Номер 1.215, страница 64 - гдз по алгебре 9 класс учебник Арефьева, Пирютко

Алгебра, 9 класс Учебник, авторы: Арефьева Ирина Глебовна, Пирютко Ольга Николаевна, издательство Народная асвета, Минск, 2019, голубого цвета

Авторы: Арефьева И. Г., Пирютко О. Н.

Тип: Учебник

Издательство: Народная асвета

Год издания: 2019 - 2025

Цвет обложки: голубой, синий с графиком

ISBN: 978-985-03-3077-2

Допущено Министерством образования Республики Беларусь

Популярные ГДЗ в 9 классе

Глава 1. Рациональные выражения. Параграф 5. Преобразования рациональных выражений - номер 1.215, страница 64.

№1.215 (с. 64)
Условие. №1.215 (с. 64)
скриншот условия
Алгебра, 9 класс Учебник, авторы: Арефьева Ирина Глебовна, Пирютко Ольга Николаевна, издательство Народная асвета, Минск, 2019, голубого цвета, страница 64, номер 1.215, Условие

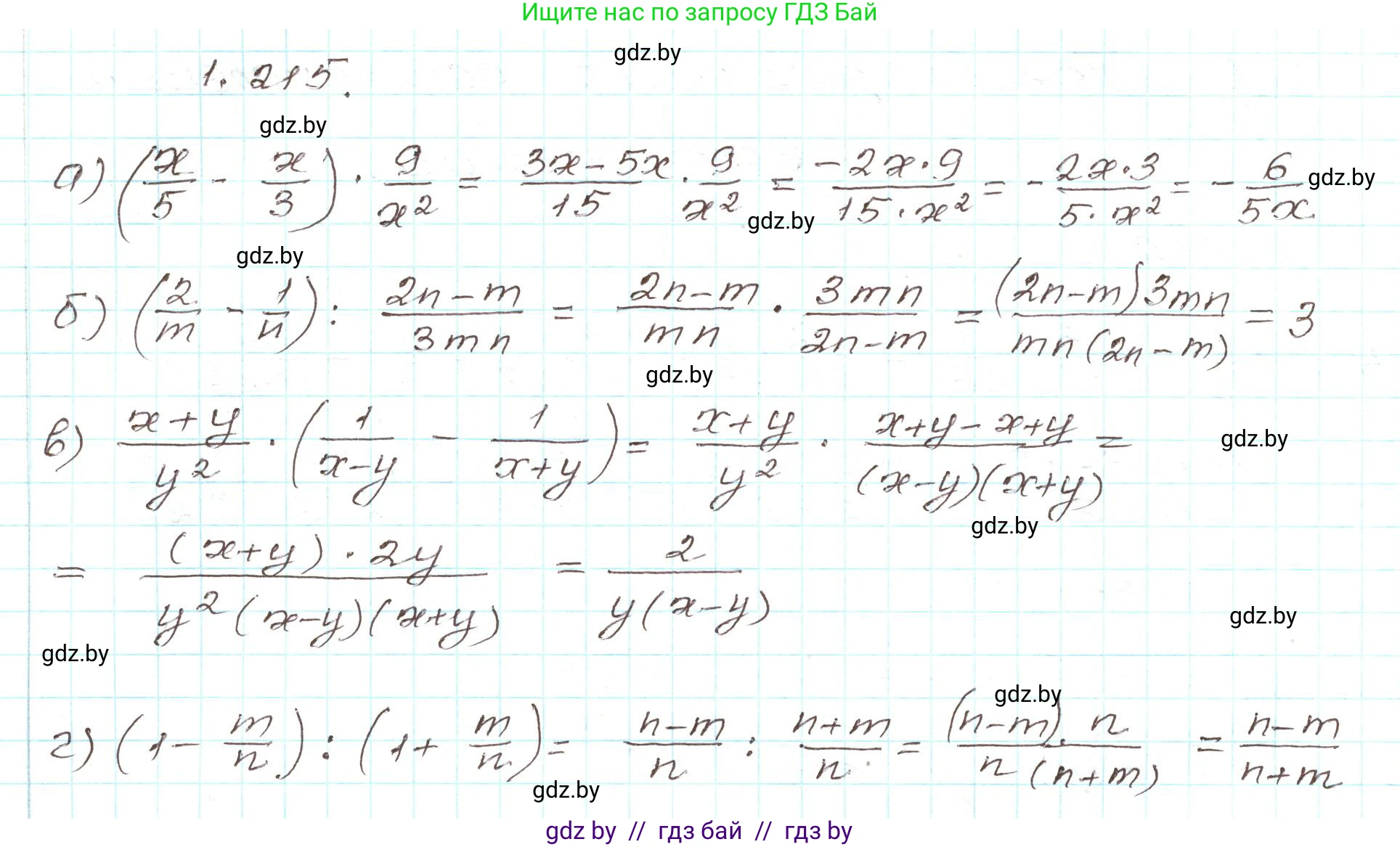
1.215. Установите порядок действий и преобразуйте выражение:

а) $(\frac{x}{5} - \frac{x}{3}) \cdot \frac{9}{x^2};$

б) $(\frac{2}{m} - \frac{1}{n}) : \frac{2n - m}{3mn};$

В) $\frac{x + y}{y^2} \cdot (\frac{1}{x - y} - \frac{1}{x + y});$

Г) $(1 - \frac{m}{n}) : (1 + \frac{m}{n}).$

Решение. №1.215 (с. 64)
Алгебра, 9 класс Учебник, авторы: Арефьева Ирина Глебовна, Пирютко Ольга Николаевна, издательство Народная асвета, Минск, 2019, голубого цвета, страница 64, номер 1.215, Решение
Решение 2. №1.215 (с. 64)

а) Порядок действий: сначала выполняем вычитание в скобках, затем умножение.

1. Выполним вычитание в скобках, приведя дроби к общему знаменателю 15:

$\frac{x}{5} - \frac{x}{3} = \frac{3 \cdot x}{15} - \frac{5 \cdot x}{15} = \frac{3x - 5x}{15} = -\frac{2x}{15}$

2. Теперь умножим результат на дробь $\frac{9}{x^2}$:

$-\frac{2x}{15} \cdot \frac{9}{x^2} = -\frac{2x \cdot 9}{15 \cdot x^2} = -\frac{18x}{15x^2}$

3. Сократим полученную дробь. Числитель и знаменатель делятся на $3x$ (при условии, что $x \neq 0$):

$-\frac{18x}{15x^2} = -\frac{6 \cdot 3x}{5x \cdot 3x} = -\frac{6}{5x}$

Ответ: $-\frac{6}{5x}$

б) Порядок действий: сначала выполняем вычитание в скобках, затем деление.

1. Выполним вычитание в скобках, приведя дроби к общему знаменателю $mn$:

$\frac{2}{m} - \frac{1}{n} = \frac{2n}{mn} - \frac{m}{mn} = \frac{2n - m}{mn}$

2. Теперь разделим результат на дробь $\frac{2n-m}{3mn}$. Деление на дробь равносильно умножению на обратную ей дробь:

$\frac{2n - m}{mn} : \frac{2n - m}{3mn} = \frac{2n - m}{mn} \cdot \frac{3mn}{2n - m}$

3. Сократим одинаковые множители $(2n - m)$ и $mn$ в числителе и знаменателе (при условии, что $m \neq 0, n \neq 0, 2n - m \neq 0$):

$\frac{\cancel{2n - m}}{\cancel{mn}} \cdot \frac{3\cancel{mn}}{\cancel{2n - m}} = 3$

Ответ: 3

в) Порядок действий: сначала выполняем вычитание в скобках, затем умножение.

1. Выполним вычитание в скобках. Общий знаменатель - это произведение знаменателей $(x-y)(x+y) = x^2 - y^2$:

$\frac{1}{x-y} - \frac{1}{x+y} = \frac{1 \cdot (x+y)}{(x-y)(x+y)} - \frac{1 \cdot (x-y)}{(x-y)(x+y)} = \frac{(x+y) - (x-y)}{x^2 - y^2} = \frac{x+y-x+y}{x^2 - y^2} = \frac{2y}{x^2 - y^2}$

2. Теперь умножим дробь $\frac{x+y}{y^2}$ на полученный результат, разложив знаменатель $x^2-y^2$ на множители:

$\frac{x+y}{y^2} \cdot \frac{2y}{x^2 - y^2} = \frac{x+y}{y^2} \cdot \frac{2y}{(x-y)(x+y)}$

3. Сократим общие множители $(x+y)$ и $y$ (при условии, что $y \neq 0, x^2 \neq y^2$):

$\frac{\cancel{x+y}}{y \cdot y} \cdot \frac{2y}{(x-y)\cancel{(x+y)}} = \frac{2}{y(x-y)}$

Ответ: $\frac{2}{y(x-y)}$

г) Порядок действий: сначала выполняем действия в каждой из скобок, затем деление.

1. Преобразуем выражение в первых скобках, приведя к общему знаменателю $n$:

$1 - \frac{m}{n} = \frac{n}{n} - \frac{m}{n} = \frac{n-m}{n}$

2. Преобразуем выражение во вторых скобках, также приведя к общему знаменателю $n$:

$1 + \frac{m}{n} = \frac{n}{n} + \frac{m}{n} = \frac{n+m}{n}$

3. Выполним деление результатов. Деление на дробь равносильно умножению на обратную ей дробь:

$\frac{n-m}{n} : \frac{n+m}{n} = \frac{n-m}{n} \cdot \frac{n}{n+m}$

4. Сократим общий множитель $n$ (при условии, что $n \neq 0, n+m \neq 0$):

$\frac{n-m}{\cancel{n}} \cdot \frac{\cancel{n}}{n+m} = \frac{n-m}{n+m}$

Ответ: $\frac{n-m}{n+m}$

Помогло решение? Оставьте отзыв в комментариях ниже.

Присоединяйтесь к Телеграм-группе @gdz_by_belarus

Присоединиться

Мы подготовили для вас ответ c подробным объяснением домашего задания по алгебре за 9 класс, для упражнения номер 1.215 расположенного на странице 64 к учебнику 2019 года издания для учащихся школ и гимназий.

Теперь на нашем сайте ГДЗ.ТОП вы всегда легко и бесплатно найдёте условие с правильным ответом на вопрос «Как решить ДЗ» и «Как сделать» задание по алгебре к упражнению №1.215 (с. 64), авторов: Арефьева (Ирина Глебовна), Пирютко (Ольга Николаевна), учебного пособия издательства Народная асвета.