Номер 27.17, страница 134 - гдз по алгебре 10 класс сборник задач Арефьева, Пирютко
Авторы: Арефьева И. Г., Пирютко О. Н.
Тип: Сборник задач
Издательство: Народная асвета
Год издания: 2020 - 2025
Уровень обучения: базовый и повышенный
Цвет обложки: белый, голубой с графиком
Допущено Министерством образования Республики Беларусь
Популярные ГДЗ в 10 классе
Глава 5. Производная. Параграф 27. Геометрический смысл производной. Связь между знаком производной функции и ее возрастанием или убыванием - номер 27.17, страница 134.
№27.17 (с. 134)
Условие. №27.17 (с. 134)
скриншот условия
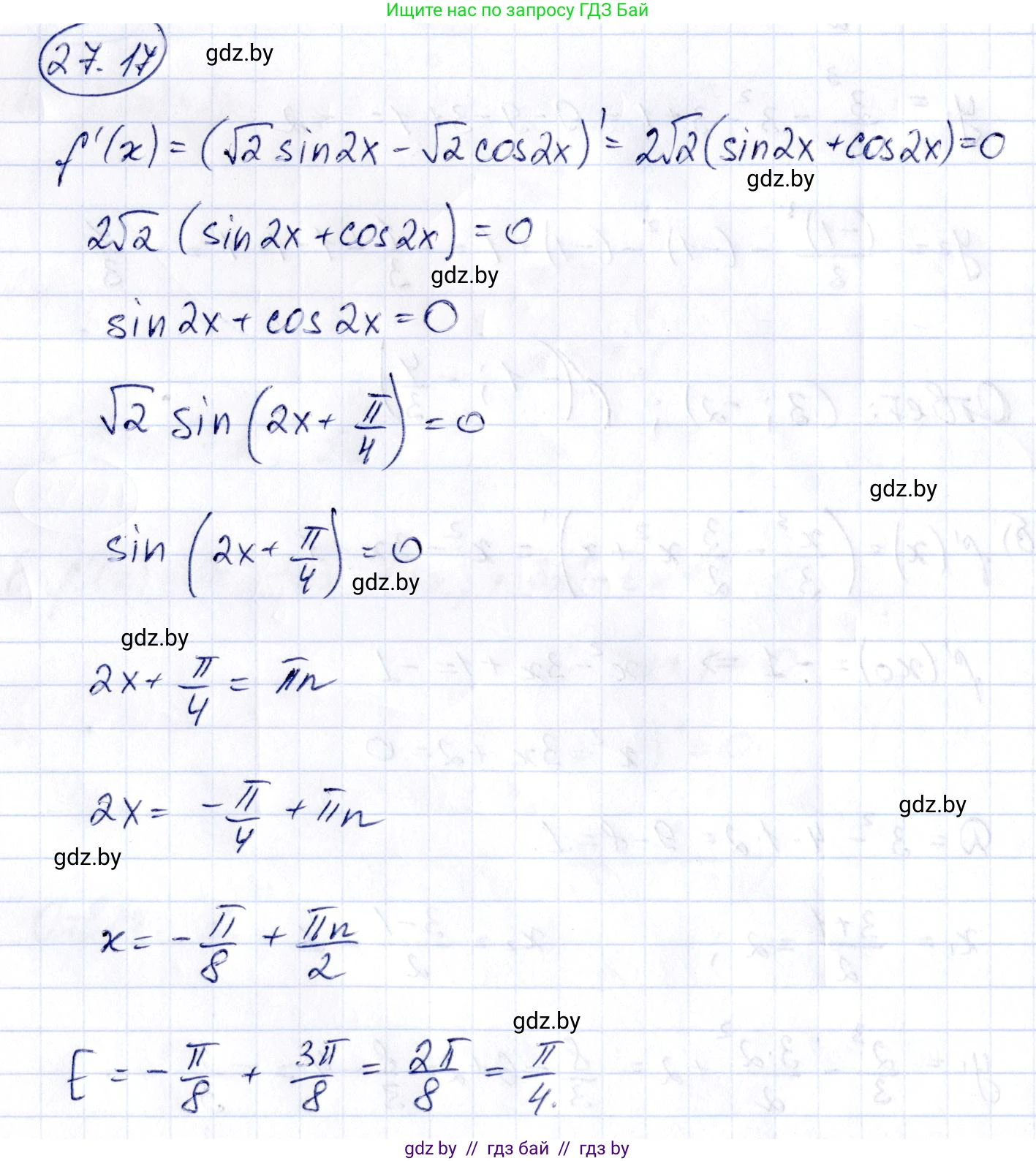
27.17. Найдите сумму абсцисс точек (из промежутка $[-\frac{\pi}{8}; \frac{\pi}{2}])$, в которых касательная к графику функции $f(x) = \sqrt{2} \sin 2x - \sqrt{2} \cos 2x$ параллельна оси абсцисс.
Решение. №27.17 (с. 134)
Решение 2. №27.17 (с. 134)
Условие, что касательная к графику функции в некоторой точке параллельна оси абсцисс, означает, что её угловой коэффициент равен нулю. Угловой коэффициент касательной равен значению производной функции в этой точке. Таким образом, задача сводится к нахождению абсцисс точек, в которых производная функции $f(x)$ равна нулю.
Исходная функция: $f(x) = \sqrt{2} \sin(2x) - \sqrt{2} \cos(2x)$.
1. Найдём производную функции $f'(x)$.
Используя правило дифференцирования сложной функции $(\sin u)' = u' \cos u$ и $(\cos u)' = -u' \sin u$, где $u=2x$ и $u'=2$, получаем: $$ f'(x) = (\sqrt{2} \sin(2x) - \sqrt{2} \cos(2x))' $$ $$ f'(x) = \sqrt{2} \cdot \cos(2x) \cdot 2 - \sqrt{2} \cdot (-\sin(2x)) \cdot 2 $$ $$ f'(x) = 2\sqrt{2}\cos(2x) + 2\sqrt{2}\sin(2x) $$ $$ f'(x) = 2\sqrt{2}(\cos(2x) + \sin(2x)) $$
2. Приравняем производную к нулю и решим уравнение.
$f'(x) = 0 \implies 2\sqrt{2}(\cos(2x) + \sin(2x)) = 0$.
Поскольку $2\sqrt{2} \neq 0$, должно выполняться равенство: $$ \cos(2x) + \sin(2x) = 0 $$ $$ \sin(2x) = -\cos(2x) $$ Разделим обе части на $\cos(2x)$, предполагая, что $\cos(2x) \neq 0$. Если $\cos(2x) = 0$, то из уравнения следует, что и $\sin(2x) = 0$, что невозможно, так как $\sin^2(2x) + \cos^2(2x) = 1$. Следовательно, деление корректно. $$ \tan(2x) = -1 $$ Общее решение этого тригонометрического уравнения имеет вид: $$ 2x = -\frac{\pi}{4} + \pi n, \text{ где } n \in \mathbb{Z} $$ Отсюда находим $x$: $$ x = -\frac{\pi}{8} + \frac{\pi n}{2}, \text{ где } n \in \mathbb{Z} $$
3. Выполним отбор корней, принадлежащих заданному промежутку $[-\frac{\pi}{8}; \frac{\pi}{2}]$.
Будем подставлять различные целые значения $n$ в общую формулу для $x$:
- При $n=0$: $x_1 = -\frac{\pi}{8} + 0 = -\frac{\pi}{8}$. Этот корень входит в промежуток, так как $-\frac{\pi}{8} \in [-\frac{\pi}{8}; \frac{\pi}{2}]$.
- При $n=1$: $x_2 = -\frac{\pi}{8} + \frac{\pi}{2} = -\frac{\pi}{8} + \frac{4\pi}{8} = \frac{3\pi}{8}$. Этот корень входит в промежуток, так как $-\frac{\pi}{8} \le \frac{3\pi}{8} \le \frac{\pi}{2}$ (поскольку $\frac{\pi}{2} = \frac{4\pi}{8}$).
- При $n=2$: $x = -\frac{\pi}{8} + \frac{2\pi}{2} = -\frac{\pi}{8} + \pi = \frac{7\pi}{8}$. Этот корень не входит в промежуток, так как $\frac{7\pi}{8} > \frac{\pi}{2}$.
- При $n=-1$: $x = -\frac{\pi}{8} - \frac{\pi}{2} = -\frac{5\pi}{8}$. Этот корень не входит в промежуток, так как $-\frac{5\pi}{8} < -\frac{\pi}{8}$.
Таким образом, в указанном промежутке есть две точки, в которых касательная параллельна оси абсцисс: $x_1 = -\frac{\pi}{8}$ и $x_2 = \frac{3\pi}{8}$.
4. Найдём сумму этих абсцисс.
Сумма = $x_1 + x_2 = -\frac{\pi}{8} + \frac{3\pi}{8} = \frac{3\pi - \pi}{8} = \frac{2\pi}{8} = \frac{\pi}{4}$.
Сумма абсцисс точек: Ответ: $\frac{\pi}{4}$
Другие задания:
Помогло решение? Оставьте отзыв в комментариях ниже.
Присоединяйтесь к Телеграм-группе @gdz_by_belarus
ПрисоединитьсяМы подготовили для вас ответ c подробным объяснением домашего задания по алгебре за 10 класс, для упражнения номер 27.17 расположенного на странице 134 к сборнику задач 2020 года издания для учащихся школ и гимназий.
Теперь на нашем сайте ГДЗ.ТОП вы всегда легко и бесплатно найдёте условие с правильным ответом на вопрос «Как решить ДЗ» и «Как сделать» задание по алгебре к упражнению №27.17 (с. 134), авторов: Арефьева (Ирина Глебовна), Пирютко (Ольга Николаевна), базовый и повышенный уровень обучения учебного пособия издательства Народная асвета.