Номер 3.212, страница 199 - гдз по алгебре 9 класс учебник Арефьева, Пирютко

Алгебра, 9 класс Учебник, авторы: Арефьева Ирина Глебовна, Пирютко Ольга Николаевна, издательство Народная асвета, Минск, 2019, голубого цвета

Авторы: Арефьева И. Г., Пирютко О. Н.

Тип: Учебник

Издательство: Народная асвета

Год издания: 2019 - 2025

Цвет обложки: голубой, синий с графиком

ISBN: 978-985-03-3077-2

Допущено Министерством образования Республики Беларусь

Популярные ГДЗ в 9 классе

Глава 3. Дробно-рациональные уравнения и неравенства. Параграф 13. Дробно-рациональные неравенства. Метод интервалов для решения рациональных неравенств - номер 3.212, страница 199.

№3.212 (с. 199)
Условие. №3.212 (с. 199)
скриншот условия
Алгебра, 9 класс Учебник, авторы: Арефьева Ирина Глебовна, Пирютко Ольга Николаевна, издательство Народная асвета, Минск, 2019, голубого цвета, страница 199, номер 3.212, Условие

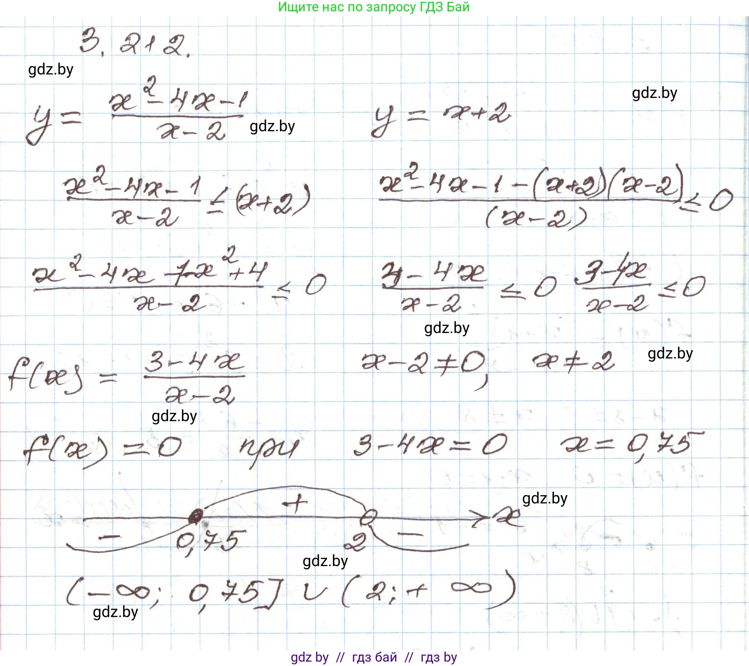
3.212* Найдите значения аргумента, при которых график функции $y = \frac{x^2-4x-1}{x-2}$ расположен не выше прямой $y = x+2$.

Решение. №3.212 (с. 199)
Алгебра, 9 класс Учебник, авторы: Арефьева Ирина Глебовна, Пирютко Ольга Николаевна, издательство Народная асвета, Минск, 2019, голубого цвета, страница 199, номер 3.212, Решение
Решение 2. №3.212 (с. 199)

Условие "график функции расположен не выше прямой" означает, что значения функции $y = \frac{x^2 - 4x - 1}{x - 2}$ должны быть меньше или равны значениям прямой $y = x + 2$. Составим и решим соответствующее неравенство:

$$ \frac{x^2 - 4x - 1}{x - 2} \le x + 2 $$

Первым шагом определим область допустимых значений (ОДЗ). Знаменатель дроби не может быть равен нулю:

$$ x - 2 \neq 0 \implies x \neq 2 $$

Теперь перенесем все члены неравенства в левую часть, чтобы сравнить выражение с нулем:

$$ \frac{x^2 - 4x - 1}{x - 2} - (x + 2) \le 0 $$

Приведем выражение к общему знаменателю $x - 2$:

$$ \frac{x^2 - 4x - 1 - (x + 2)(x - 2)}{x - 2} \le 0 $$

В числителе воспользуемся формулой разности квадратов $(a + b)(a - b) = a^2 - b^2$:

$$ \frac{x^2 - 4x - 1 - (x^2 - 4)}{x - 2} \le 0 $$

Раскроем скобки и приведем подобные слагаемые в числителе:

$$ \frac{x^2 - 4x - 1 - x^2 + 4}{x - 2} \le 0 $$

$$ \frac{-4x + 3}{x - 2} \le 0 $$

Для решения этого рационального неравенства применим метод интервалов. Найдем нули числителя и знаменателя.

1. Нуль числителя:

$$ -4x + 3 = 0 \implies 4x = 3 \implies x = \frac{3}{4} $$

Так как неравенство нестрогое ($\le$), эта точка будет закрашенной на числовой оси и войдет в ответ.

2. Нуль знаменателя:

$$ x - 2 = 0 \implies x = 2 $$

Эта точка не входит в ОДЗ, поэтому она будет выколотой на числовой оси и не войдет в ответ.

Отметим точки $x = \frac{3}{4}$ и $x = 2$ на числовой оси и определим знак выражения $\frac{-4x + 3}{x - 2}$ в каждом из трех интервалов:

  • При $x \in (-\infty; \frac{3}{4})$ (например, при $x=0$): $\frac{-4(0) + 3}{0 - 2} = \frac{3}{-2} < 0$. Знак «−».
  • При $x \in (\frac{3}{4}; 2)$ (например, при $x=1$): $\frac{-4(1) + 3}{1 - 2} = \frac{-1}{-1} = 1 > 0$. Знак «+».
  • При $x \in (2; +\infty)$ (например, при $x=3$): $\frac{-4(3) + 3}{3 - 2} = \frac{-9}{1} < 0$. Знак «−».

Нам нужны интервалы, где выражение меньше или равно нулю, то есть те, где стоит знак «−». Включаем в решение нуль числителя $x=\frac{3}{4}$.

Таким образом, решением неравенства являются все значения $x$ из промежутков $(-\infty; \frac{3}{4}]$ и $(2; +\infty)$.

3.212*. Ответ: $x \in (-\infty; \frac{3}{4}] \cup (2; +\infty)$.

Помогло решение? Оставьте отзыв в комментариях ниже.

Присоединяйтесь к Телеграм-группе @gdz_by_belarus

Присоединиться

Мы подготовили для вас ответ c подробным объяснением домашего задания по алгебре за 9 класс, для упражнения номер 3.212 расположенного на странице 199 к учебнику 2019 года издания для учащихся школ и гимназий.

Теперь на нашем сайте ГДЗ.ТОП вы всегда легко и бесплатно найдёте условие с правильным ответом на вопрос «Как решить ДЗ» и «Как сделать» задание по алгебре к упражнению №3.212 (с. 199), авторов: Арефьева (Ирина Глебовна), Пирютко (Ольга Николаевна), учебного пособия издательства Народная асвета.