Номер 2.11, страница 103 - гдз по алгебре 8 класс учебник Арефьева, Пирютко

Алгебра, 8 класс Учебник, авторы: Арефьева Ирина Глебовна, Пирютко Ольга Николаевна, издательство Адукацыя i выхаванне, Минск, 2024, бирюзового цвета

Авторы: Арефьева И. Г., Пирютко О. Н.

Тип: Учебник

Издательство: Адукацыя i выхаванне

Год издания: 2024 - 2025

Цвет обложки: бирюзовый с графиком

ISBN: ISBN 978-985-03-4081-8

Допущено Министерством образования Республики Беларусь

Популярные ГДЗ в 8 классе

Глава 2. Квадратные уравнения. Параграф 7. Квадратные уравнения. Решение неполных квадратных уравнений - номер 2.11, страница 103.

№2.11 (с. 103)
Условие. №2.11 (с. 103)
скриншот условия
Алгебра, 8 класс Учебник, авторы: Арефьева Ирина Глебовна, Пирютко Ольга Николаевна, издательство Адукацыя i выхаванне, Минск, 2024, бирюзового цвета, страница 103, номер 2.11, Условие

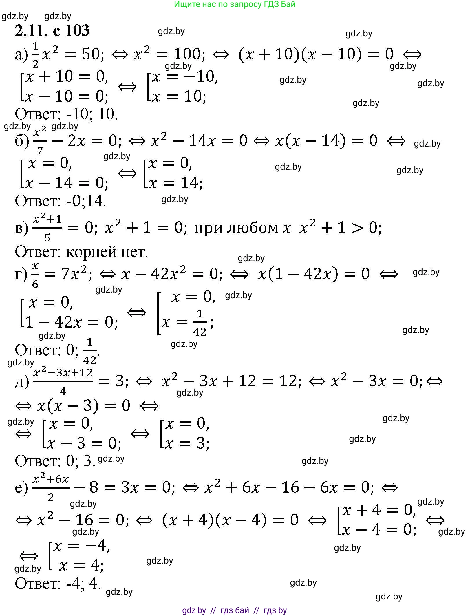
2.11. Решите уравнение:

а) $ \frac{1}{2}x^2 = 50; $

б) $ \frac{x^2}{7} - 2x = 0; $

в) $ \frac{x^2+1}{5} = 2; $

г) $ \frac{x}{6} = 7x^2; $

д) $ \frac{x^2-3x+12}{4} = 3; $

е) $ \frac{x^2+6x}{2} - 8 = 3x. $

Решение. №2.11 (с. 103)
Алгебра, 8 класс Учебник, авторы: Арефьева Ирина Глебовна, Пирютко Ольга Николаевна, издательство Адукацыя i выхаванне, Минск, 2024, бирюзового цвета, страница 103, номер 2.11, Решение
Решение 2. №2.11 (с. 103)

а) Дано уравнение: $$ \frac{1}{2}x^2 = 50 $$ Чтобы решить это неполное квадратное уравнение, умножим обе его части на 2: $$ 2 \cdot \frac{1}{2}x^2 = 50 \cdot 2 $$ $$ x^2 = 100 $$ Теперь извлечем квадратный корень из обеих частей уравнения. Уравнение вида $x^2 = a$ (при $a > 0$) имеет два корня: $x = \sqrt{a}$ и $x = -\sqrt{a}$. $$ x = \pm\sqrt{100} $$ $$ x_1 = 10, \quad x_2 = -10 $$ Ответ: $x_1 = 10, x_2 = -10$.

б) Дано уравнение: $$ \frac{x^2}{7} - 2x = 0 $$ Это неполное квадратное уравнение. Вынесем общий множитель $x$ за скобки: $$ x \left( \frac{x}{7} - 2 \right) = 0 $$ Произведение равно нулю тогда и только тогда, когда хотя бы один из множителей равен нулю. Таким образом, получаем два случая:
1) $x_1 = 0$
2) $\frac{x}{7} - 2 = 0$
Решим второе уравнение: $$ \frac{x}{7} = 2 $$ Умножим обе части на 7: $$ x_2 = 14 $$ Уравнение имеет два корня. Ответ: $x_1 = 0, x_2 = 14$.

в) Дано уравнение: $$ \frac{x^2 + 1}{5} = 2 $$ Умножим обе части уравнения на 5, чтобы избавиться от знаменателя: $$ 5 \cdot \frac{x^2 + 1}{5} = 2 \cdot 5 $$ $$ x^2 + 1 = 10 $$ Перенесем 1 в правую часть уравнения, изменив знак на противоположный: $$ x^2 = 10 - 1 $$ $$ x^2 = 9 $$ Извлечем квадратный корень из обеих частей: $$ x = \pm\sqrt{9} $$ $$ x_1 = 3, \quad x_2 = -3 $$ Ответ: $x_1 = 3, x_2 = -3$.

г) Дано уравнение: $$ \frac{x}{6} = 7x^2 $$ Перенесем все члены уравнения в одну сторону: $$ 7x^2 - \frac{x}{6} = 0 $$ Вынесем общий множитель $x$ за скобки: $$ x \left( 7x - \frac{1}{6} \right) = 0 $$ Произведение равно нулю, если один из множителей равен нулю:
1) $x_1 = 0$
2) $7x - \frac{1}{6} = 0$
Решим второе уравнение: $$ 7x = \frac{1}{6} $$ Разделим обе части на 7: $$ x_2 = \frac{1}{6 \cdot 7} = \frac{1}{42} $$ Уравнение имеет два корня. Ответ: $x_1 = 0, x_2 = \frac{1}{42}$.

д) Дано уравнение: $$ \frac{x^2 - 3x + 12}{4} = 3 $$ Умножим обе части уравнения на 4: $$ 4 \cdot \frac{x^2 - 3x + 12}{4} = 3 \cdot 4 $$ $$ x^2 - 3x + 12 = 12 $$ Вычтем 12 из обеих частей уравнения: $$ x^2 - 3x + 12 - 12 = 0 $$ $$ x^2 - 3x = 0 $$ Вынесем общий множитель $x$ за скобки: $$ x(x - 3) = 0 $$ Приравняем каждый множитель к нулю:
1) $x_1 = 0$
2) $x - 3 = 0 \implies x_2 = 3$
Уравнение имеет два корня. Ответ: $x_1 = 0, x_2 = 3$.

е) Дано уравнение: $$ \frac{x^2 + 6x}{2} - 8 = 3x $$ Для избавления от дроби умножим обе части уравнения на 2: $$ 2 \left( \frac{x^2 + 6x}{2} - 8 \right) = 2 \cdot 3x $$ $$ (x^2 + 6x) - 16 = 6x $$ Вычтем $6x$ из обеих частей уравнения: $$ x^2 + 6x - 6x - 16 = 0 $$ $$ x^2 - 16 = 0 $$ Это неполное квадратное уравнение, которое можно решить несколькими способами. Например, перенесем 16 в правую часть: $$ x^2 = 16 $$ Извлечем квадратный корень: $$ x = \pm\sqrt{16} $$ $$ x_1 = 4, \quad x_2 = -4 $$ Ответ: $x_1 = 4, x_2 = -4$.

Помогло решение? Оставьте отзыв в комментариях ниже.

Присоединяйтесь к Телеграм-группе @gdz_by_belarus

Присоединиться

Мы подготовили для вас ответ c подробным объяснением домашего задания по алгебре за 8 класс, для упражнения номер 2.11 расположенного на странице 103 к учебнику 2024 года издания для учащихся школ и гимназий.

Теперь на нашем сайте ГДЗ.ТОП вы всегда легко и бесплатно найдёте условие с правильным ответом на вопрос «Как решить ДЗ» и «Как сделать» задание по алгебре к упражнению №2.11 (с. 103), авторов: Арефьева (Ирина Глебовна), Пирютко (Ольга Николаевна), учебного пособия издательства Адукацыя i выхаванне.