Номер 13, страница 9 - гдз по алгебре 11 класс сборник задач Арефьева, Пирютко

Алгебра, 11 класс Сборник задач, авторы: Арефьева Ирина Глебовна, Пирютко Ольга Николаевна, издательство Народная асвета, Минск, 2020, белого цвета

Авторы: Арефьева И. Г., Пирютко О. Н.

Тип: Сборник задач

Издательство: Народная асвета

Год издания: 2020 - 2025

Уровень обучения: базовый и повышенный

Цвет обложки: белый с графиком

Допущено Министерством образования Республики Беларусь

Популярные ГДЗ в 11 классе

Глава 1. Обобщение понятия степени. Параграф 1. Степень с рациональным показателем. Степень с действительным показателем - номер 13, страница 9.

№13 (с. 9)
Условие. №13 (с. 9)
скриншот условия
Алгебра, 11 класс Сборник задач, авторы: Арефьева Ирина Глебовна, Пирютко Ольга Николаевна, издательство Народная асвета, Минск, 2020, белого цвета, страница 9, номер 13, Условие

1.13. Найдите значение выражения

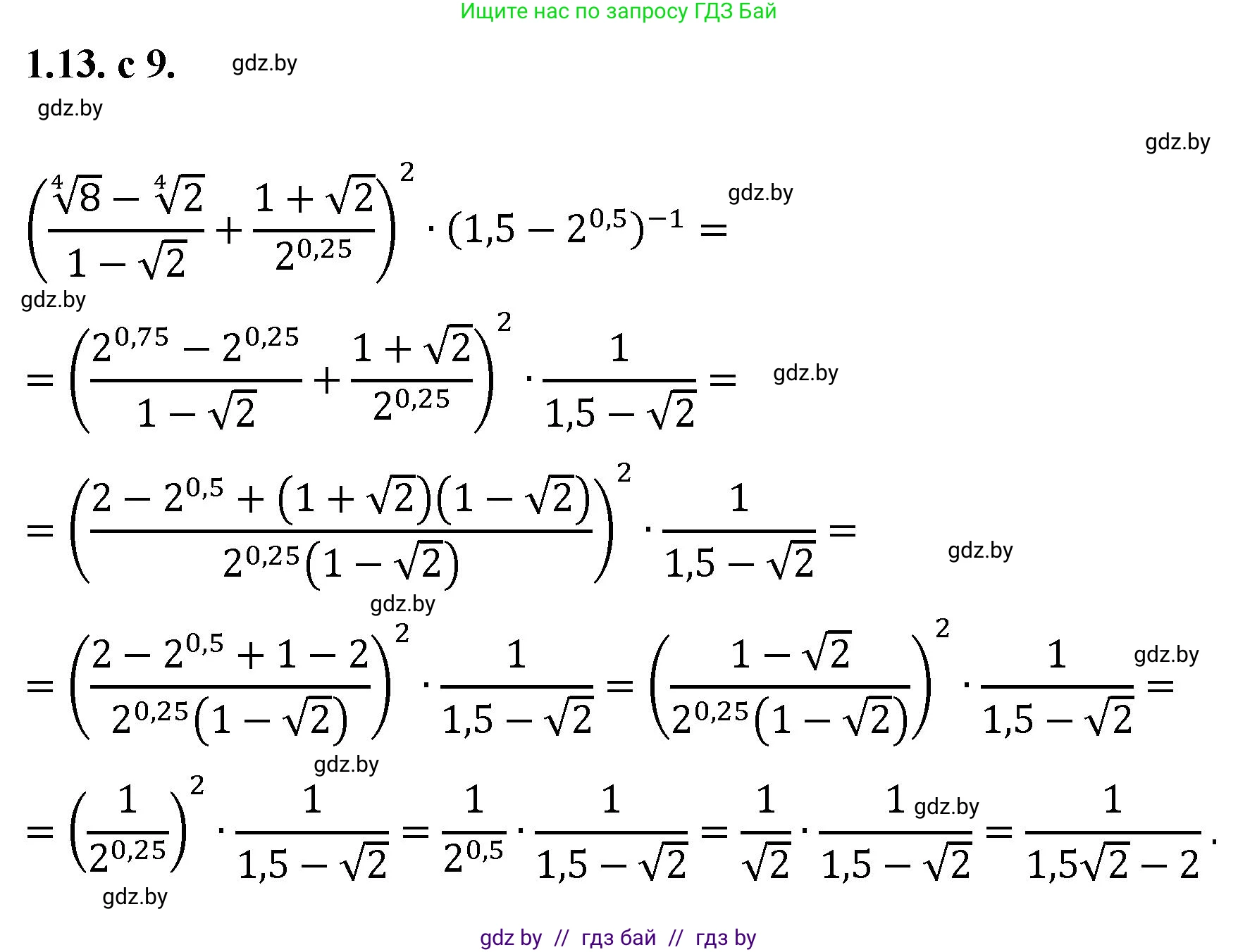
$\left(\frac{\sqrt[4]{8} - \sqrt[4]{2}}{1 - \sqrt{2}} + \frac{1 + \sqrt{2}}{2^{0,25}}\right)^2 \cdot (1,5 - 2^{0,5})^{-1}$.

Решение. №13 (с. 9)
Алгебра, 11 класс Сборник задач, авторы: Арефьева Ирина Глебовна, Пирютко Ольга Николаевна, издательство Народная асвета, Минск, 2020, белого цвета, страница 9, номер 13, Решение
Решение 2. №13 (с. 9)

Для нахождения значения выражения выполним вычисления по шагам.

  1. Упростим выражение в больших скобках.

    Сначала преобразуем первое слагаемое. Для этого представим корни в виде степеней: $ \sqrt[4]{8} = 2^{3/4} $, $ \sqrt[4]{2} = 2^{1/4} $ и $ \sqrt{2} = 2^{1/2} $.

    $$ \frac{\sqrt[4]{8} - \sqrt[4]{2}}{1 - \sqrt{2}} = \frac{2^{3/4} - 2^{1/4}}{1 - 2^{1/2}} $$

    Вынесем общий множитель $2^{1/4}$ в числителе:

    $$ \frac{2^{1/4}(2^{2/4} - 1)}{1 - 2^{1/2}} = \frac{2^{1/4}(2^{1/2} - 1)}{-(2^{1/2} - 1)} = -2^{1/4} = -\sqrt[4]{2} $$

    Теперь преобразуем второе слагаемое. Учтем, что $2^{0,25} = 2^{1/4} = \sqrt[4]{2}$.

    $$ \frac{1 + \sqrt{2}}{2^{0,25}} = \frac{1 + \sqrt{2}}{\sqrt[4]{2}} $$

    Теперь сложим оба упрощенных слагаемых:

    $$ -\sqrt[4]{2} + \frac{1 + \sqrt{2}}{\sqrt[4]{2}} = \frac{-(\sqrt[4]{2}) \cdot (\sqrt[4]{2}) + 1 + \sqrt{2}}{\sqrt[4]{2}} = \frac{-\sqrt{2} + 1 + \sqrt{2}}{\sqrt[4]{2}} = \frac{1}{\sqrt[4]{2}} $$
  2. Возведем полученный результат в квадрат. $$ \left(\frac{1}{\sqrt[4]{2}}\right)^2 = \frac{1}{(\sqrt[4]{2})^2} = \frac{1}{2^{1/4 \cdot 2}} = \frac{1}{2^{1/2}} = \frac{1}{\sqrt{2}} $$
  3. Упростим второй множитель исходного выражения. $$ (1,5 - 2^{0,5})^{-1} = \left(\frac{3}{2} - \sqrt{2}\right)^{-1} = \frac{1}{\frac{3}{2} - \sqrt{2}} = \frac{1}{\frac{3 - 2\sqrt{2}}{2}} = \frac{2}{3 - 2\sqrt{2}} $$

    Чтобы избавиться от иррациональности в знаменателе, умножим числитель и знаменатель на сопряженное выражение $(3 + 2\sqrt{2})$:

    $$ \frac{2(3 + 2\sqrt{2})}{(3 - 2\sqrt{2})(3 + 2\sqrt{2})} = \frac{2(3 + 2\sqrt{2})}{3^2 - (2\sqrt{2})^2} = \frac{2(3 + 2\sqrt{2})}{9 - 8} = 2(3 + 2\sqrt{2}) = 6 + 4\sqrt{2} $$
  4. Перемножим результаты шагов 2 и 3. $$ \frac{1}{\sqrt{2}} \cdot (6 + 4\sqrt{2}) = \frac{6}{\sqrt{2}} + \frac{4\sqrt{2}}{\sqrt{2}} = \frac{6\sqrt{2}}{2} + 4 = 3\sqrt{2} + 4 $$

В результате точное значение выражения равно $3\sqrt{2} + 4$.

Задачи такого типа из сборников часто предполагают в ответе целое число. Это может указывать на опечатку в условии или на то, что требуется найти целую часть полученного значения. Вычислим приближенное значение выражения, зная, что $ \sqrt{2} \approx 1,414 $:

$ 3\sqrt{2} + 4 \approx 3 \cdot 1,414 + 4 = 4,242 + 4 = 8,242 $.

Целая часть этого числа равна 8.

Ответ: 8

Помогло решение? Оставьте отзыв в комментариях ниже.

Присоединяйтесь к Телеграм-группе @gdz_by_belarus

Присоединиться

Мы подготовили для вас ответ c подробным объяснением домашего задания по алгебре за 11 класс, для упражнения номер 13 расположенного на странице 9 к сборнику задач 2020 года издания для учащихся школ и гимназий.

Теперь на нашем сайте ГДЗ.ТОП вы всегда легко и бесплатно найдёте условие с правильным ответом на вопрос «Как решить ДЗ» и «Как сделать» задание по алгебре к упражнению №13 (с. 9), авторов: Арефьева (Ирина Глебовна), Пирютко (Ольга Николаевна), базовый и повышенный уровень обучения учебного пособия издательства Народная асвета.