Номер 1.71, страница 30 - гдз по алгебре 9 класс учебник Арефьева, Пирютко

Алгебра, 9 класс Учебник, авторы: Арефьева Ирина Глебовна, Пирютко Ольга Николаевна, издательство Народная асвета, Минск, 2019, голубого цвета

Авторы: Арефьева И. Г., Пирютко О. Н.

Тип: Учебник

Издательство: Народная асвета

Год издания: 2019 - 2025

Цвет обложки: голубой, синий с графиком

ISBN: 978-985-03-3077-2

Допущено Министерством образования Республики Беларусь

Популярные ГДЗ в 9 классе

Глава 1. Рациональные выражения. Параграф 2. Основное свойство рациональной дроби. Сокращение рациональных дробей - номер 1.71, страница 30.

№1.71 (с. 30)
Условие. №1.71 (с. 30)
скриншот условия
Алгебра, 9 класс Учебник, авторы: Арефьева Ирина Глебовна, Пирютко Ольга Николаевна, издательство Народная асвета, Минск, 2019, голубого цвета, страница 30, номер 1.71, Условие

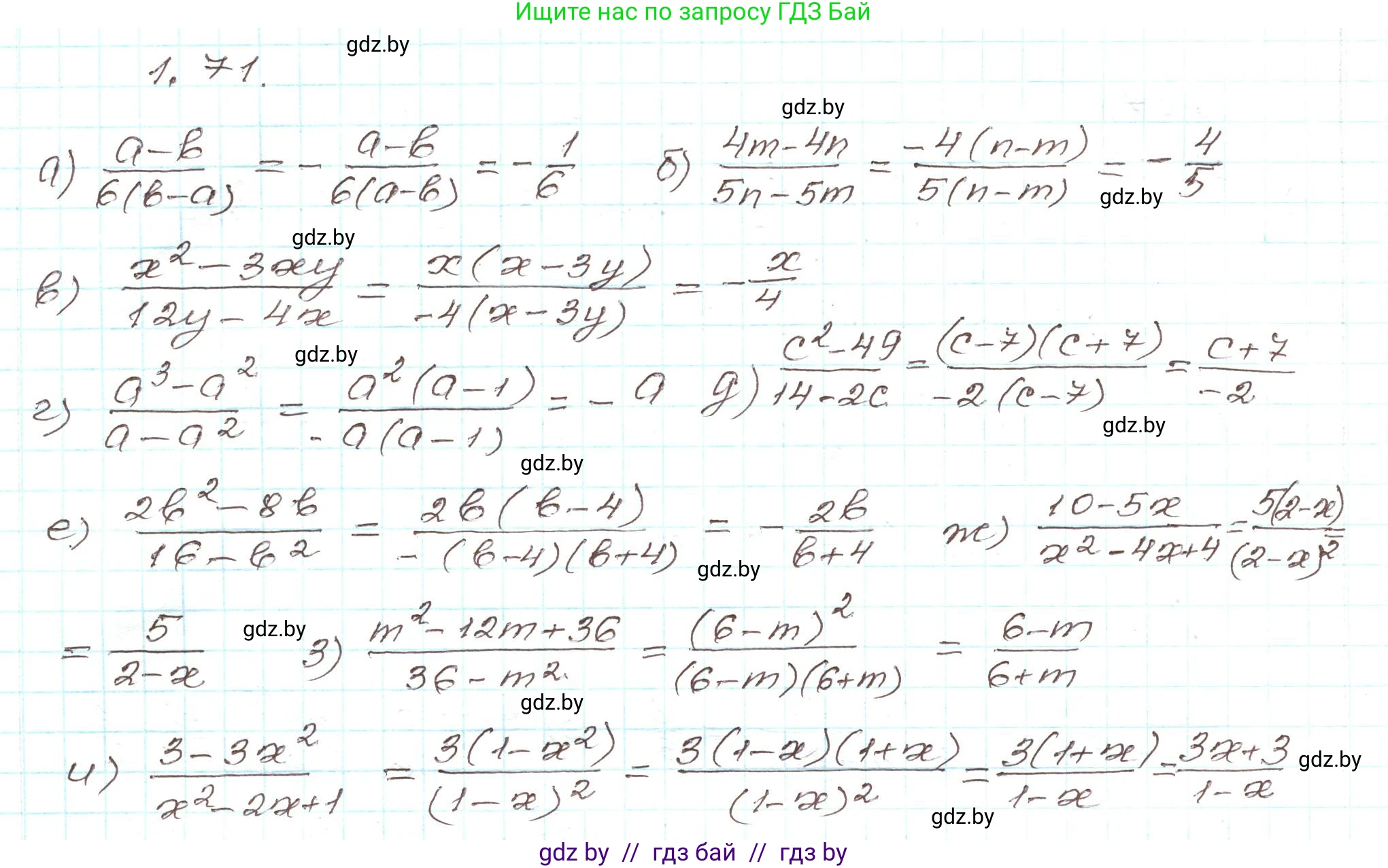
1.71. Сократите дробь:

а) $\frac{a-b}{6(b-a)};$

б) $\frac{4m-4n}{5n-5m};$

в) $\frac{x^2-3xy}{12y-4x};$

г) $\frac{a^3-a^2}{a-a^2};$

д) $\frac{c^2-49}{14-2c};$

е) $\frac{2b^2-8b}{16-b^2};$

ж) $\frac{10-5x}{x^2-4x+4};$

з) $\frac{m^2-12m+36}{36-m^2};$

и) $\frac{3-3x^2}{x^2-2x+1}.$

Решение. №1.71 (с. 30)
Алгебра, 9 класс Учебник, авторы: Арефьева Ирина Глебовна, Пирютко Ольга Николаевна, издательство Народная асвета, Минск, 2019, голубого цвета, страница 30, номер 1.71, Решение
Решение 2. №1.71 (с. 30)

а) Исходная дробь: $\frac{a-b}{6(b-a)}$.
Чтобы сократить дробь, нужно найти одинаковые множители в числителе и знаменателе. Заметим, что выражения $a-b$ и $b-a$ отличаются только знаком. Вынесем $-1$ за скобки в знаменателе: $b-a = -(a-b)$.
$\frac{a-b}{6(b-a)} = \frac{a-b}{6 \cdot (-(a-b))} = \frac{a-b}{-6(a-b)}$
Теперь можно сократить дробь на общий множитель $(a-b)$, при условии, что $a \neq b$.
$\frac{1}{-6} = -\frac{1}{6}$
Ответ: $-\frac{1}{6}$.

б) Исходная дробь: $\frac{4m-4n}{5n-5m}$.
Вынесем общие множители за скобки в числителе и знаменателе.
В числителе: $4m-4n = 4(m-n)$.
В знаменателе: $5n-5m = 5(n-m)$.
Дробь примет вид: $\frac{4(m-n)}{5(n-m)}$.
Заметим, что $n-m = -(m-n)$. Подставим это в знаменатель:
$\frac{4(m-n)}{5 \cdot (-(m-n))} = \frac{4(m-n)}{-5(m-n)}$
Сократим дробь на общий множитель $(m-n)$, при условии, что $m \neq n$.
$\frac{4}{-5} = -\frac{4}{5}$
Ответ: $-\frac{4}{5}$.

в) Исходная дробь: $\frac{x^2-3xy}{12y-4x}$.
Вынесем общие множители за скобки в числителе и знаменателе.
В числителе: $x^2-3xy = x(x-3y)$.
В знаменателе: $12y-4x = 4(3y-x)$.
Дробь примет вид: $\frac{x(x-3y)}{4(3y-x)}$.
Заметим, что $3y-x = -(x-3y)$. Подставим это в знаменатель:
$\frac{x(x-3y)}{4 \cdot (-(x-3y))} = \frac{x(x-3y)}{-4(x-3y)}$
Сократим дробь на общий множитель $(x-3y)$, при условии, что $x \neq 3y$.
$\frac{x}{-4} = -\frac{x}{4}$
Ответ: $-\frac{x}{4}$.

г) Исходная дробь: $\frac{a^3-a^2}{a-a^2}$.
Вынесем общие множители за скобки в числителе и знаменателе.
В числителе: $a^3-a^2 = a^2(a-1)$.
В знаменателе: $a-a^2 = a(1-a)$.
Дробь примет вид: $\frac{a^2(a-1)}{a(1-a)}$.
Заметим, что $1-a = -(a-1)$. Подставим это в знаменатель:
$\frac{a^2(a-1)}{a \cdot (-(a-1))} = \frac{a^2(a-1)}{-a(a-1)}$
Сократим дробь на $(a-1)$ (при $a \neq 1$) и на $a$ (при $a \neq 0$).
$\frac{a}{-1} = -a$
Ответ: $-a$.

д) Исходная дробь: $\frac{c^2-49}{14-2c}$.
Разложим числитель и знаменатель на множители.
Числитель — это разность квадратов: $c^2-49 = (c-7)(c+7)$.
В знаменателе вынесем общий множитель 2: $14-2c = 2(7-c)$.
Дробь примет вид: $\frac{(c-7)(c+7)}{2(7-c)}$.
Заметим, что $7-c = -(c-7)$. Подставим это в знаменатель:
$\frac{(c-7)(c+7)}{2 \cdot (-(c-7))} = \frac{(c-7)(c+7)}{-2(c-7)}$
Сократим дробь на общий множитель $(c-7)$, при условии, что $c \neq 7$.
$\frac{c+7}{-2} = -\frac{c+7}{2}$
Ответ: $-\frac{c+7}{2}$.

е) Исходная дробь: $\frac{2b^2-8b}{16-b^2}$.
Разложим числитель и знаменатель на множители.
В числителе вынесем общий множитель $2b$: $2b^2-8b = 2b(b-4)$.
Знаменатель — это разность квадратов: $16-b^2 = (4-b)(4+b)$.
Дробь примет вид: $\frac{2b(b-4)}{(4-b)(4+b)}$.
Заметим, что $b-4 = -(4-b)$. Подставим это в числитель:
$\frac{2b \cdot (-(4-b))}{(4-b)(4+b)} = \frac{-2b(4-b)}{(4-b)(4+b)}$
Сократим дробь на общий множитель $(4-b)$, при условии, что $b \neq 4$.
$\frac{-2b}{4+b}$.
Данная алгебраическая дробь является неправильной (степень числителя равна степени знаменателя). Выделим целую часть:
$\frac{-2b}{b+4} = \frac{-2(b+4)+8}{b+4} = \frac{-2(b+4)}{b+4} + \frac{8}{b+4} = -2 + \frac{8}{b+4}$.
Ответ: -2$ + \frac{8}{b+4}$.

ж) Исходная дробь: $\frac{10-5x}{x^2-4x+4}$.
Разложим числитель и знаменатель на множители.
В числителе вынесем общий множитель 5: $10-5x = 5(2-x)$.
Знаменатель — это полный квадрат разности: $x^2-4x+4 = (x-2)^2$.
Дробь примет вид: $\frac{5(2-x)}{(x-2)^2}$.
Заметим, что $2-x = -(x-2)$. Подставим это в числитель:
$\frac{5 \cdot (-(x-2))}{(x-2)^2} = \frac{-5(x-2)}{(x-2)(x-2)}$
Сократим дробь на общий множитель $(x-2)$, при условии, что $x \neq 2$.
$\frac{-5}{x-2} = -\frac{5}{x-2}$
Ответ: $-\frac{5}{x-2}$.

з) Исходная дробь: $\frac{m^2-12m+36}{36-m^2}$.
Разложим числитель и знаменатель на множители.
Числитель — это полный квадрат разности: $m^2-12m+36 = (m-6)^2$.
Знаменатель — это разность квадратов: $36-m^2 = (6-m)(6+m)$.
Дробь примет вид: $\frac{(m-6)^2}{(6-m)(6+m)}$.
Заметим, что $m-6 = -(6-m)$, тогда $(m-6)^2 = (-(6-m))^2 = (6-m)^2$.
$\frac{(6-m)^2}{(6-m)(6+m)} = \frac{(6-m)(6-m)}{(6-m)(6+m)}$
Сократим дробь на общий множитель $(6-m)$, при условии, что $m \neq 6$.
$\frac{6-m}{6+m}$.
Данная алгебраическая дробь является неправильной. Выделим целую часть:
$\frac{-m+6}{m+6} = \frac{-(m+6)+12}{m+6} = \frac{-(m+6)}{m+6} + \frac{12}{m+6} = -1 + \frac{12}{m+6}$.
Ответ: -1$ + \frac{12}{m+6}$.

и) Исходная дробь: $\frac{3-3x^2}{x^2-2x+1}$.
Разложим числитель и знаменатель на множители.
В числителе вынесем 3 и применим формулу разности квадратов: $3-3x^2 = 3(1-x^2) = 3(1-x)(1+x)$.
Знаменатель — это полный квадрат разности: $x^2-2x+1 = (x-1)^2$.
Дробь примет вид: $\frac{3(1-x)(1+x)}{(x-1)^2}$.
Заметим, что $1-x = -(x-1)$. Подставим это в числитель:
$\frac{3 \cdot (-(x-1))(1+x)}{(x-1)^2} = \frac{-3(x-1)(x+1)}{(x-1)(x-1)}$
Сократим дробь на общий множитель $(x-1)$, при условии, что $x \neq 1$.
$\frac{-3(x+1)}{x-1}$.
Данная алгебраическая дробь является неправильной. Выделим целую часть:
$\frac{-3x-3}{x-1} = \frac{-3(x-1)-6}{x-1} = \frac{-3(x-1)}{x-1} - \frac{6}{x-1} = -3 - \frac{6}{x-1}$.
Ответ: -3$ - \frac{6}{x-1}$.

Помогло решение? Оставьте отзыв в комментариях ниже.

Присоединяйтесь к Телеграм-группе @gdz_by_belarus

Присоединиться

Мы подготовили для вас ответ c подробным объяснением домашего задания по алгебре за 9 класс, для упражнения номер 1.71 расположенного на странице 30 к учебнику 2019 года издания для учащихся школ и гимназий.

Теперь на нашем сайте ГДЗ.ТОП вы всегда легко и бесплатно найдёте условие с правильным ответом на вопрос «Как решить ДЗ» и «Как сделать» задание по алгебре к упражнению №1.71 (с. 30), авторов: Арефьева (Ирина Глебовна), Пирютко (Ольга Николаевна), учебного пособия издательства Народная асвета.