Номер 4.139, страница 231 - гдз по алгебре 9 класс учебник Арефьева, Пирютко

Алгебра, 9 класс Учебник, авторы: Арефьева Ирина Глебовна, Пирютко Ольга Николаевна, издательство Народная асвета, Минск, 2019, голубого цвета

Авторы: Арефьева И. Г., Пирютко О. Н.

Тип: Учебник

Издательство: Народная асвета

Год издания: 2019 - 2025

Цвет обложки: голубой, синий с графиком

ISBN: 978-985-03-3077-2

Допущено Министерством образования Республики Беларусь

Популярные ГДЗ в 9 классе

Глава 4. Прогрессии. Параграф 16. Формула суммы n первых членов арифметической прогрессии - номер 4.139, страница 231.

№4.139 (с. 231)
Условие. №4.139 (с. 231)
скриншот условия
Алгебра, 9 класс Учебник, авторы: Арефьева Ирина Глебовна, Пирютко Ольга Николаевна, издательство Народная асвета, Минск, 2019, голубого цвета, страница 231, номер 4.139, Условие

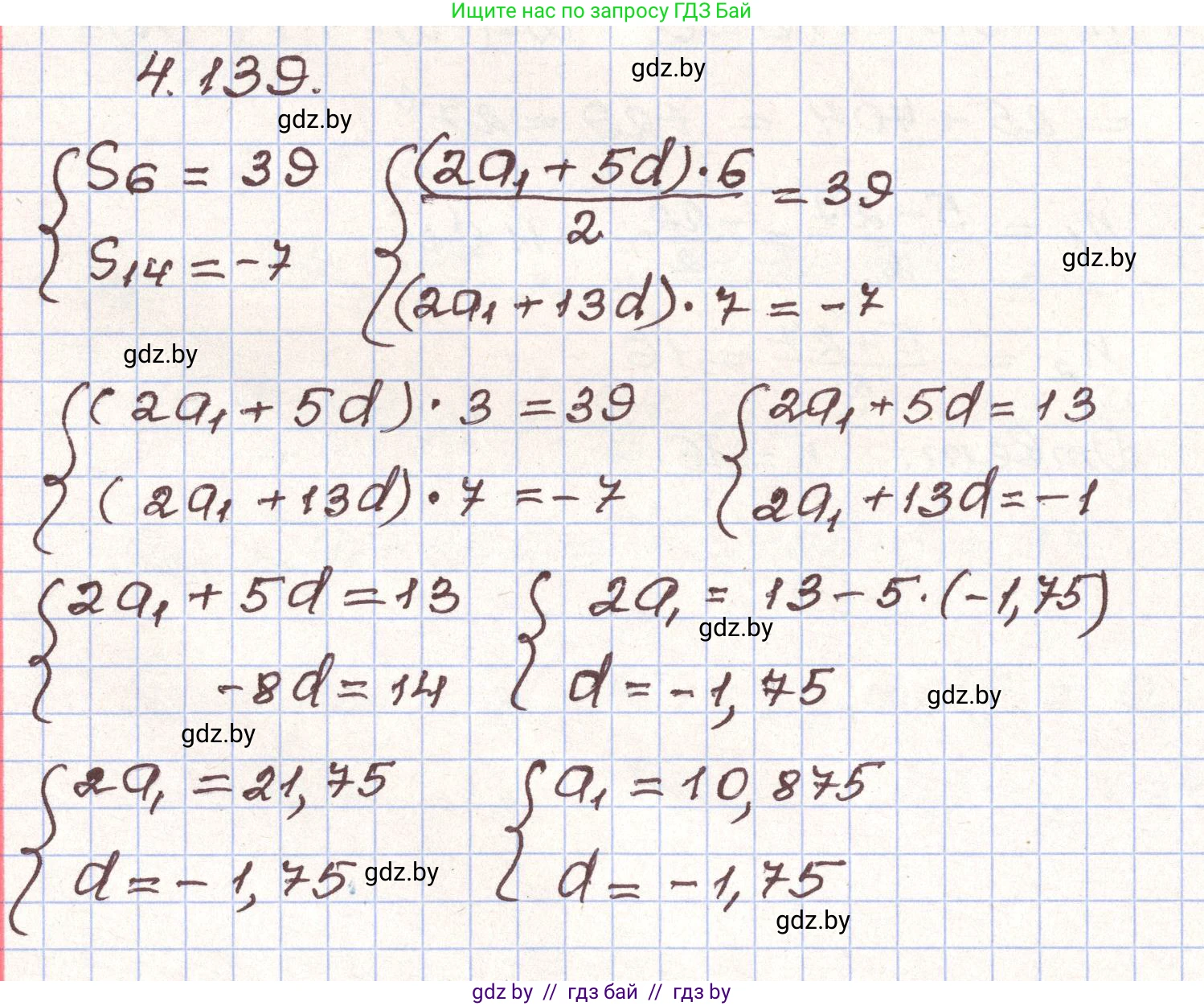
4.139*. Найдите первый член и разность арифметической прогрессии, если $S_6=39$ и $S_{14}=-77$.

Решение. №4.139 (с. 231)
Алгебра, 9 класс Учебник, авторы: Арефьева Ирина Глебовна, Пирютко Ольга Николаевна, издательство Народная асвета, Минск, 2019, голубого цвета, страница 231, номер 4.139, Решение
Решение 2. №4.139 (с. 231)

Для нахождения первого члена ($a_1$) и разности ($d$) арифметической прогрессии воспользуемся формулой суммы первых $n$ членов:

$S_n = \frac{2a_1 + d(n-1)}{2} \cdot n$

Согласно условию, у нас есть два известных значения суммы:

  1. $S_6 = 39$
  2. $S_{14} = -77$

Подставим эти значения в формулу, чтобы составить систему уравнений.

1. Для $S_6 = 39$:

$S_6 = \frac{2a_1 + d(6-1)}{2} \cdot 6 = 39$

Упростим выражение:

$(2a_1 + 5d) \cdot 3 = 39$

Разделим обе части на 3:

$2a_1 + 5d = 13$

2. Для $S_{14} = -77$:

$S_{14} = \frac{2a_1 + d(14-1)}{2} \cdot 14 = -77$

Упростим выражение:

$(2a_1 + 13d) \cdot 7 = -77$

Разделим обе части на 7:

$2a_1 + 13d = -11$

Теперь у нас есть система из двух линейных уравнений с двумя переменными:

$\begin{cases} 2a_1 + 5d = 13 \\ 2a_1 + 13d = -11 \end{cases}$

Для решения системы вычтем первое уравнение из второго:

$(2a_1 + 13d) - (2a_1 + 5d) = -11 - 13$

$2a_1 - 2a_1 + 13d - 5d = -24$

$8d = -24$

$d = \frac{-24}{8} = -3$

Мы нашли разность прогрессии. Теперь подставим значение $d = -3$ в первое уравнение, чтобы найти $a_1$:

$2a_1 + 5(-3) = 13$

$2a_1 - 15 = 13$

$2a_1 = 13 + 15$

$2a_1 = 28$

$a_1 = \frac{28}{2} = 14$

Таким образом, мы нашли и первый член, и разность прогрессии.

Первый член: Найденный первый член арифметической прогрессии равен 14. Ответ: 14

Разность: Найденная разность арифметической прогрессии равна -3. Ответ: -3

Помогло решение? Оставьте отзыв в комментариях ниже.

Присоединяйтесь к Телеграм-группе @gdz_by_belarus

Присоединиться

Мы подготовили для вас ответ c подробным объяснением домашего задания по алгебре за 9 класс, для упражнения номер 4.139 расположенного на странице 231 к учебнику 2019 года издания для учащихся школ и гимназий.

Теперь на нашем сайте ГДЗ.ТОП вы всегда легко и бесплатно найдёте условие с правильным ответом на вопрос «Как решить ДЗ» и «Как сделать» задание по алгебре к упражнению №4.139 (с. 231), авторов: Арефьева (Ирина Глебовна), Пирютко (Ольга Николаевна), учебного пособия издательства Народная асвета.