Номер 2.222, страница 145 - гдз по алгебре 8 класс учебник Арефьева, Пирютко

Алгебра, 8 класс Учебник, авторы: Арефьева Ирина Глебовна, Пирютко Ольга Николаевна, издательство Адукацыя i выхаванне, Минск, 2024, бирюзового цвета

Авторы: Арефьева И. Г., Пирютко О. Н.

Тип: Учебник

Издательство: Адукацыя i выхаванне

Год издания: 2024 - 2025

Цвет обложки: бирюзовый с графиком

ISBN: ISBN 978-985-03-4081-8

Допущено Министерством образования Республики Беларусь

Популярные ГДЗ в 8 классе

Глава 2. Квадратные уравнения. Параграф 12. Решение целых рациональных уравнений, сводящихся к квадратным уравнениям - номер 2.222, страница 145.

№2.222 (с. 145)
Условие. №2.222 (с. 145)
скриншот условия
Алгебра, 8 класс Учебник, авторы: Арефьева Ирина Глебовна, Пирютко Ольга Николаевна, издательство Адукацыя i выхаванне, Минск, 2024, бирюзового цвета, страница 145, номер 2.222, Условие

2.222. Решите уравнение:

а) $(x^2 - 4x)^2 + 8x^2 - 32x + 15 = 0;$

б) $(x^2 + 3x)^2 - 14x^2 - 42x + 40 = 0;$

в) $(x^2 - 7x + 11)^2 - 3x^2 + 21x - 37 = 0;$

г) $(x^2 - 2x - 14)^2 + 4x^2 - 8x - 61 = 0.$

Решение. №2.222 (с. 145)
Алгебра, 8 класс Учебник, авторы: Арефьева Ирина Глебовна, Пирютко Ольга Николаевна, издательство Адукацыя i выхаванне, Минск, 2024, бирюзового цвета, страница 145, номер 2.222, Решение Алгебра, 8 класс Учебник, авторы: Арефьева Ирина Глебовна, Пирютко Ольга Николаевна, издательство Адукацыя i выхаванне, Минск, 2024, бирюзового цвета, страница 145, номер 2.222, Решение (продолжение 2)
Решение 2. №2.222 (с. 145)

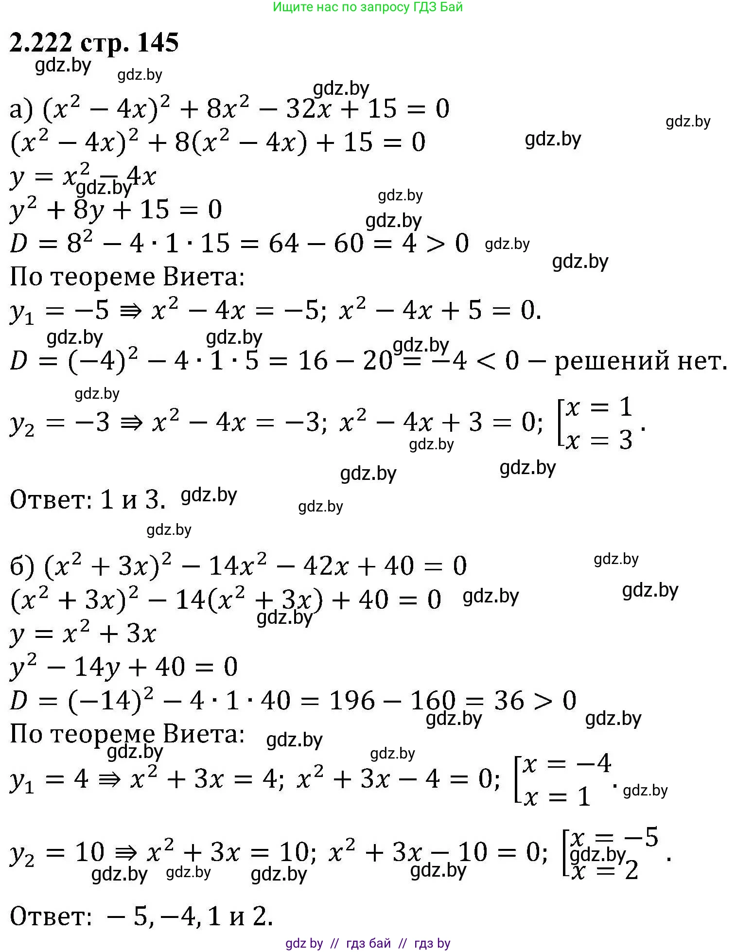
а) $(x^2 - 4x)^2 + 8x^2 - 32x + 15 = 0$

Данное уравнение является биквадратным относительно выражения $x^2-4x$. Сгруппируем слагаемые, чтобы это стало очевидно:

$(x^2 - 4x)^2 + 8(x^2 - 4x) + 15 = 0$

Произведем замену переменной. Пусть $t = x^2 - 4x$. Тогда уравнение принимает вид:

$t^2 + 8t + 15 = 0$

Это стандартное квадратное уравнение. Решим его с помощью теоремы Виета:

Сумма корней: $t_1 + t_2 = -8$

Произведение корней: $t_1 \cdot t_2 = 15$

Подбором находим корни: $t_1 = -3$ и $t_2 = -5$.

Теперь необходимо вернуться к исходной переменной $x$. Для этого решим два квадратных уравнения:

1) $x^2 - 4x = -3 \implies x^2 - 4x + 3 = 0$

По теореме Виета, корни этого уравнения $x_1 = 1$ и $x_2 = 3$.

2) $x^2 - 4x = -5 \implies x^2 - 4x + 5 = 0$

Найдем дискриминант этого уравнения: $D = b^2 - 4ac = (-4)^2 - 4 \cdot 1 \cdot 5 = 16 - 20 = -4$.

Так как дискриминант отрицательный ($D < 0$), это уравнение не имеет действительных корней.

Таким образом, исходное уравнение имеет два корня.

Ответ: $1; 3$.

б) $(x^2 + 3x)^2 - 14x^2 - 42x + 40 = 0$

Сгруппируем слагаемые, вынеся общий множитель за скобки:

$(x^2 + 3x)^2 - 14(x^2 + 3x) + 40 = 0$

Введем новую переменную. Пусть $t = x^2 + 3x$. Тогда уравнение преобразуется к виду:

$t^2 - 14t + 40 = 0$

Решим это квадратное уравнение по теореме Виета:

$t_1 + t_2 = 14$

$t_1 \cdot t_2 = 40$

Корни: $t_1 = 4$ и $t_2 = 10$.

Выполним обратную замену:

1) $x^2 + 3x = 4 \implies x^2 + 3x - 4 = 0$

По теореме Виета, корни $x_1 = 1$ и $x_2 = -4$.

2) $x^2 + 3x = 10 \implies x^2 + 3x - 10 = 0$

По теореме Виета, корни $x_3 = 2$ и $x_4 = -5$.

В итоге получаем четыре корня.

Ответ: $-5; -4; 1; 2$.

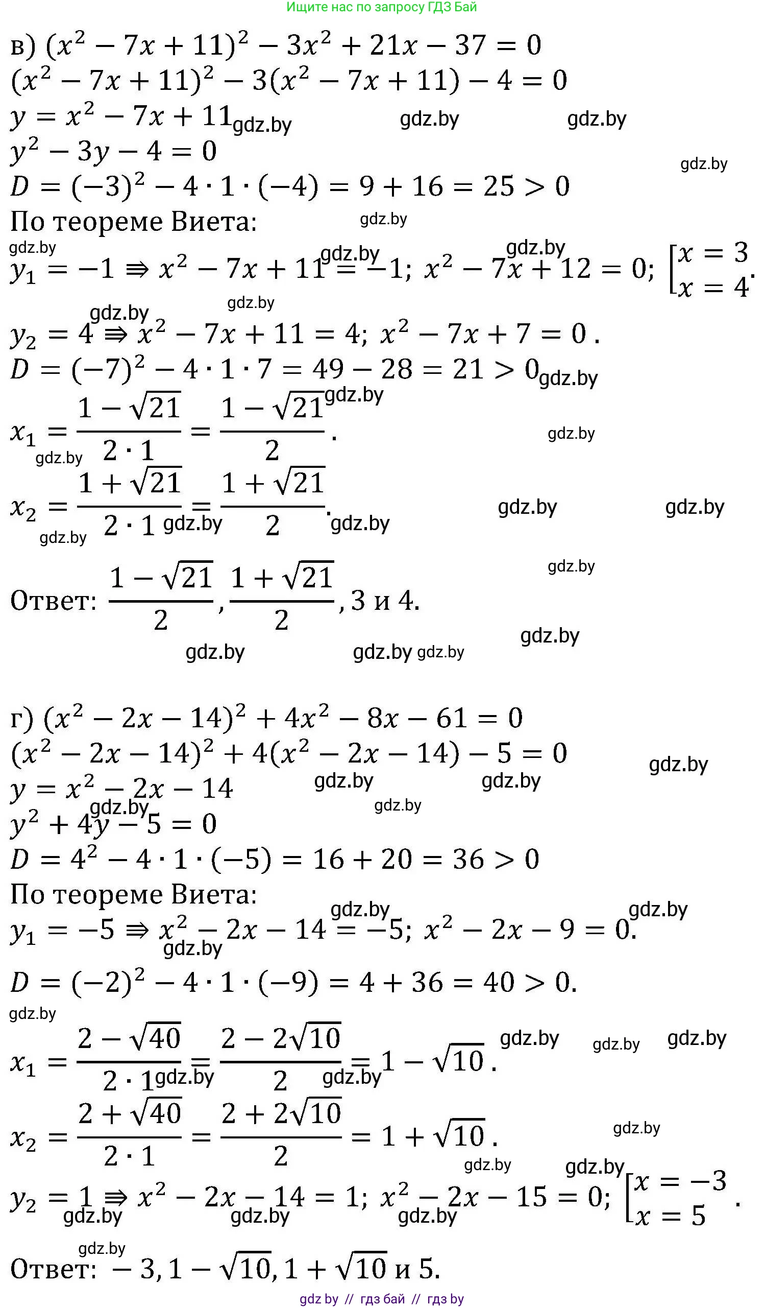
в) $(x^2 - 7x + 11)^2 - 3x^2 + 21x - 37 = 0$

Преобразуем уравнение, чтобы выделить повторяющееся выражение:

$(x^2 - 7x + 11)^2 - 3(x^2 - 7x) - 37 = 0$

Введем новую переменную. Пусть $t = x^2 - 7x + 11$. Тогда $x^2 - 7x = t - 11$.

Подставим это в уравнение:

$t^2 - 3(t - 11) - 37 = 0$

$t^2 - 3t + 33 - 37 = 0$

$t^2 - 3t - 4 = 0$

Найдем корни этого квадратного уравнения по теореме Виета:

$t_1 + t_2 = 3$

$t_1 \cdot t_2 = -4$

Корни: $t_1 = 4$ и $t_2 = -1$.

Выполним обратную замену:

1) $x^2 - 7x + 11 = 4 \implies x^2 - 7x + 7 = 0$

Найдем дискриминант: $D = (-7)^2 - 4 \cdot 1 \cdot 7 = 49 - 28 = 21$.

Корни: $x_{1,2} = \frac{7 \pm \sqrt{21}}{2}$.

2) $x^2 - 7x + 11 = -1 \implies x^2 - 7x + 12 = 0$

По теореме Виета, корни $x_3 = 3$ и $x_4 = 4$.

Ответ: $3; 4; \frac{7 - \sqrt{21}}{2}; \frac{7 + \sqrt{21}}{2}$.

г) $(x^2 - 2x - 14)^2 + 4x^2 - 8x - 61 = 0$

Сгруппируем слагаемые:

$(x^2 - 2x - 14)^2 + 4(x^2 - 2x) - 61 = 0$

Введем новую переменную. Пусть $t = x^2 - 2x - 14$. Тогда $x^2 - 2x = t + 14$.

Подставим в уравнение:

$t^2 + 4(t + 14) - 61 = 0$

$t^2 + 4t + 56 - 61 = 0$

$t^2 + 4t - 5 = 0$

Найдем корни по теореме Виета:

$t_1 + t_2 = -4$

$t_1 \cdot t_2 = -5$

Корни: $t_1 = 1$ и $t_2 = -5$.

Выполним обратную замену:

1) $x^2 - 2x - 14 = 1 \implies x^2 - 2x - 15 = 0$

По теореме Виета, корни $x_1 = 5$ и $x_2 = -3$.

2) $x^2 - 2x - 14 = -5 \implies x^2 - 2x - 9 = 0$

Найдем дискриминант: $D = (-2)^2 - 4 \cdot 1 \cdot (-9) = 4 + 36 = 40$.

$\sqrt{D} = \sqrt{40} = \sqrt{4 \cdot 10} = 2\sqrt{10}$.

Корни: $x_{3,4} = \frac{2 \pm 2\sqrt{10}}{2} = 1 \pm \sqrt{10}$.

Ответ: $-3; 5; 1 - \sqrt{10}; 1 + \sqrt{10}$.

Помогло решение? Оставьте отзыв в комментариях ниже.

Присоединяйтесь к Телеграм-группе @gdz_by_belarus

Присоединиться

Мы подготовили для вас ответ c подробным объяснением домашего задания по алгебре за 8 класс, для упражнения номер 2.222 расположенного на странице 145 к учебнику 2024 года издания для учащихся школ и гимназий.

Теперь на нашем сайте ГДЗ.ТОП вы всегда легко и бесплатно найдёте условие с правильным ответом на вопрос «Как решить ДЗ» и «Как сделать» задание по алгебре к упражнению №2.222 (с. 145), авторов: Арефьева (Ирина Глебовна), Пирютко (Ольга Николаевна), учебного пособия издательства Адукацыя i выхаванне.