Номер 4.130, страница 231 - гдз по алгебре 9 класс учебник Арефьева, Пирютко

Алгебра, 9 класс Учебник, авторы: Арефьева Ирина Глебовна, Пирютко Ольга Николаевна, издательство Народная асвета, Минск, 2019, голубого цвета

Авторы: Арефьева И. Г., Пирютко О. Н.

Тип: Учебник

Издательство: Народная асвета

Год издания: 2019 - 2025

Цвет обложки: голубой, синий с графиком

ISBN: 978-985-03-3077-2

Допущено Министерством образования Республики Беларусь

Популярные ГДЗ в 9 классе

Глава 4. Прогрессии. Параграф 16. Формула суммы n первых членов арифметической прогрессии - номер 4.130, страница 231.

№4.130 (с. 231)
Условие. №4.130 (с. 231)
скриншот условия
Алгебра, 9 класс Учебник, авторы: Арефьева Ирина Глебовна, Пирютко Ольга Николаевна, издательство Народная асвета, Минск, 2019, голубого цвета, страница 231, номер 4.130, Условие

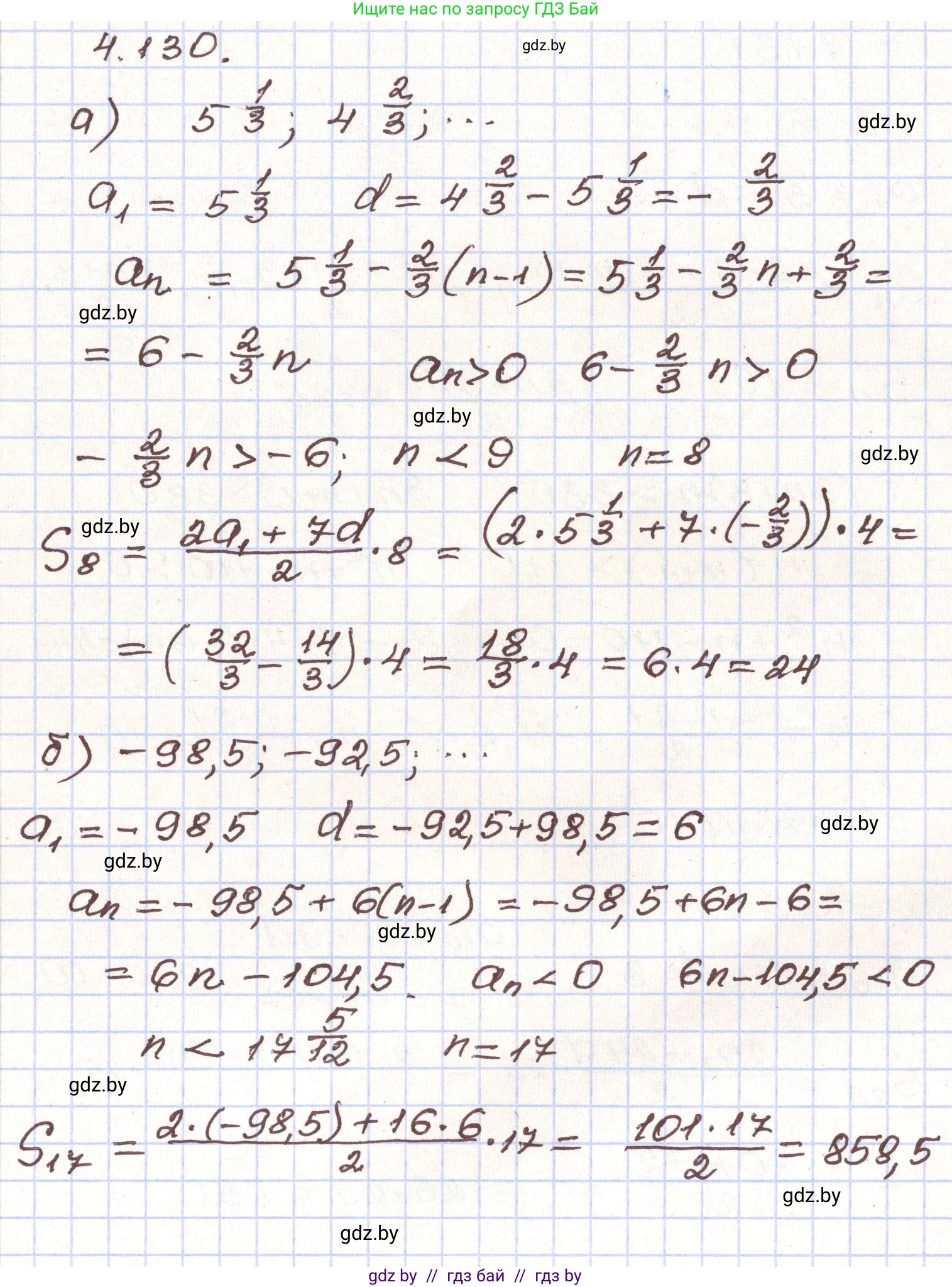
4.130. Вычислите сумму всех:

a) положительных членов арифметической прогрессии

$5\frac{1}{3}; 4\frac{2}{3}; ...;$

б) отрицательных членов арифметической прогрессии

$-98,5; -92,5; ... .$

Решение. №4.130 (с. 231)
Алгебра, 9 класс Учебник, авторы: Арефьева Ирина Глебовна, Пирютко Ольга Николаевна, издательство Народная асвета, Минск, 2019, голубого цвета, страница 231, номер 4.130, Решение
Решение 2. №4.130 (с. 231)

а) положительных членов арифметической прогрессии $5\frac{1}{3}; 4\frac{2}{3}; ...$:

Данная последовательность является арифметической прогрессией. Найдем ее первый член $a_1$ и разность $d$.

Первый член прогрессии: $a_1 = 5\frac{1}{3} = \frac{16}{3}$.

Второй член прогрессии: $a_2 = 4\frac{2}{3} = \frac{14}{3}$.

Разность прогрессии: $d = a_2 - a_1 = \frac{14}{3} - \frac{16}{3} = -\frac{2}{3}$.

Чтобы найти сумму положительных членов, сначала определим, сколько их. Для этого решим неравенство $a_n > 0$, где $a_n$ — n-й член прогрессии.

Формула n-го члена: $a_n = a_1 + (n-1)d$.

Подставим наши значения:

$\frac{16}{3} + (n-1)(-\frac{2}{3}) > 0$

$\frac{16}{3} - \frac{2}{3}n + \frac{2}{3} > 0$

$\frac{18}{3} - \frac{2}{3}n > 0$

$6 - \frac{2}{3}n > 0$

$6 > \frac{2}{3}n$

Умножим обе части на 3: $18 > 2n$.

Разделим обе части на 2: $9 > n$ или $n < 9$.

Так как номер члена прогрессии $n$ должен быть натуральным числом, положительными являются члены с 1-го по 8-й. Всего 8 положительных членов.

Найдем последний положительный член, $a_8$:

$a_8 = a_1 + (8-1)d = \frac{16}{3} + 7 \cdot (-\frac{2}{3}) = \frac{16}{3} - \frac{14}{3} = \frac{2}{3}$.

Теперь вычислим сумму первых 8 членов по формуле суммы арифметической прогрессии $S_n = \frac{a_1 + a_n}{2} \cdot n$:

$S_8 = \frac{\frac{16}{3} + \frac{2}{3}}{2} \cdot 8 = \frac{\frac{18}{3}}{2} \cdot 8 = \frac{6}{2} \cdot 8 = 3 \cdot 8 = 24$.

Ответ: 24.

б) отрицательных членов арифметической прогрессии $-98,5; -92,5; ...$:

Данная последовательность является арифметической прогрессией. Найдем ее первый член $a_1$ и разность $d$.

Первый член прогрессии: $a_1 = -98,5$.

Второй член прогрессии: $a_2 = -92,5$.

Разность прогрессии: $d = a_2 - a_1 = -92,5 - (-98,5) = -92,5 + 98,5 = 6$.

Чтобы найти сумму отрицательных членов, сначала определим, сколько их. Для этого решим неравенство $a_n < 0$.

Формула n-го члена: $a_n = a_1 + (n-1)d$.

Подставим наши значения:

$-98,5 + (n-1) \cdot 6 < 0$

$-98,5 + 6n - 6 < 0$

$6n - 104,5 < 0$

$6n < 104,5$

$n < \frac{104,5}{6}$

$n < 17,416...$

Так как номер члена прогрессии $n$ должен быть натуральным числом, отрицательными являются члены с 1-го по 17-й. Всего 17 отрицательных членов.

Найдем последний отрицательный член, $a_{17}$:

$a_{17} = a_1 + (17-1)d = -98,5 + 16 \cdot 6 = -98,5 + 96 = -2,5$.

Теперь вычислим сумму первых 17 членов по формуле $S_n = \frac{a_1 + a_n}{2} \cdot n$:

$S_{17} = \frac{-98,5 + (-2,5)}{2} \cdot 17 = \frac{-101}{2} \cdot 17 = -50,5 \cdot 17 = -858,5$.

Представим ответ в виде смешанной дроби: $-858,5 = -858\frac{1}{2}$.

Ответ: -858$\frac{1}{2}$.

Помогло решение? Оставьте отзыв в комментариях ниже.

Присоединяйтесь к Телеграм-группе @gdz_by_belarus

Присоединиться

Мы подготовили для вас ответ c подробным объяснением домашего задания по алгебре за 9 класс, для упражнения номер 4.130 расположенного на странице 231 к учебнику 2019 года издания для учащихся школ и гимназий.

Теперь на нашем сайте ГДЗ.ТОП вы всегда легко и бесплатно найдёте условие с правильным ответом на вопрос «Как решить ДЗ» и «Как сделать» задание по алгебре к упражнению №4.130 (с. 231), авторов: Арефьева (Ирина Глебовна), Пирютко (Ольга Николаевна), учебного пособия издательства Народная асвета.