Номер 1.391, страница 93 - гдз по алгебре 8 класс учебник Арефьева, Пирютко

Алгебра, 8 класс Учебник, авторы: Арефьева Ирина Глебовна, Пирютко Ольга Николаевна, издательство Адукацыя i выхаванне, Минск, 2024, бирюзового цвета

Авторы: Арефьева И. Г., Пирютко О. Н.

Тип: Учебник

Издательство: Адукацыя i выхаванне

Год издания: 2024 - 2025

Цвет обложки: бирюзовый с графиком

ISBN: ISBN 978-985-03-4081-8

Допущено Министерством образования Республики Беларусь

Популярные ГДЗ в 8 классе

Глава 1. Квадратные корни и их свойства. Действительные числа. Параграф 6. Системы и совокупности линейных неравенств с одной переменной. Решение двойных неравенств - номер 1.391, страница 93.

№1.391 (с. 93)
Условие. №1.391 (с. 93)
скриншот условия
Алгебра, 8 класс Учебник, авторы: Арефьева Ирина Глебовна, Пирютко Ольга Николаевна, издательство Адукацыя i выхаванне, Минск, 2024, бирюзового цвета, страница 93, номер 1.391, Условие

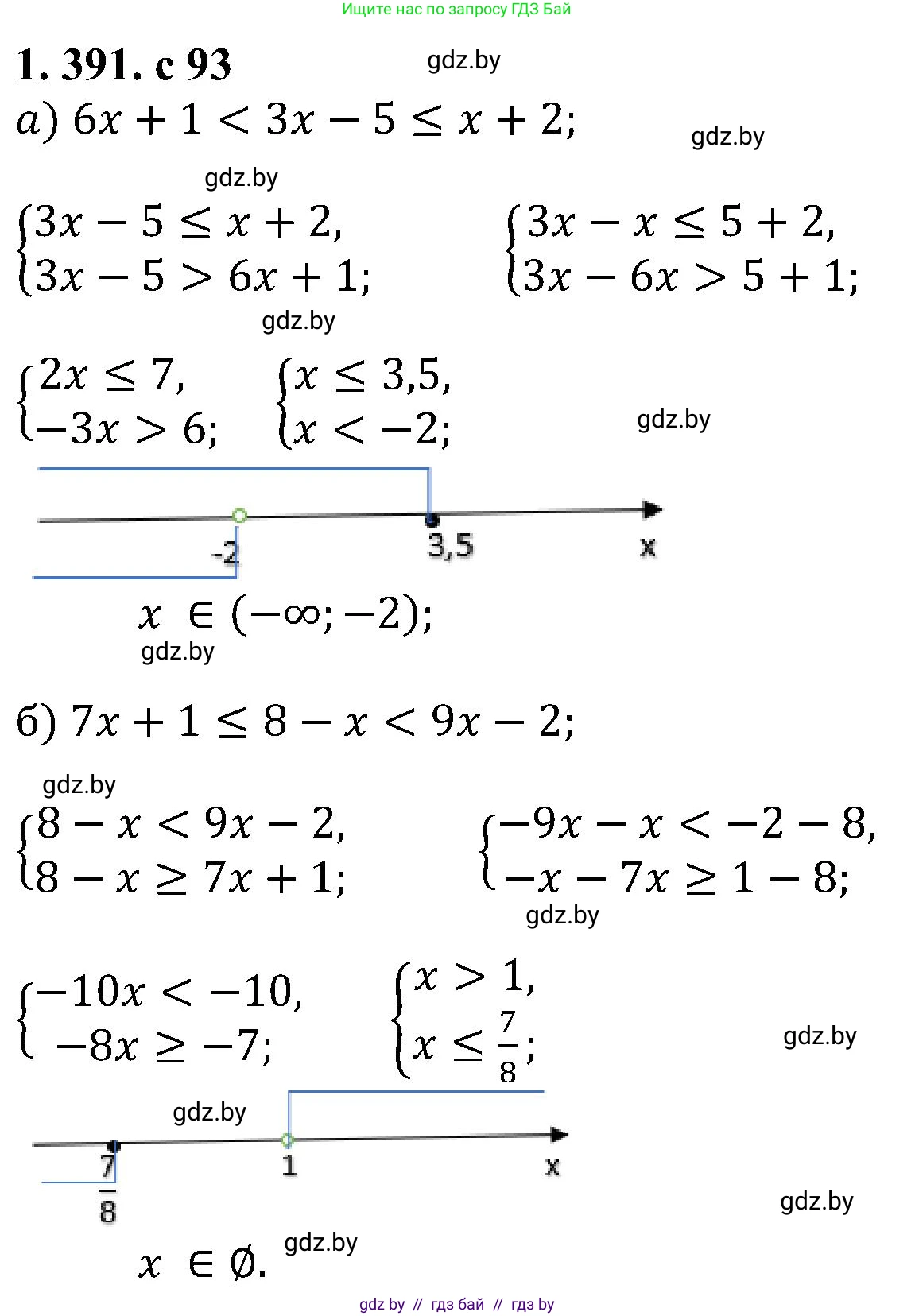
1.391. Решите двойное неравенство, заменив его системой неравенств:

а) $6x + 1 < 3x - 5 \le x + 2$;

б) $7x + 1 \le 8 - x < 9x - 2$.

Решение. №1.391 (с. 93)
Алгебра, 8 класс Учебник, авторы: Арефьева Ирина Глебовна, Пирютко Ольга Николаевна, издательство Адукацыя i выхаванне, Минск, 2024, бирюзового цвета, страница 93, номер 1.391, Решение
Решение 2. №1.391 (с. 93)

а) Заменим двойное неравенство $6x + 1 < 3x - 5 \le x + 2$ системой из двух линейных неравенств:

$$ \begin{cases} 6x + 1 < 3x - 5 \\ 3x - 5 \le x + 2 \end{cases} $$

Решим каждое неравенство по отдельности.

1. Решение первого неравенства:

$6x + 1 < 3x - 5$

Перенесем слагаемые с переменной $x$ в левую часть, а числовые слагаемые — в правую:

$6x - 3x < -5 - 1$

$3x < -6$

Разделим обе части неравенства на 3:

$x < -2$

2. Решение второго неравенства:

$3x - 5 \le x + 2$

Перенесем слагаемые с переменной $x$ в левую часть, а числовые слагаемые — в правую:

$3x - x \le 2 + 5$

$2x \le 7$

Разделим обе части неравенства на 2:

$x \le \frac{7}{2}$

Преобразуем неправильную дробь в смешанное число, выделив целую часть:

$x \le \mathbf{3}\frac{1}{2}$

3. Найдем пересечение решений.

Решением системы является пересечение промежутков $x < -2$ и $x \le \mathbf{3}\frac{1}{2}$. На числовой прямой это соответствует множеству $(-\infty; -2)$.

Ответ: $(-\infty; -2)$.

б) Заменим двойное неравенство $7x + 1 \le 8 - x < 9x - 2$ системой из двух линейных неравенств:

$$ \begin{cases} 7x + 1 \le 8 - x \\ 8 - x < 9x - 2 \end{cases} $$

Решим каждое неравенство по отдельности.

1. Решение первого неравенства:

$7x + 1 \le 8 - x$

Перенесем слагаемые с переменной $x$ в левую часть, а числовые слагаемые — в правую:

$7x + x \le 8 - 1$

$8x \le 7$

Разделим обе части неравенства на 8:

$x \le \frac{7}{8}$

2. Решение второго неравенства:

$8 - x < 9x - 2$

Перенесем слагаемые с переменной $x$ в правую часть, а числовые слагаемые — в левую, чтобы коэффициент при $x$ был положительным:

$8 + 2 < 9x + x$

$10 < 10x$

Разделим обе части неравенства на 10:

$1 < x$, что равносильно $x > 1$.

3. Найдем пересечение решений.

Необходимо найти значения $x$, которые одновременно удовлетворяют условиям $x \le \frac{7}{8}$ и $x > 1$.

Так как $\frac{7}{8}$ меньше, чем $1$, не существует числа, которое было бы одновременно меньше или равно $\frac{7}{8}$ и больше $1$. Следовательно, пересечение этих множеств пусто.

Ответ: $\emptyset$ (нет решений).

Помогло решение? Оставьте отзыв в комментариях ниже.

Присоединяйтесь к Телеграм-группе @gdz_by_belarus

Присоединиться

Мы подготовили для вас ответ c подробным объяснением домашего задания по алгебре за 8 класс, для упражнения номер 1.391 расположенного на странице 93 к учебнику 2024 года издания для учащихся школ и гимназий.

Теперь на нашем сайте ГДЗ.ТОП вы всегда легко и бесплатно найдёте условие с правильным ответом на вопрос «Как решить ДЗ» и «Как сделать» задание по алгебре к упражнению №1.391 (с. 93), авторов: Арефьева (Ирина Глебовна), Пирютко (Ольга Николаевна), учебного пособия издательства Адукацыя i выхаванне.