Номер 3.121, страница 256 - гдз по алгебре 10 класс учебник Арефьева, Пирютко

Алгебра, 10 класс Учебник, авторы: Арефьева Ирина Глебовна, Пирютко Ольга Николаевна, издательство Народная асвета, Минск, 2019, голубого цвета

Авторы: Арефьева И. Г., Пирютко О. Н.

Тип: Учебник

Издательство: Народная асвета

Год издания: 2019 - 2025

Цвет обложки: голубой с графиком

Допущено Министерством образования Республики Беларусь

Популярные ГДЗ в 10 классе

Глава 3. Производная. Параграф 20. Геометрический смысл производной. Связь между знаком производной функции и ее возрастанием или убыванием - номер 3.121, страница 256.

№3.121 (с. 256)
Условие. №3.121 (с. 256)
скриншот условия
Алгебра, 10 класс Учебник, авторы: Арефьева Ирина Глебовна, Пирютко Ольга Николаевна, издательство Народная асвета, Минск, 2019, голубого цвета, страница 256, номер 3.121, Условие

3.121. Найдите промежутки монотонности и точки экстремума функции:

а) $f(x) = x^3 - 3x;$

б) $f(x) = 2x^3 - 6x^2 - 18x + 5.$

Решение. №3.121 (с. 256)
Алгебра, 10 класс Учебник, авторы: Арефьева Ирина Глебовна, Пирютко Ольга Николаевна, издательство Народная асвета, Минск, 2019, голубого цвета, страница 256, номер 3.121, Решение Алгебра, 10 класс Учебник, авторы: Арефьева Ирина Глебовна, Пирютко Ольга Николаевна, издательство Народная асвета, Минск, 2019, голубого цвета, страница 256, номер 3.121, Решение (продолжение 2)
Решение 2. №3.121 (с. 256)

Для нахождения промежутков монотонности и точек экстремума функции необходимо выполнить следующие шаги:

  1. Найти производную функции $f'(x)$.
  2. Найти критические точки, решив уравнение $f'(x) = 0$.
  3. Определить знаки производной на интервалах, на которые критические точки разбивают область определения функции.
  4. Сделать выводы о монотонности функции: где $f'(x) > 0$ — функция возрастает, где $f'(x) < 0$ — функция убывает.
  5. Определить точки экстремума: если в критической точке производная меняет знак с «+» на «−», это точка максимума; если с «−» на «+» — точка минимума.
а) $f(x) = x^3 - 3x$

1. Находим производную функции:
$f'(x) = (x^3 - 3x)' = 3x^2 - 3$.

2. Находим критические точки, приравнивая производную к нулю:
$3x^2 - 3 = 0$
$3(x^2 - 1) = 0$
$x^2 = 1$
Критические точки: $x_1 = -1$, $x_2 = 1$.

3. Эти точки делят числовую ось на три интервала: $(-\infty, -1)$, $(-1, 1)$ и $(1, +\infty)$. Определим знак производной в каждом интервале.

  • Для интервала $(-\infty, -1)$, возьмем $x = -2$: $f'(-2) = 3(-2)^2 - 3 = 12 - 3 = 9 > 0$. Функция возрастает.
  • Для интервала $(-1, 1)$, возьмем $x = 0$: $f'(0) = 3(0)^2 - 3 = -3 < 0$. Функция убывает.
  • Для интервала $(1, +\infty)$, возьмем $x = 2$: $f'(2) = 3(2)^2 - 3 = 12 - 3 = 9 > 0$. Функция возрастает.

4. Таким образом, промежутки монотонности:

  • Функция возрастает на $(-\infty, -1]$ и $[1, +\infty)$.
  • Функция убывает на $[-1, 1]$.

5. Определяем точки экстремума:

  • В точке $x = -1$ знак производной меняется с «+» на «−», следовательно, это точка максимума: $x_{max} = -1$.
  • В точке $x = 1$ знак производной меняется с «−» на «+», следовательно, это точка минимума: $x_{min} = 1$.
Ответ: функция возрастает на промежутках $(-\infty, -1]$ и $[1, +\infty)$, убывает на промежутке $[-1, 1]$; точка максимума $x_{max} = -1$, точка минимума $x_{min} = 1$.
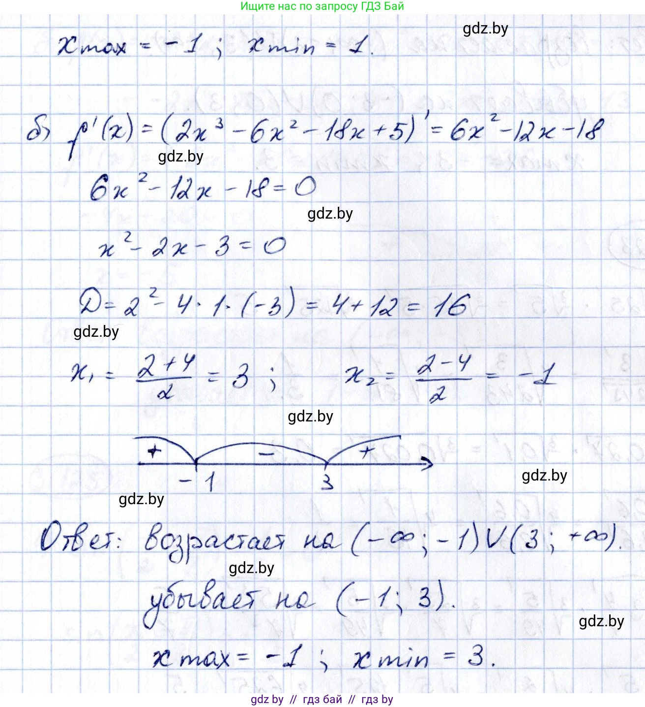
б) $f(x) = 2x^3 - 6x^2 - 18x + 5$

1. Находим производную функции:
$f'(x) = (2x^3 - 6x^2 - 18x + 5)' = 6x^2 - 12x - 18$.

2. Находим критические точки, приравнивая производную к нулю:
$6x^2 - 12x - 18 = 0$
Делим все уравнение на 6 для упрощения:
$x^2 - 2x - 3 = 0$
Используя теорему Виета (сумма корней равна 2, произведение равно -3), находим корни:
Критические точки: $x_1 = -1$, $x_2 = 3$.

3. Эти точки делят числовую ось на три интервала: $(-\infty, -1)$, $(-1, 3)$ и $(3, +\infty)$. Определим знак производной $f'(x) = 6(x+1)(x-3)$ в каждом интервале.

  • Для интервала $(-\infty, -1)$, возьмем $x = -2$: $f'(-2) = 6(-2+1)(-2-3) = 6(-1)(-5) = 30 > 0$. Функция возрастает.
  • Для интервала $(-1, 3)$, возьмем $x = 0$: $f'(0) = 6(0+1)(0-3) = 6(1)(-3) = -18 < 0$. Функция убывает.
  • Для интервала $(3, +\infty)$, возьмем $x = 4$: $f'(4) = 6(4+1)(4-3) = 6(5)(1) = 30 > 0$. Функция возрастает.

4. Таким образом, промежутки монотонности:

  • Функция возрастает на $(-\infty, -1]$ и $[3, +\infty)$.
  • Функция убывает на $[-1, 3]$.

5. Определяем точки экстремума:

  • В точке $x = -1$ знак производной меняется с «+» на «−», следовательно, это точка максимума: $x_{max} = -1$.
  • В точке $x = 3$ знак производной меняется с «−» на «+», следовательно, это точка минимума: $x_{min} = 3$.
Ответ: функция возрастает на промежутках $(-\infty, -1]$ и $[3, +\infty)$, убывает на промежутке $[-1, 3]$; точка максимума $x_{max} = -1$, точка минимума $x_{min} = 3$.

Помогло решение? Оставьте отзыв в комментариях ниже.

Присоединяйтесь к Телеграм-группе @gdz_by_belarus

Присоединиться

Мы подготовили для вас ответ c подробным объяснением домашего задания по алгебре за 10 класс, для упражнения номер 3.121 расположенного на странице 256 к учебнику 2019 года издания для учащихся школ и гимназий.

Теперь на нашем сайте ГДЗ.ТОП вы всегда легко и бесплатно найдёте условие с правильным ответом на вопрос «Как решить ДЗ» и «Как сделать» задание по алгебре к упражнению №3.121 (с. 256), авторов: Арефьева (Ирина Глебовна), Пирютко (Ольга Николаевна), учебного пособия издательства Народная асвета.