Номер 36, страница 251 - гдз по алгебре 8 класс учебник Арефьева, Пирютко

Алгебра, 8 класс Учебник, авторы: Арефьева Ирина Глебовна, Пирютко Ольга Николаевна, издательство Адукацыя i выхаванне, Минск, 2024, бирюзового цвета

Авторы: Арефьева И. Г., Пирютко О. Н.

Тип: Учебник

Издательство: Адукацыя i выхаванне

Год издания: 2024 - 2025

Цвет обложки: бирюзовый с графиком

ISBN: ISBN 978-985-03-4081-8

Допущено Министерством образования Республики Беларусь

Популярные ГДЗ в 8 классе

Повторение курса алгебры 8-го класса. Квадратичная функция - номер 36, страница 251.

№36 (с. 251)
Условие. №36 (с. 251)
скриншот условия
Алгебра, 8 класс Учебник, авторы: Арефьева Ирина Глебовна, Пирютко Ольга Николаевна, издательство Адукацыя i выхаванне, Минск, 2024, бирюзового цвета, страница 251, номер 36, Условие

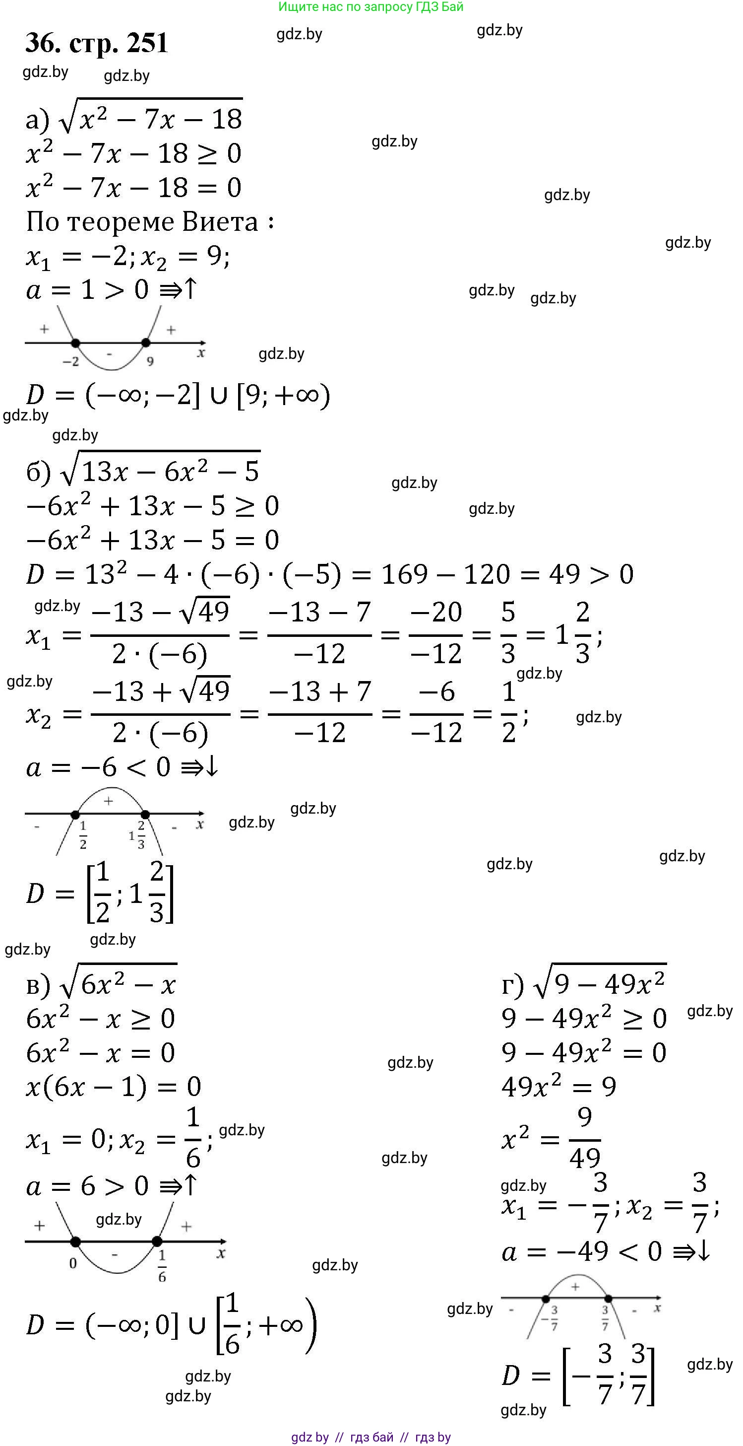
36. Найдите область определения выражения:

а) $\sqrt{x^2 - 7x - 18}$;

б) $\sqrt{13x - 6x^2 - 5}$;

в) $\sqrt{6x^2 - x}$;

г) $\sqrt{9 - 49x^2}$.

Решение. №36 (с. 251)
Алгебра, 8 класс Учебник, авторы: Арефьева Ирина Глебовна, Пирютко Ольга Николаевна, издательство Адукацыя i выхаванне, Минск, 2024, бирюзового цвета, страница 251, номер 36, Решение
Решение 2. №36 (с. 251)

Область определения выражения вида $\sqrt{f(x)}$ находится из условия, что подкоренное выражение должно быть неотрицательным, то есть $f(x) \ge 0$.

а) Для выражения $\sqrt{x^2 - 7x - 18}$ область определения задается неравенством:

$x^2 - 7x - 18 \ge 0$

Сначала найдем корни квадратного уравнения $x^2 - 7x - 18 = 0$.

Вычислим дискриминант:

$D = b^2 - 4ac = (-7)^2 - 4 \cdot 1 \cdot (-18) = 49 + 72 = 121 = 11^2$

Найдем корни:

$x_1 = \frac{-b - \sqrt{D}}{2a} = \frac{7 - 11}{2} = \frac{-4}{2} = -2$

$x_2 = \frac{-b + \sqrt{D}}{2a} = \frac{7 + 11}{2} = \frac{18}{2} = 9$

Так как это парабола с ветвями, направленными вверх (коэффициент при $x^2$ положителен), неравенство $x^2 - 7x - 18 \ge 0$ выполняется при значениях $x$ вне интервала между корнями. Таким образом, область определения включает промежутки, где $x \le -2$ и $x \ge 9$.

Ответ: $x \in (-\infty; -2] \cup [9; +\infty)$.

б) Для выражения $\sqrt{13x - 6x^2 - 5}$ область определения задается неравенством:

$13x - 6x^2 - 5 \ge 0$

Умножим неравенство на -1, чтобы коэффициент при $x^2$ стал положительным, и изменим знак неравенства на противоположный:

$6x^2 - 13x + 5 \le 0$

Найдем корни уравнения $6x^2 - 13x + 5 = 0$.

Вычислим дискриминант:

$D = b^2 - 4ac = (-13)^2 - 4 \cdot 6 \cdot 5 = 169 - 120 = 49 = 7^2$

Найдем корни:

$x_1 = \frac{-b - \sqrt{D}}{2a} = \frac{13 - 7}{12} = \frac{6}{12} = \frac{1}{2}$

$x_2 = \frac{-b + \sqrt{D}}{2a} = \frac{13 + 7}{12} = \frac{20}{12} = \frac{5}{3}$

Это парабола с ветвями, направленными вверх, поэтому неравенство $6x^2 - 13x + 5 \le 0$ выполняется между корнями (включая сами корни). Преобразуем неправильную дробь $\frac{5}{3}$ в смешанное число: $\frac{5}{3} = 1\frac{2}{3}$.

Ответ: $x \in [\frac{1}{2}; \mathbf{1}\frac{2}{3}]$.

в) Для выражения $\sqrt{6x^2 - x}$ область определения задается неравенством:

$6x^2 - x \ge 0$

Разложим левую часть на множители:

$x(6x - 1) \ge 0$

Найдем корни уравнения $x(6x - 1) = 0$:

$x_1 = 0$

$6x - 1 = 0 \Rightarrow x_2 = \frac{1}{6}$

Это парабола с ветвями, направленными вверх. Неравенство $x(6x - 1) \ge 0$ выполняется при значениях $x$ вне интервала между корнями. Таким образом, область определения включает промежутки, где $x \le 0$ и $x \ge \frac{1}{6}$.

Ответ: $x \in (-\infty; 0] \cup [\frac{1}{6}; +\infty)$.

г) Для выражения $\sqrt{9 - 49x^2}$ область определения задается неравенством:

$9 - 49x^2 \ge 0$

Найдем корни уравнения $9 - 49x^2 = 0$.

$49x^2 = 9$

$x^2 = \frac{9}{49}$

$x_1 = -\sqrt{\frac{9}{49}} = -\frac{3}{7}$

$x_2 = \sqrt{\frac{9}{49}} = \frac{3}{7}$

Это парабола с ветвями, направленными вниз (коэффициент при $x^2$ отрицателен), поэтому неравенство $9 - 49x^2 \ge 0$ выполняется между корнями (включая сами корни).

Ответ: $x \in [-\frac{3}{7}; \frac{3}{7}]$.

Помогло решение? Оставьте отзыв в комментариях ниже.

Присоединяйтесь к Телеграм-группе @gdz_by_belarus

Присоединиться

Мы подготовили для вас ответ c подробным объяснением домашего задания по алгебре за 8 класс, для упражнения номер 36 расположенного на странице 251 к учебнику 2024 года издания для учащихся школ и гимназий.

Теперь на нашем сайте ГДЗ.ТОП вы всегда легко и бесплатно найдёте условие с правильным ответом на вопрос «Как решить ДЗ» и «Как сделать» задание по алгебре к упражнению №36 (с. 251), авторов: Арефьева (Ирина Глебовна), Пирютко (Ольга Николаевна), учебного пособия издательства Адукацыя i выхаванне.