Номер 27.22, страница 135 - гдз по алгебре 10 класс сборник задач Арефьева, Пирютко

Алгебра, 10 класс Сборник задач, авторы: Арефьева Ирина Глебовна, Пирютко Ольга Николаевна, издательство Народная асвета, Минск, 2020, белого цвета

Авторы: Арефьева И. Г., Пирютко О. Н.

Тип: Сборник задач

Издательство: Народная асвета

Год издания: 2020 - 2025

Уровень обучения: базовый и повышенный

Цвет обложки: белый, голубой с графиком

Допущено Министерством образования Республики Беларусь

Популярные ГДЗ в 10 классе

Глава 5. Производная. Параграф 27. Геометрический смысл производной. Связь между знаком производной функции и ее возрастанием или убыванием - номер 27.22, страница 135.

№27.22 (с. 135)
Условие. №27.22 (с. 135)
скриншот условия
Алгебра, 10 класс Сборник задач, авторы: Арефьева Ирина Глебовна, Пирютко Ольга Николаевна, издательство Народная асвета, Минск, 2020, белого цвета, страница 135, номер 27.22, Условие

27.22. Найдите промежутки возрастания функции:

а) $f(x)=-x^5+5x^4-5x^3+1$;

б) $f(x)=5x-\frac{4}{x}$.

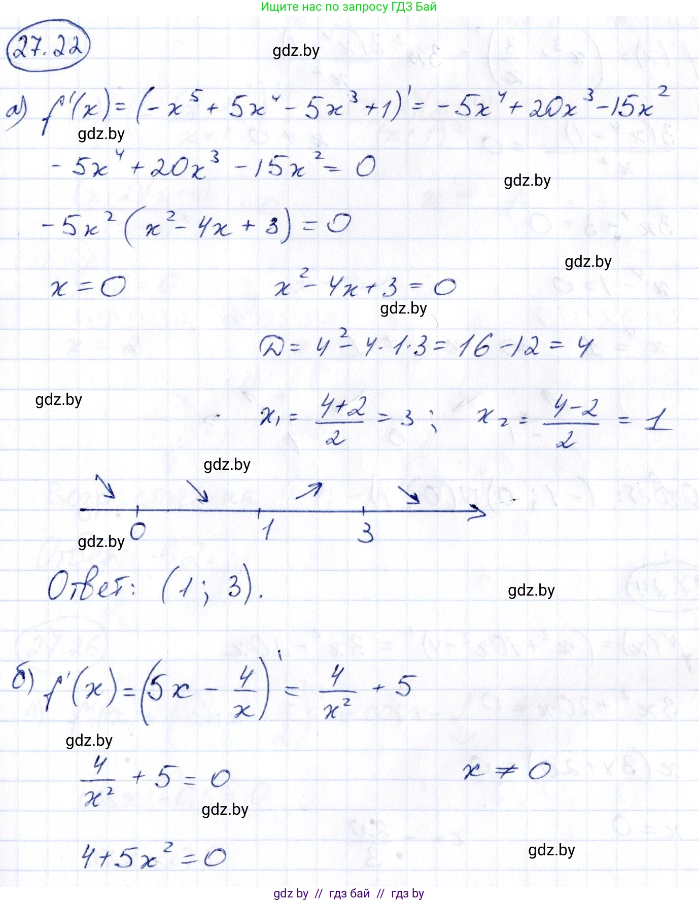
Решение. №27.22 (с. 135)
Алгебра, 10 класс Сборник задач, авторы: Арефьева Ирина Глебовна, Пирютко Ольга Николаевна, издательство Народная асвета, Минск, 2020, белого цвета, страница 135, номер 27.22, Решение Алгебра, 10 класс Сборник задач, авторы: Арефьева Ирина Глебовна, Пирютко Ольга Николаевна, издательство Народная асвета, Минск, 2020, белого цвета, страница 135, номер 27.22, Решение (продолжение 2)
Решение 2. №27.22 (с. 135)

Для нахождения промежутков возрастания функции необходимо найти ее производную и определить интервалы, на которых производная положительна ($f'(x) > 0$).

а) Дана функция $f(x) = -x^5 + 5x^4 - 5x^3 + 1$.

1. Область определения функции — все действительные числа, так как это многочлен, то есть $D(f) = (-\infty, +\infty)$.

2. Находим производную функции:
$f'(x) = (-x^5 + 5x^4 - 5x^3 + 1)' = -5x^4 + 20x^3 - 15x^2$.

3. Находим критические точки, решив уравнение $f'(x) = 0$. Производная определена на всей числовой прямой.
$-5x^4 + 20x^3 - 15x^2 = 0$
Вынесем общий множитель $-5x^2$ за скобки:
$-5x^2(x^2 - 4x + 3) = 0$
Произведение равно нулю, если один из множителей равен нулю:
$-5x^2 = 0 \implies x_1 = 0$
$x^2 - 4x + 3 = 0$. По теореме Виета, корни этого уравнения $x_2 = 1$ и $x_3 = 3$.
Таким образом, критические точки: $0, 1, 3$.

4. Эти точки разбивают числовую ось на интервалы: $(-\infty, 0)$, $(0, 1)$, $(1, 3)$ и $(3, +\infty)$. Определяем знак производной $f'(x) = -5x^2(x-1)(x-3)$ на каждом из них. Функция возрастает там, где $f'(x) > 0$.
- На интервале $(1, 3)$, возьмем пробную точку $x=2$. $f'(2) = -5(2)^2(2-1)(2-3) = -20(1)(-1) = 20 > 0$. Значит, на этом интервале функция возрастает.
- На интервалах $(-\infty, 0)$, $(0, 1)$ и $(3, \infty)$ производная будет отрицательной, следовательно, функция убывает.
Поскольку функция непрерывна в точках $x=1$ и $x=3$, эти точки включаются в промежуток возрастания. Ответ: $[1, 3]$.

б) Дана функция $f(x) = 5x - \frac{4}{x}$.

1. Область определения функции: знаменатель не может быть равен нулю, поэтому $x \neq 0$. $D(f) = (-\infty, 0) \cup (0, +\infty)$.

2. Находим производную функции, представив ее как $f(x) = 5x - 4x^{-1}$:
$f'(x) = (5x - 4x^{-1})' = 5 - 4(-1)x^{-2} = 5 + \frac{4}{x^2}$.

3. Ищем критические точки. Производная не существует в точке $x=0$, но эта точка и так не входит в область определения функции. Решим уравнение $f'(x) = 0$, чтобы найти стационарные точки:
$5 + \frac{4}{x^2} = 0 \implies \frac{4}{x^2} = -5$.
Данное уравнение не имеет действительных решений, так как $x^2$ не может быть отрицательным.

4. Определяем знак производной на всей области определения. Для любого $x \in D(f)$, выражение $x^2$ всегда положительно. Значит, дробь $\frac{4}{x^2}$ также всегда положительна. Следовательно, производная $f'(x) = 5 + \frac{4}{x^2}$ всегда является суммой положительного числа 5 и положительной дроби, а значит $f'(x) > 0$ для всех $x$ из области определения.
Поскольку производная положительна на всей области определения, функция возрастает на каждом из интервалов, составляющих эту область. Ответ: $(-\infty, 0) \cup (0, +\infty)$.

Помогло решение? Оставьте отзыв в комментариях ниже.

Присоединяйтесь к Телеграм-группе @gdz_by_belarus

Присоединиться

Мы подготовили для вас ответ c подробным объяснением домашего задания по алгебре за 10 класс, для упражнения номер 27.22 расположенного на странице 135 к сборнику задач 2020 года издания для учащихся школ и гимназий.

Теперь на нашем сайте ГДЗ.ТОП вы всегда легко и бесплатно найдёте условие с правильным ответом на вопрос «Как решить ДЗ» и «Как сделать» задание по алгебре к упражнению №27.22 (с. 135), авторов: Арефьева (Ирина Глебовна), Пирютко (Ольга Николаевна), базовый и повышенный уровень обучения учебного пособия издательства Народная асвета.