Номер 2.7, страница 102 - гдз по алгебре 8 класс учебник Арефьева, Пирютко

Алгебра, 8 класс Учебник, авторы: Арефьева Ирина Глебовна, Пирютко Ольга Николаевна, издательство Адукацыя i выхаванне, Минск, 2024, бирюзового цвета

Авторы: Арефьева И. Г., Пирютко О. Н.

Тип: Учебник

Издательство: Адукацыя i выхаванне

Год издания: 2024 - 2025

Цвет обложки: бирюзовый с графиком

ISBN: ISBN 978-985-03-4081-8

Допущено Министерством образования Республики Беларусь

Популярные ГДЗ в 8 классе

Глава 2. Квадратные уравнения. Параграф 7. Квадратные уравнения. Решение неполных квадратных уравнений - номер 2.7, страница 102.

№2.7 (с. 102)
Условие. №2.7 (с. 102)
скриншот условия
Алгебра, 8 класс Учебник, авторы: Арефьева Ирина Глебовна, Пирютко Ольга Николаевна, издательство Адукацыя i выхаванне, Минск, 2024, бирюзового цвета, страница 102, номер 2.7, Условие

2.7. Решите уравнение:

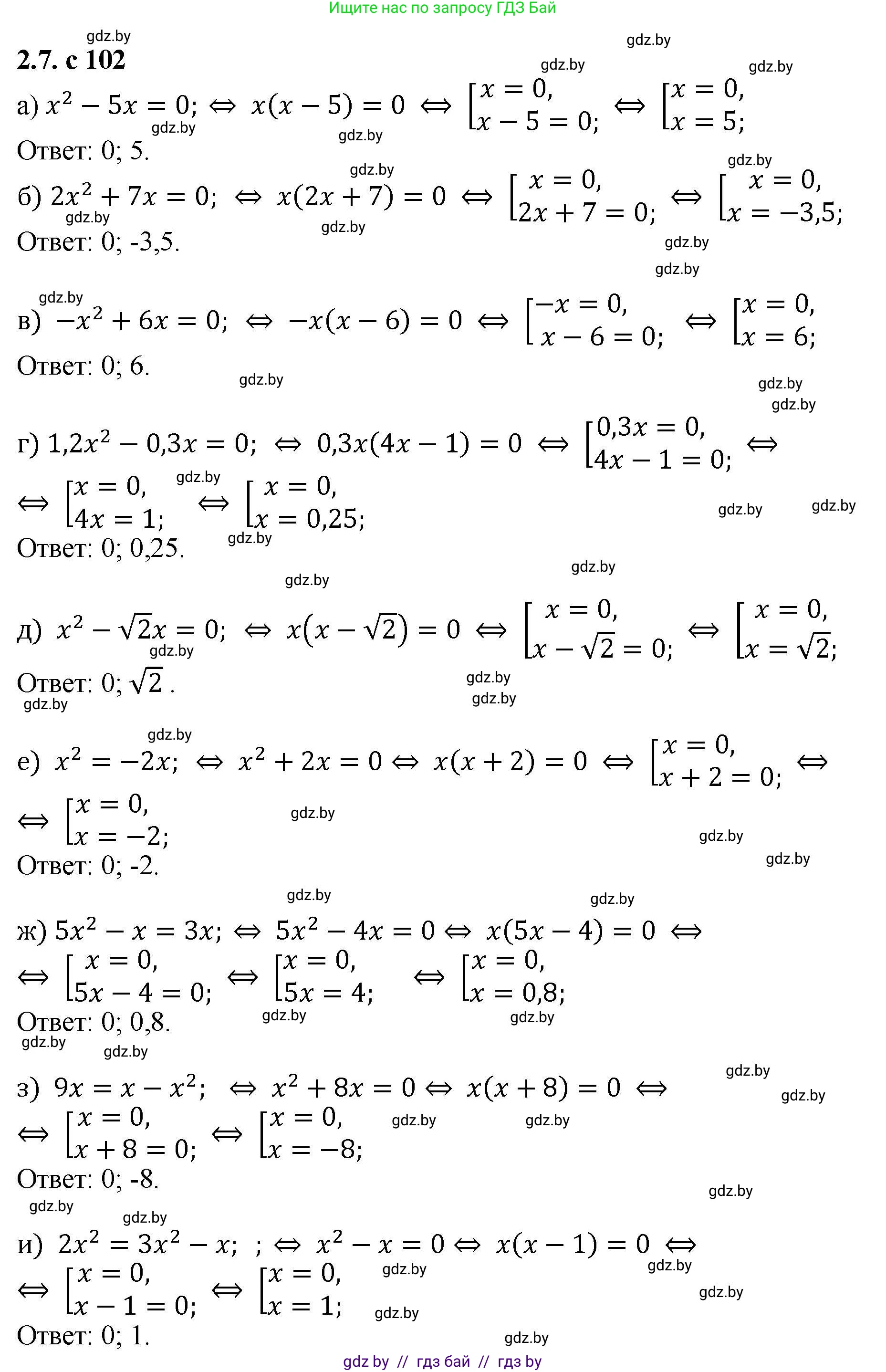
а) $x^2 - 5x = 0;$

б) $2x^2 + 7x = 0;$

в) $-x^2 + 6x = 0;$

г) $1,2x^2 - 0,3x = 0;$

д) $x^2 - \sqrt{2}x = 0;$

е) $x^2 = -2x;$

ж) $5x^2 - x = 3x;$

з) $9x = x - x^2;$

и) $2x^2 = 3x^2 - x.$

Решение. №2.7 (с. 102)
Алгебра, 8 класс Учебник, авторы: Арефьева Ирина Глебовна, Пирютко Ольга Николаевна, издательство Адукацыя i выхаванне, Минск, 2024, бирюзового цвета, страница 102, номер 2.7, Решение
Решение 2. №2.7 (с. 102)

a) $x^2 - 5x = 0$
Это неполное квадратное уравнение. Для его решения вынесем общий множитель $x$ за скобки:
$x(x - 5) = 0$
Произведение равно нулю, когда один из множителей равен нулю. Следовательно, у нас есть два случая:
1) $x_1 = 0$
2) $x - 5 = 0 \implies x_2 = 5$
Ответ: $0$; $5$.

б) $2x^2 + 7x = 0$
Вынесем общий множитель $x$ за скобки:
$x(2x + 7) = 0$
Приравниваем каждый множитель к нулю:
1) $x_1 = 0$
2) $2x + 7 = 0 \implies 2x = -7 \implies x_2 = -\frac{7}{2} = -3\frac{1}{2}$
Ответ: $0$; $-3\frac{1}{2}$.

в) $-x^2 + 6x = 0$
Вынесем общий множитель $x$ за скобки (для удобства можно вынести $-x$):
$-x(x - 6) = 0$
Приравниваем каждый множитель к нулю:
1) $-x = 0 \implies x_1 = 0$
2) $x - 6 = 0 \implies x_2 = 6$
Ответ: $0$; $6$.

г) $1,2x^2 - 0,3x = 0$
Вынесем общий множитель $x$ за скобки:
$x(1,2x - 0,3) = 0$
Приравниваем каждый множитель к нулю:
1) $x_1 = 0$
2) $1,2x - 0,3 = 0 \implies 1,2x = 0,3 \implies x_2 = \frac{0,3}{1,2} = \frac{3}{12} = \frac{1}{4}$
Ответ: $0$; $\frac{1}{4}$.

д) $x^2 - \sqrt{2}x = 0$
Вынесем общий множитель $x$ за скобки:
$x(x - \sqrt{2}) = 0$
Приравниваем каждый множитель к нулю:
1) $x_1 = 0$
2) $x - \sqrt{2} = 0 \implies x_2 = \sqrt{2}$
Ответ: $0$; $\sqrt{2}$.

е) $x^2 = -2x$
Перенесем все члены уравнения в левую часть, чтобы получить стандартный вид неполного квадратного уравнения:
$x^2 + 2x = 0$
Вынесем $x$ за скобки:
$x(x + 2) = 0$
Приравниваем каждый множитель к нулю:
1) $x_1 = 0$
2) $x + 2 = 0 \implies x_2 = -2$
Ответ: $0$; $-2$.

ж) $5x^2 - x = 3x$
Перенесем $3x$ в левую часть уравнения:
$5x^2 - x - 3x = 0$
$5x^2 - 4x = 0$
Вынесем $x$ за скобки:
$x(5x - 4) = 0$
Приравниваем каждый множитель к нулю:
1) $x_1 = 0$
2) $5x - 4 = 0 \implies 5x = 4 \implies x_2 = \frac{4}{5}$
Ответ: $0$; $\frac{4}{5}$.

з) $9x = x - x^2$
Перенесем все члены в левую часть уравнения:
$x^2 + 9x - x = 0$
$x^2 + 8x = 0$
Вынесем $x$ за скобки:
$x(x + 8) = 0$
Приравниваем каждый множитель к нулю:
1) $x_1 = 0$
2) $x + 8 = 0 \implies x_2 = -8$
Ответ: $0$; $-8$.

и) $2x^2 = 3x^2 - x$
Перенесем все члены в одну часть, например, в правую:
$0 = 3x^2 - 2x^2 - x$
$0 = x^2 - x$
Или, что то же самое: $x^2 - x = 0$
Вынесем $x$ за скобки:
$x(x - 1) = 0$
Приравниваем каждый множитель к нулю:
1) $x_1 = 0$
2) $x - 1 = 0 \implies x_2 = 1$
Ответ: $0$; $1$.

Помогло решение? Оставьте отзыв в комментариях ниже.

Присоединяйтесь к Телеграм-группе @gdz_by_belarus

Присоединиться

Мы подготовили для вас ответ c подробным объяснением домашего задания по алгебре за 8 класс, для упражнения номер 2.7 расположенного на странице 102 к учебнику 2024 года издания для учащихся школ и гимназий.

Теперь на нашем сайте ГДЗ.ТОП вы всегда легко и бесплатно найдёте условие с правильным ответом на вопрос «Как решить ДЗ» и «Как сделать» задание по алгебре к упражнению №2.7 (с. 102), авторов: Арефьева (Ирина Глебовна), Пирютко (Ольга Николаевна), учебного пособия издательства Адукацыя i выхаванне.