Номер 2.27, страница 87 - гдз по алгебре 9 класс учебник Арефьева, Пирютко

Алгебра, 9 класс Учебник, авторы: Арефьева Ирина Глебовна, Пирютко Ольга Николаевна, издательство Народная асвета, Минск, 2019, голубого цвета

Авторы: Арефьева И. Г., Пирютко О. Н.

Тип: Учебник

Издательство: Народная асвета

Год издания: 2019 - 2025

Цвет обложки: голубой, синий с графиком

ISBN: 978-985-03-3077-2

Допущено Министерством образования Республики Беларусь

Популярные ГДЗ в 9 классе

Глава 2. Функции. Параграф 6. Функция числового аргумента. Область определения, множество значений. Способы задания функции - номер 2.27, страница 87.

№2.27 (с. 87)
Условие. №2.27 (с. 87)
скриншот условия
Алгебра, 9 класс Учебник, авторы: Арефьева Ирина Глебовна, Пирютко Ольга Николаевна, издательство Народная асвета, Минск, 2019, голубого цвета, страница 87, номер 2.27, Условие

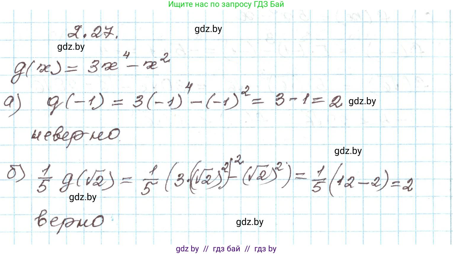
2.27. Функция задана формулой $g(x) = 3x^4 - x^2$. Верно ли равенство:

a) $g(-1) = 4;$

б) $\frac{1}{5}g(\sqrt{2}) = 2?$

Решение. №2.27 (с. 87)
Алгебра, 9 класс Учебник, авторы: Арефьева Ирина Глебовна, Пирютко Ольга Николаевна, издательство Народная асвета, Минск, 2019, голубого цвета, страница 87, номер 2.27, Решение
Решение 2. №2.27 (с. 87)

Дана функция $g(x) = 3x^4 - x^2$. Проверим верность предложенных равенств, подставив соответствующие значения в формулу функции.

а) g(-1) = 4;

Для проверки этого равенства необходимо найти значение функции $g(x)$ при $x = -1$. Подставим $x = -1$ в исходное уравнение:

$g(-1) = 3 \cdot (-1)^4 - (-1)^2$

Поскольку любая степень отрицательного числа с четным показателем является положительным числом, получаем:

$(-1)^4 = 1$

$(-1)^2 = 1$

Теперь подставим эти результаты в выражение для $g(-1)$:

$g(-1) = 3 \cdot 1 - 1 = 3 - 1 = 2$

В результате вычислений мы получили, что $g(-1) = 2$. Это не совпадает с равенством $g(-1) = 4$, указанным в условии. Следовательно, равенство неверно.

Ответ: Неверно.

б) $\frac{1}{5}g(\sqrt{2}) = 2?$

Сначала найдем значение функции $g(x)$ при $x = \sqrt{2}$:

$g(\sqrt{2}) = 3 \cdot (\sqrt{2})^4 - (\sqrt{2})^2$

Вычислим значения степеней:

$(\sqrt{2})^2 = 2$

$(\sqrt{2})^4 = ((\sqrt{2})^2)^2 = 2^2 = 4$

Подставим вычисленные значения в выражение для $g(\sqrt{2})$:

$g(\sqrt{2}) = 3 \cdot 4 - 2 = 12 - 2 = 10$

Теперь, когда мы знаем, что $g(\sqrt{2}) = 10$, подставим это значение в левую часть исходного равенства:

$\frac{1}{5} \cdot g(\sqrt{2}) = \frac{1}{5} \cdot 10 = \frac{10}{5} = 2$

Полученное значение $2$ совпадает со значением в правой части равенства. Следовательно, равенство верно.

Ответ: Верно.

Помогло решение? Оставьте отзыв в комментариях ниже.

Присоединяйтесь к Телеграм-группе @gdz_by_belarus

Присоединиться

Мы подготовили для вас ответ c подробным объяснением домашего задания по алгебре за 9 класс, для упражнения номер 2.27 расположенного на странице 87 к учебнику 2019 года издания для учащихся школ и гимназий.

Теперь на нашем сайте ГДЗ.ТОП вы всегда легко и бесплатно найдёте условие с правильным ответом на вопрос «Как решить ДЗ» и «Как сделать» задание по алгебре к упражнению №2.27 (с. 87), авторов: Арефьева (Ирина Глебовна), Пирютко (Ольга Николаевна), учебного пособия издательства Народная асвета.