Номер 35, страница 94 - гдз по алгебре 11 класс сборник задач Арефьева, Пирютко

Алгебра, 11 класс Сборник задач, авторы: Арефьева Ирина Глебовна, Пирютко Ольга Николаевна, издательство Народная асвета, Минск, 2020, белого цвета

Авторы: Арефьева И. Г., Пирютко О. Н.

Тип: Сборник задач

Издательство: Народная асвета

Год издания: 2020 - 2025

Уровень обучения: базовый и повышенный

Цвет обложки: белый с графиком

Допущено Министерством образования Республики Беларусь

Популярные ГДЗ в 11 классе

Глава 3. Логарифмическая функция. Параграф 10. Логарифмические неравенства - номер 35, страница 94.

№35 (с. 94)
Условие. №35 (с. 94)
скриншот условия
Алгебра, 11 класс Сборник задач, авторы: Арефьева Ирина Глебовна, Пирютко Ольга Николаевна, издательство Народная асвета, Минск, 2020, белого цвета, страница 94, номер 35, Условие

10.35. Решите двумя способами неравенство $log_{x+3} \frac{x-1}{x+1} \leq log_{x+3} 2$.

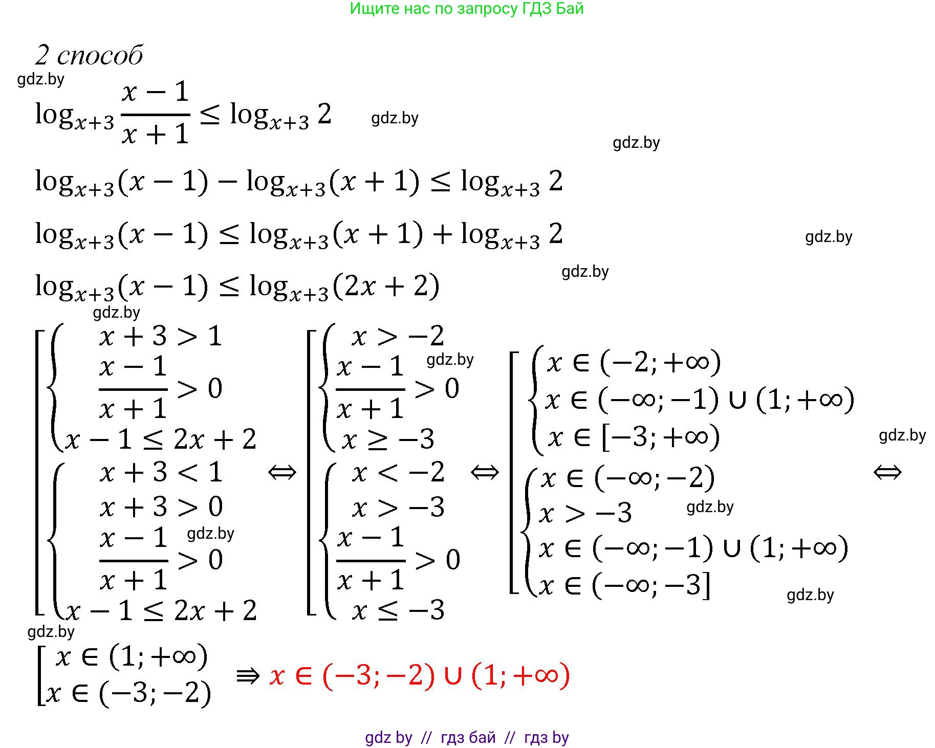
Решение. №35 (с. 94)
Алгебра, 11 класс Сборник задач, авторы: Арефьева Ирина Глебовна, Пирютко Ольга Николаевна, издательство Народная асвета, Минск, 2020, белого цвета, страница 94, номер 35, Решение Алгебра, 11 класс Сборник задач, авторы: Арефьева Ирина Глебовна, Пирютко Ольга Николаевна, издательство Народная асвета, Минск, 2020, белого цвета, страница 94, номер 35, Решение (продолжение 2) Алгебра, 11 класс Сборник задач, авторы: Арефьева Ирина Глебовна, Пирютко Ольга Николаевна, издательство Народная асвета, Минск, 2020, белого цвета, страница 94, номер 35, Решение (продолжение 3)
Решение 2. №35 (с. 94)

Для решения неравенства $\log_{x+3} \frac{x-1}{x+1} \le \log_{x+3} 2$ сначала найдем его область допустимых значений (ОДЗ).

ОДЗ определяется системой условий:

$ \begin{cases} x+3 > 0 \\ x+3 \neq 1 \\ \frac{x-1}{x+1} > 0 \end{cases} $

Решим каждое неравенство системы:

  1. $x+3 > 0 \implies x > -3$
  2. $x+3 \neq 1 \implies x \neq -2$
  3. $\frac{x-1}{x+1} > 0$. Решая методом интервалов, получаем $x \in (-\infty, -1) \cup (1, +\infty)$.

Пересекая все условия, получаем ОДЗ: $x \in (-3, -2) \cup (-2, -1) \cup (1, +\infty)$.

Теперь решим неравенство двумя способами.

Способ 1

Рассмотрим два случая в зависимости от значения основания логарифма $x+3$.

Случай 1: Основание больше 1.

$x+3 > 1 \implies x > -2$.

В этом случае логарифмическая функция возрастает, и при переходе к аргументам знак неравенства сохраняется:

$\frac{x-1}{x+1} \le 2$

$\frac{x-1}{x+1} - 2 \le 0$

$\frac{x-1 - 2(x+1)}{x+1} \le 0$

$\frac{-x-3}{x+1} \le 0$

$\frac{x+3}{x+1} \ge 0$

Решением этого неравенства является множество $x \in (-\infty, -3] \cup (-1, +\infty)$.

Теперь найдем пересечение этого решения с условием $x > -2$ и ОДЗ. Условие $x > -2$ с учетом ОДЗ дает $x \in (-2, -1) \cup (1, +\infty)$.

Пересечение множеств $(-\infty, -3] \cup (-1, +\infty)$ и $(-2, -1) \cup (1, +\infty)$ дает $x \in (1, +\infty)$.

Случай 2: Основание находится в интервале от 0 до 1.

$0 < x+3 < 1 \implies -3 < x < -2$.

В этом случае логарифмическая функция убывает, и знак неравенства меняется на противоположный:

$\frac{x-1}{x+1} \ge 2$

$\frac{x-1}{x+1} - 2 \ge 0$

$\frac{-x-3}{x+1} \ge 0$

$\frac{x+3}{x+1} \le 0$

Решением этого неравенства является множество $x \in [-3, -1)$.

Найдем пересечение этого решения с условием случая $-3 < x < -2$.

Пересечение множеств $[-3, -1)$ и $(-3, -2)$ дает $x \in (-3, -2)$.

Объединяя решения из обоих случаев, получаем окончательный результат.

Ответ: $x \in (-3, -2) \cup (1, +\infty)$.


Способ 2

Используем метод рационализации. Перенесем все члены в левую часть:

$\log_{x+3} \frac{x-1}{x+1} - \log_{x+3} 2 \le 0$

На ОДЗ данное неравенство равносильно следующему:

$((x+3) - 1) \left(\frac{x-1}{x+1} - 2\right) \le 0$

Упростим полученное выражение:

$(x+2)\left(\frac{x-1 - 2(x+1)}{x+1}\right) \le 0$

$(x+2)\left(\frac{-x-3}{x+1}\right) \le 0$

$\frac{(x+2)(-x-3)}{x+1} \le 0$

Умножим неравенство на -1, изменив знак на противоположный:

$\frac{(x+2)(x+3)}{x+1} \ge 0$

Решим это неравенство методом интервалов. Корни (нули числителя и знаменателя): $x=-3, x=-2, x=-1$.

Анализируя знаки на интервалах, получаем решение: $x \in [-3, -2] \cup (-1, +\infty)$.

Теперь необходимо пересечь полученное решение с ОДЗ: $x \in (-3, -2) \cup (-2, -1) \cup (1, +\infty)$.

Пересечение множеств $[-3, -2] \cup (-1, +\infty)$ и $(-3, -2) \cup (-2, -1) \cup (1, +\infty)$ дает итоговый результат.

Ответ: $x \in (-3, -2) \cup (1, +\infty)$.

Помогло решение? Оставьте отзыв в комментариях ниже.

Присоединяйтесь к Телеграм-группе @gdz_by_belarus

Присоединиться

Мы подготовили для вас ответ c подробным объяснением домашего задания по алгебре за 11 класс, для упражнения номер 35 расположенного на странице 94 к сборнику задач 2020 года издания для учащихся школ и гимназий.

Теперь на нашем сайте ГДЗ.ТОП вы всегда легко и бесплатно найдёте условие с правильным ответом на вопрос «Как решить ДЗ» и «Как сделать» задание по алгебре к упражнению №35 (с. 94), авторов: Арефьева (Ирина Глебовна), Пирютко (Ольга Николаевна), базовый и повышенный уровень обучения учебного пособия издательства Народная асвета.