Номер 2.34, страница 89 - гдз по алгебре 9 класс учебник Арефьева, Пирютко

Алгебра, 9 класс Учебник, авторы: Арефьева Ирина Глебовна, Пирютко Ольга Николаевна, издательство Народная асвета, Минск, 2019, голубого цвета

Авторы: Арефьева И. Г., Пирютко О. Н.

Тип: Учебник

Издательство: Народная асвета

Год издания: 2019 - 2025

Цвет обложки: голубой, синий с графиком

ISBN: 978-985-03-3077-2

Допущено Министерством образования Республики Беларусь

Популярные ГДЗ в 9 классе

Глава 2. Функции. Параграф 6. Функция числового аргумента. Область определения, множество значений. Способы задания функции - номер 2.34, страница 89.

№2.34 (с. 89)
Условие. №2.34 (с. 89)
скриншот условия
Алгебра, 9 класс Учебник, авторы: Арефьева Ирина Глебовна, Пирютко Ольга Николаевна, издательство Народная асвета, Минск, 2019, голубого цвета, страница 89, номер 2.34, Условие

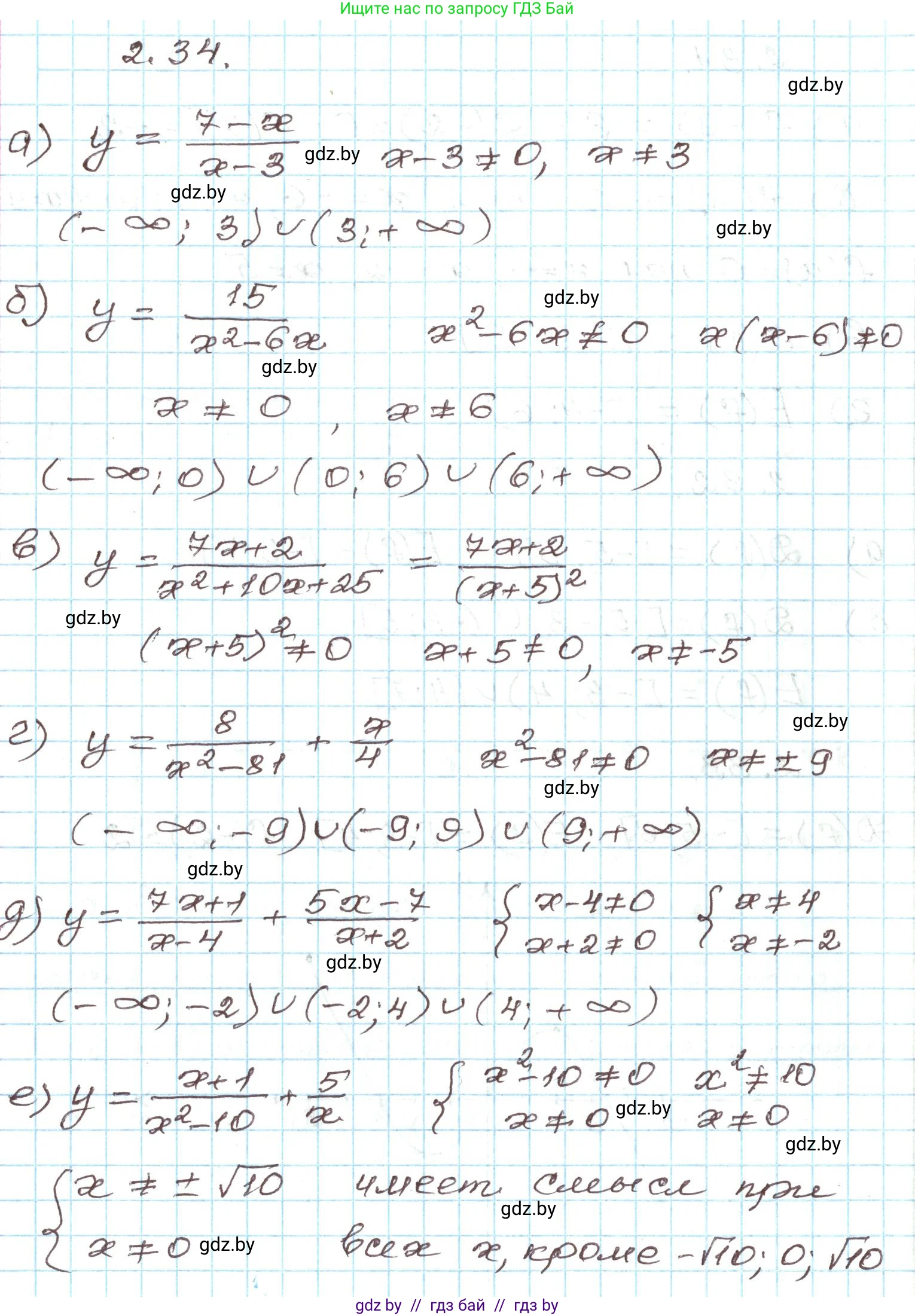
2.34. Определите, при каких значениях переменной выражение, задающее функцию, имеет смысл:

а) $y = \frac{7 - x}{x - 3};$

б) $y = \frac{15}{x^2 - 6x};$

в) $y = \frac{7x + 2}{x^2 + 10x + 25};$

г) $y = \frac{8}{x^2 - 81} + \frac{x}{4};$

д) $y = \frac{7x + 1}{x - 4} + \frac{5x - 7}{x + 2};$

е) $y = \frac{x + 1}{x^2 - 10} + \frac{5}{x};$

ж) $y = \frac{2 - x}{x^2 - 5x + 6};$

з) $y = \frac{x}{x^2 + 8};$

Решение. №2.34 (с. 89)
Алгебра, 9 класс Учебник, авторы: Арефьева Ирина Глебовна, Пирютко Ольга Николаевна, издательство Народная асвета, Минск, 2019, голубого цвета, страница 89, номер 2.34, Решение Алгебра, 9 класс Учебник, авторы: Арефьева Ирина Глебовна, Пирютко Ольга Николаевна, издательство Народная асвета, Минск, 2019, голубого цвета, страница 89, номер 2.34, Решение (продолжение 2)
Решение 2. №2.34 (с. 89)

Чтобы определить, при каких значениях переменной выражение, задающее функцию, имеет смысл, необходимо найти область определения функции. Для дробно-рациональных функций основной ограничивающее условие — знаменатель дроби не должен быть равен нулю.

а) Функция задана выражением $y = \frac{7-x}{x-3}$.

Данное выражение является дробью. Оно имеет смысл тогда, когда его знаменатель не равен нулю. Найдем значение переменной $x$, при котором знаменатель обращается в ноль:

$x - 3 = 0$

$x = 3$

Следовательно, при $x = 3$ выражение не имеет смысла, так как произойдет деление на ноль.

Ответ: выражение имеет смысл при всех значениях $x$, кроме $x = 3$.

б) Функция задана выражением $y = \frac{15}{x^2 - 6x}$.

Знаменатель дроби не должен быть равен нулю. Найдем значения $x$, при которых знаменатель равен нулю:

$x^2 - 6x = 0$

Вынесем общий множитель $x$ за скобки:

$x(x - 6) = 0$

Произведение равно нулю, когда хотя бы один из множителей равен нулю:

$x = 0$ или $x - 6 = 0$

$x = 0$ или $x = 6$

Таким образом, выражение не имеет смысла при $x = 0$ и $x = 6$.

Ответ: выражение имеет смысл при всех значениях $x$, кроме $x = 0$ и $x = 6$.

в) Функция задана выражением $y = \frac{7x+2}{x^2 + 10x + 25}$.

Знаменатель дроби не должен быть равен нулю. Найдем значения $x$, при которых знаменатель равен нулю:

$x^2 + 10x + 25 = 0$

Левая часть уравнения является полным квадратом суммы по формуле $(a+b)^2 = a^2 + 2ab + b^2$:

$(x + 5)^2 = 0$

$x + 5 = 0$

$x = -5$

Следовательно, выражение не имеет смысла при $x = -5$.

Ответ: выражение имеет смысл при всех значениях $x$, кроме $x = -5$.

г) Функция задана выражением $y = \frac{8}{x^2 - 81} + \frac{x}{4}$.

Данное выражение является суммой двух дробей. Оно имеет смысл, когда знаменатели обеих дробей не равны нулю. Знаменатель второй дроби равен 4, он никогда не равен нулю. Знаменатель первой дроби, $x^2 - 81$, не должен быть равен нулю. Найдем значения $x$, при которых он равен нулю:

$x^2 - 81 = 0$

Используем формулу разности квадратов $a^2 - b^2 = (a-b)(a+b)$:

$(x - 9)(x + 9) = 0$

$x - 9 = 0$ или $x + 9 = 0$

$x = 9$ или $x = -9$

Следовательно, выражение не имеет смысла при $x = 9$ и $x = -9$.

Ответ: выражение имеет смысл при всех значениях $x$, кроме $x = 9$ и $x = -9$.

д) Функция задана выражением $y = \frac{7x+1}{x-4} + \frac{5x-7}{x+2}$.

Выражение является суммой двух дробей. Оно имеет смысл, когда знаменатели обеих дробей не равны нулю.

1. Знаменатель первой дроби: $x - 4 \neq 0 \implies x \neq 4$.

2. Знаменатель второй дроби: $x + 2 \neq 0 \implies x \neq -2$.

Таким образом, необходимо исключить значения $x = 4$ и $x = -2$.

Ответ: выражение имеет смысл при всех значениях $x$, кроме $x = 4$ и $x = -2$.

е) Функция задана выражением $y = \frac{x+1}{x^2 - 10} + \frac{5}{x}$.

Выражение является суммой двух дробей. Оно имеет смысл, когда знаменатели обеих дробей не равны нулю.

1. Знаменатель первой дроби: $x^2 - 10 \neq 0 \implies x^2 \neq 10 \implies x \neq \pm\sqrt{10}$.

2. Знаменатель второй дроби: $x \neq 0$.

Следовательно, необходимо исключить значения $x = 0$, $x = \sqrt{10}$ и $x = -\sqrt{10}$.

Ответ: выражение имеет смысл при всех значениях $x$, кроме $x = 0$, $x = \sqrt{10}$ и $x = -\sqrt{10}$.

ж) Функция задана выражением $y = \frac{2-x}{x^2 - 5x + 6}$.

Знаменатель дроби не должен быть равен нулю. Найдем корни квадратного уравнения $x^2 - 5x + 6 = 0$, чтобы определить значения $x$, при которых знаменатель равен нулю. По теореме Виета, сумма корней равна 5, а их произведение равно 6. Подбором находим корни:

$x_1 = 2$, $x_2 = 3$

Таким образом, знаменатель обращается в ноль при $x=2$ и $x=3$. Эти значения необходимо исключить.

Ответ: выражение имеет смысл при всех значениях $x$, кроме $x = 2$ и $x = 3$.

з) Функция задана выражением $y = \frac{x}{x^2 + 8}$.

Знаменатель дроби не должен быть равен нулю. Рассмотрим знаменатель: $x^2 + 8$. Для любого действительного числа $x$, значение $x^2$ является неотрицательным, то есть $x^2 \ge 0$. Следовательно, $x^2 + 8 \ge 0 + 8$, то есть $x^2 + 8 \ge 8$. Поскольку знаменатель всегда положителен (и больше либо равен 8), он никогда не может быть равен нулю. Таким образом, выражение имеет смысл при любом значении переменной $x$.

Ответ: выражение имеет смысл при всех действительных значениях $x$.

Помогло решение? Оставьте отзыв в комментариях ниже.

Присоединяйтесь к Телеграм-группе @gdz_by_belarus

Присоединиться

Мы подготовили для вас ответ c подробным объяснением домашего задания по алгебре за 9 класс, для упражнения номер 2.34 расположенного на странице 89 к учебнику 2019 года издания для учащихся школ и гимназий.

Теперь на нашем сайте ГДЗ.ТОП вы всегда легко и бесплатно найдёте условие с правильным ответом на вопрос «Как решить ДЗ» и «Как сделать» задание по алгебре к упражнению №2.34 (с. 89), авторов: Арефьева (Ирина Глебовна), Пирютко (Ольга Николаевна), учебного пособия издательства Народная асвета.