdz_by_belarus

Присоединиться

Мы подготовили для вас ответ c подробным объяснением домашего задания по алгебре за 8 класс, для упражнения номер 1.337 расположенного на странице 85 к учебнику 2024 года издания для учащихся школ и гимназий.

Теперь на нашем сайте ГДЗ.ТОП вы всегда легко и бесплатно найдёте условие с правильным ответом на вопрос «Как решить ДЗ» и «Как сделать» задание по алгебре к упражнению №1.337 (с. 85), авторов: Арефьева (Ирина Глебовна), Пирютко (Ольга Николаевна), учебного пособия издательства Адукацыя i выхаванне.