Номер 4.75, страница 221 - гдз по алгебре 9 класс учебник Арефьева, Пирютко

Алгебра, 9 класс Учебник, авторы: Арефьева Ирина Глебовна, Пирютко Ольга Николаевна, издательство Народная асвета, Минск, 2019, голубого цвета

Авторы: Арефьева И. Г., Пирютко О. Н.

Тип: Учебник

Издательство: Народная асвета

Год издания: 2019 - 2025

Цвет обложки: голубой, синий с графиком

ISBN: 978-985-03-3077-2

Допущено Министерством образования Республики Беларусь

Популярные ГДЗ в 9 классе

Глава 4. Прогрессии. Параграф 15. Арифметическая прогрессия - номер 4.75, страница 221.

№4.75 (с. 221)
Условие. №4.75 (с. 221)
скриншот условия
Алгебра, 9 класс Учебник, авторы: Арефьева Ирина Глебовна, Пирютко Ольга Николаевна, издательство Народная асвета, Минск, 2019, голубого цвета, страница 221, номер 4.75, Условие

4.75*. Проверьте, является ли арифметической прогрессией последовательность:

a) $b_n = 7n + 1$;

б) $c_n = 3 - 5n$;

в) $x_n = n^2$;

г) $y_n = 12n$.

Если да, то найдите ее первый член и разность.

Решение. №4.75 (с. 221)
Алгебра, 9 класс Учебник, авторы: Арефьева Ирина Глебовна, Пирютко Ольга Николаевна, издательство Народная асвета, Минск, 2019, голубого цвета, страница 221, номер 4.75, Решение
Решение 2. №4.75 (с. 221)

Для того чтобы проверить, является ли последовательность арифметической прогрессией, необходимо найти разность между ее $(n+1)$-м и $n$-м членами. Если эта разность является постоянной величиной (константой), то последовательность является арифметической прогрессией. В противном случае — нет. Если последовательность является арифметической, ее первый член находят подстановкой $n=1$ в формулу $n$-го члена, а разностью является полученная константа.

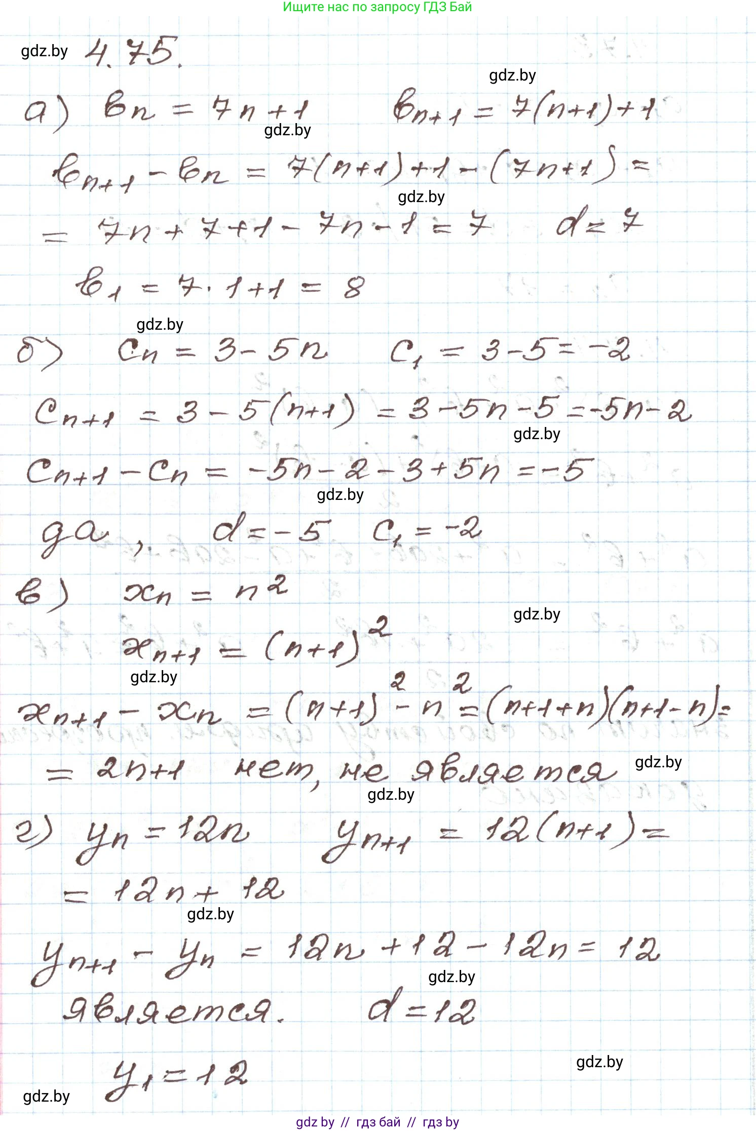
а) $b_n = 7n + 1$

1. Найдем $(n+1)$-й член последовательности:
$b_{n+1} = 7(n+1) + 1 = 7n + 7 + 1 = 7n + 8$
2. Найдем разность $d = b_{n+1} - b_n$:
$d = (7n + 8) - (7n + 1) = 7$
Разность постоянна, следовательно, последовательность является арифметической прогрессией.
3. Найдем первый член ($n=1$):
$b_1 = 7 \cdot 1 + 1 = 8$
Ответ: Да, является. Первый член равен 8, разность $d = 7$.

б) $c_n = 3 - 5n$

1. Найдем $(n+1)$-й член последовательности:
$c_{n+1} = 3 - 5(n+1) = 3 - 5n - 5 = -5n - 2$
2. Найдем разность $d = c_{n+1} - c_n$:
$d = (-5n - 2) - (3 - 5n) = -5n - 2 - 3 + 5n = -5$
Разность постоянна, следовательно, последовательность является арифметической прогрессией.
3. Найдем первый член ($n=1$):
$c_1 = 3 - 5 \cdot 1 = -2$
Ответ: Да, является. Первый член равен -2, разность $d = -5$.

в) $x_n = n^2$

1. Найдем $(n+1)$-й член последовательности:
$x_{n+1} = (n+1)^2 = n^2 + 2n + 1$
2. Найдем разность $x_{n+1} - x_n$:
$x_{n+1} - x_n = (n^2 + 2n + 1) - n^2 = 2n + 1$
Разность $2n + 1$ зависит от $n$ и не является постоянной величиной. Следовательно, последовательность не является арифметической прогрессией.
Ответ: Нет, не является.

г) $y_n = 12n$

1. Найдем $(n+1)$-й член последовательности:
$y_{n+1} = 12(n+1) = 12n + 12$
2. Найдем разность $d = y_{n+1} - y_n$:
$d = (12n + 12) - 12n = 12$
Разность постоянна, следовательно, последовательность является арифметической прогрессией.
3. Найдем первый член ($n=1$):
$y_1 = 12 \cdot 1 = 12$
Ответ: Да, является. Первый член равен 12, разность $d = 12$.

Помогло решение? Оставьте отзыв в комментариях ниже.

Присоединяйтесь к Телеграм-группе @gdz_by_belarus

Присоединиться

Мы подготовили для вас ответ c подробным объяснением домашего задания по алгебре за 9 класс, для упражнения номер 4.75 расположенного на странице 221 к учебнику 2019 года издания для учащихся школ и гимназий.

Теперь на нашем сайте ГДЗ.ТОП вы всегда легко и бесплатно найдёте условие с правильным ответом на вопрос «Как решить ДЗ» и «Как сделать» задание по алгебре к упражнению №4.75 (с. 221), авторов: Арефьева (Ирина Глебовна), Пирютко (Ольга Николаевна), учебного пособия издательства Народная асвета.