Номер 7.14, страница 40 - гдз по алгебре 10 класс сборник задач Арефьева, Пирютко
Авторы: Арефьева И. Г., Пирютко О. Н.
Тип: Сборник задач
Издательство: Народная асвета
Год издания: 2020 - 2025
Уровень обучения: базовый и повышенный
Цвет обложки: белый, голубой с графиком
Допущено Министерством образования Республики Беларусь
Популярные ГДЗ в 10 классе
Глава 3. Тригонометрия. Параграф 7. Определение синуса и косинуса произвольного угла - номер 7.14, страница 40.
№7.14 (с. 40)
Условие. №7.14 (с. 40)
скриншот условия
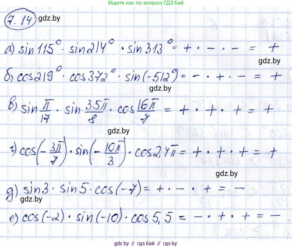
7.14. Определите знак выражения:
a) $\sin 115^\circ \sin 214^\circ \sin 313^\circ;$
б) $\cos 219^\circ \cos 372^\circ \sin (-512^\circ);$
в) $\sin \frac{\pi}{17} \sin \frac{35\pi}{8} \cos \frac{16\pi}{7};$
г) $\cos \left(-\frac{3\pi}{7}\right) \sin \left(-\frac{10\pi}{3}\right) \cos 2,4\pi;$
д) $\sin 3 \sin 5 \cos (-7);$
е) $\cos (-2) \sin (-10) \cos 5,5.$
Решение. №7.14 (с. 40)
Решение 2. №7.14 (с. 40)
а) Чтобы определить знак выражения $\sin115^\circ\sin214^\circ\sin313^\circ$, найдем знак каждого множителя, определив, в какой координатной четверти находится каждый угол.
- $\sin115^\circ$: так как $90^\circ < 115^\circ < 180^\circ$, угол находится во II четверти. Синус во II четверти положителен, значит $\sin115^\circ > 0$.
- $\sin214^\circ$: так как $180^\circ < 214^\circ < 270^\circ$, угол находится в III четверти. Синус в III четверти отрицателен, значит $\sin214^\circ < 0$.
- $\sin313^\circ$: так как $270^\circ < 313^\circ < 360^\circ$, угол находится в IV четверти. Синус в IV четверти отрицателен, значит $\sin313^\circ < 0$.
Перемножим знаки: $(+) \cdot (-) \cdot (-) = (+)$.
Ответ: +
б) Чтобы определить знак выражения $\cos219^\circ\cos372^\circ\sin(-512^\circ)$, найдем знак каждого множителя.
- $\cos219^\circ$: так как $180^\circ < 219^\circ < 270^\circ$, угол находится в III четверти. Косинус в III четверти отрицателен, значит $\cos219^\circ < 0$.
- $\cos372^\circ$: используя периодичность косинуса, $\cos372^\circ = \cos(360^\circ + 12^\circ) = \cos12^\circ$. Угол $12^\circ$ находится в I четверти, где косинус положителен, значит $\cos372^\circ > 0$.
- $\sin(-512^\circ)$: синус - нечетная функция, поэтому $\sin(-512^\circ) = -\sin512^\circ$. Используя периодичность, $\sin512^\circ = \sin(360^\circ + 152^\circ) = \sin152^\circ$. Угол $152^\circ$ находится во II четверти, где синус положителен. Таким образом, $\sin152^\circ > 0$, а $\sin(-512^\circ) = -\sin152^\circ < 0$.
Перемножим знаки: $(-) \cdot (+) \cdot (-) = (+)$.
Ответ: +
в) Чтобы определить знак выражения $\sin\frac{\pi}{17}\sin\frac{35\pi}{8}\cos\frac{16\pi}{7}$, найдем знак каждого множителя.
- $\sin\frac{\pi}{17}$: так как $0 < \frac{\pi}{17} < \frac{\pi}{2}$, угол находится в I четверти. Синус в I четверти положителен, значит $\sin\frac{\pi}{17} > 0$.
- $\sin\frac{35\pi}{8}$: преобразуем дробь, выделив целую часть: $\frac{35}{8} = \mathbf{4}\frac{3}{8}$. Тогда $\frac{35\pi}{8} = 4\pi + \frac{3\pi}{8}$. Используя периодичность синуса, $\sin\frac{35\pi}{8} = \sin(4\pi + \frac{3\pi}{8}) = \sin\frac{3\pi}{8}$. Угол $\frac{3\pi}{8}$ находится в I четверти ($0 < \frac{3\pi}{8} < \frac{\pi}{2}$), где синус положителен, значит $\sin\frac{35\pi}{8} > 0$.
- $\cos\frac{16\pi}{7}$: преобразуем дробь, выделив целую часть: $\frac{16}{7} = \mathbf{2}\frac{2}{7}$. Тогда $\frac{16\pi}{7} = 2\pi + \frac{2\pi}{7}$. Используя периодичность косинуса, $\cos\frac{16\pi}{7} = \cos(2\pi + \frac{2\pi}{7}) = \cos\frac{2\pi}{7}$. Угол $\frac{2\pi}{7}$ находится в I четверти ($0 < \frac{2\pi}{7} < \frac{\pi}{2}$), где косинус положителен, значит $\cos\frac{16\pi}{7} > 0$.
Перемножим знаки: $(+) \cdot (+) \cdot (+) = (+)$.
Ответ: +
г) Чтобы определить знак выражения $\cos(-\frac{3\pi}{7})\sin(-\frac{10\pi}{3})\cos(2,4\pi)$, найдем знак каждого множителя.
- $\cos(-\frac{3\pi}{7})$: косинус - четная функция, поэтому $\cos(-\frac{3\pi}{7}) = \cos\frac{3\pi}{7}$. Так как $0 < \frac{3\pi}{7} < \frac{\pi}{2}$, угол находится в I четверти. Косинус здесь положителен, значит $\cos(-\frac{3\pi}{7}) > 0$.
- $\sin(-\frac{10\pi}{3})$: синус - нечетная функция, поэтому $\sin(-\frac{10\pi}{3}) = -\sin\frac{10\pi}{3}$. Выделим целую часть: $\frac{10}{3} = \mathbf{3}\frac{1}{3}$. Тогда $\frac{10\pi}{3} = 3\pi + \frac{\pi}{3} = 2\pi + \pi + \frac{\pi}{3}$. $\sin\frac{10\pi}{3} = \sin(\pi + \frac{\pi}{3})$. Это III четверть, где синус отрицателен. Значит, $\sin\frac{10\pi}{3} < 0$, а $\sin(-\frac{10\pi}{3}) > 0$.
- $\cos(2,4\pi)$: используя периодичность, $\cos(2,4\pi) = \cos(2\pi + 0,4\pi) = \cos(0,4\pi)$. Так как $0 < 0,4\pi < 0,5\pi = \frac{\pi}{2}$, угол находится в I четверти, где косинус положителен. Значит $\cos(2,4\pi) > 0$.
Перемножим знаки: $(+) \cdot (+) \cdot (+) = (+)$.
Ответ: +
д) Чтобы определить знак выражения $\sin3 \cdot \sin5 \cdot \cos(-7)$, найдем знак каждого множителя, учитывая, что углы заданы в радианах ($\pi \approx 3,14$).
- $\sin3$: так как $\frac{\pi}{2} \approx 1,57 < 3 < \pi \approx 3,14$, угол 3 радиана находится во II четверти. Синус здесь положителен, значит $\sin3 > 0$.
- $\sin5$: так как $\frac{3\pi}{2} \approx 4,71 < 5 < 2\pi \approx 6,28$, угол 5 радиан находится в IV четверти. Синус здесь отрицателен, значит $\sin5 < 0$.
- $\cos(-7)$: косинус - четная функция, $\cos(-7) = \cos7$. Приведем угол к основному промежутку: $7 - 2\pi \approx 7 - 6,28 = 0,72$. Угол $0,72$ радиана находится в I четверти ($0 < 0,72 < \frac{\pi}{2} \approx 1,57$), где косинус положителен. Значит $\cos(-7) > 0$.
Перемножим знаки: $(+) \cdot (-) \cdot (+) = (-)$.
Ответ: -
е) Чтобы определить знак выражения $\cos(-2)\sin(-10)\cos5,5$, найдем знак каждого множителя, учитывая, что углы заданы в радианах ($\pi \approx 3,14$).
- $\cos(-2)$: косинус - четная функция, $\cos(-2) = \cos2$. Так как $\frac{\pi}{2} \approx 1,57 < 2 < \pi \approx 3,14$, угол 2 радиана находится во II четверти. Косинус здесь отрицателен, значит $\cos(-2) < 0$.
- $\sin(-10)$: синус - нечетная функция, $\sin(-10) = -\sin10$. Приведем угол 10 радиан к основному промежутку: $10 - 2\pi \approx 10 - 6,28 = 3,72$. Угол $3,72$ радиана находится в III четверти ($\pi \approx 3,14 < 3,72 < \frac{3\pi}{2} \approx 4,71$), где синус отрицателен. Таким образом, $\sin10 < 0$, а $\sin(-10) = -\sin10 > 0$.
- $\cos5,5$: так как $\frac{3\pi}{2} \approx 4,71 < 5,5 < 2\pi \approx 6,28$, угол 5,5 радиан находится в IV четверти. Косинус здесь положителен, значит $\cos5,5 > 0$.
Перемножим знаки: $(-) \cdot (+) \cdot (+) = (-)$.
Ответ: -
Другие задания:
Помогло решение? Оставьте отзыв в комментариях ниже.
Присоединяйтесь к Телеграм-группе @gdz_by_belarus
ПрисоединитьсяМы подготовили для вас ответ c подробным объяснением домашего задания по алгебре за 10 класс, для упражнения номер 7.14 расположенного на странице 40 к сборнику задач 2020 года издания для учащихся школ и гимназий.
Теперь на нашем сайте ГДЗ.ТОП вы всегда легко и бесплатно найдёте условие с правильным ответом на вопрос «Как решить ДЗ» и «Как сделать» задание по алгебре к упражнению №7.14 (с. 40), авторов: Арефьева (Ирина Глебовна), Пирютко (Ольга Николаевна), базовый и повышенный уровень обучения учебного пособия издательства Народная асвета.