Номер 31, страница 94 - гдз по алгебре 11 класс сборник задач Арефьева, Пирютко

Алгебра, 11 класс Сборник задач, авторы: Арефьева Ирина Глебовна, Пирютко Ольга Николаевна, издательство Народная асвета, Минск, 2020, белого цвета

Авторы: Арефьева И. Г., Пирютко О. Н.

Тип: Сборник задач

Издательство: Народная асвета

Год издания: 2020 - 2025

Уровень обучения: базовый и повышенный

Цвет обложки: белый с графиком

Допущено Министерством образования Республики Беларусь

Популярные ГДЗ в 11 классе

Глава 3. Логарифмическая функция. Параграф 10. Логарифмические неравенства - номер 31, страница 94.

№31 (с. 94)
Условие. №31 (с. 94)
скриншот условия
Алгебра, 11 класс Сборник задач, авторы: Арефьева Ирина Глебовна, Пирютко Ольга Николаевна, издательство Народная асвета, Минск, 2020, белого цвета, страница 94, номер 31, Условие

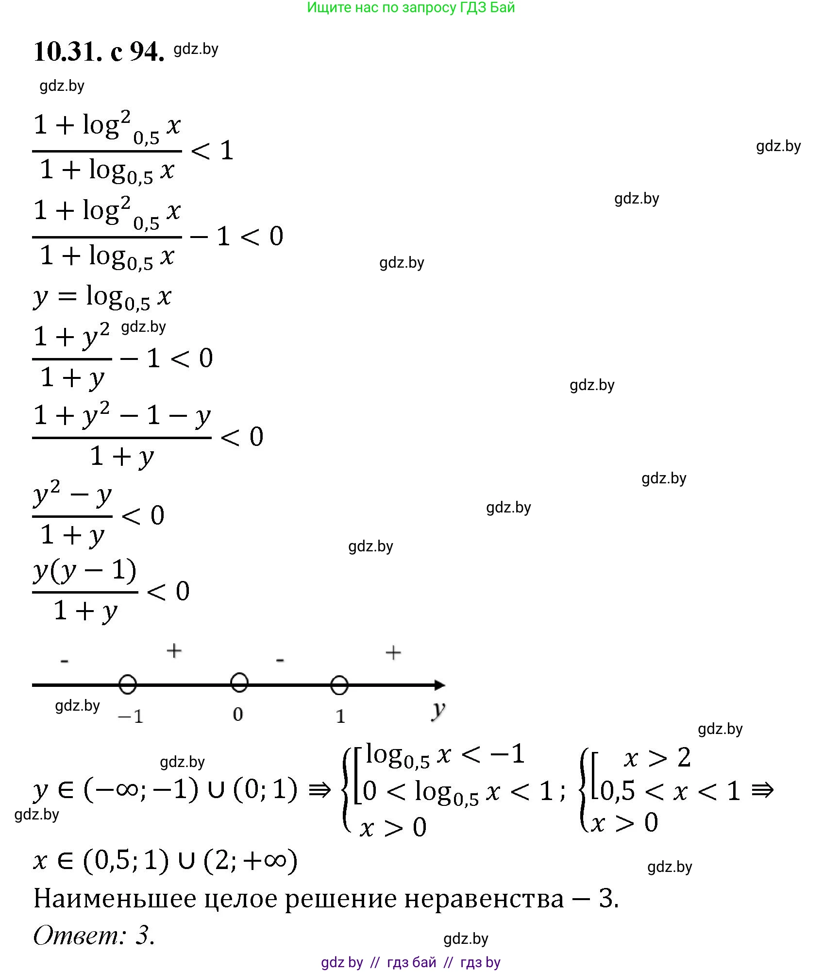
10.31. Найдите наименьшее целое решение неравенства $\frac{1 + \log_{0,5}^2 x}{1 + \log_{0,5} x} < 1$.

Решение. №31 (с. 94)
Алгебра, 11 класс Сборник задач, авторы: Арефьева Ирина Глебовна, Пирютко Ольга Николаевна, издательство Народная асвета, Минск, 2020, белого цвета, страница 94, номер 31, Решение
Решение 2. №31 (с. 94)

Для решения данного логарифмического неравенства выполним следующие шаги.

1. Определение Области Допустимых Значений (ОДЗ).

Логарифмическая функция $\log_a b$ определена при $b > 0$. Также знаменатель дроби не может быть равен нулю.

  • Аргумент логарифма должен быть положительным: $x > 0$.
  • Знаменатель не равен нулю: $1 + \log_{0.5} x \neq 0$.
    $\log_{0.5} x \neq -1$
    $x \neq (0.5)^{-1}$
    $x \neq 2$

Таким образом, ОДЗ: $x \in (0, 2) \cup (2, +\infty)$.

2. Введение замены переменной.

Чтобы упростить неравенство, введем замену: пусть $t = \log_{0.5} x$.

Неравенство принимает вид:

$\frac{1 + t^2}{1 + t} < 1$

3. Решение рационального неравенства относительно $t$.

Перенесем 1 в левую часть и приведем выражение к общему знаменателю:

$\frac{1 + t^2}{1 + t} - 1 < 0$

$\frac{1 + t^2 - (1 + t)}{1 + t} < 0$

$\frac{1 + t^2 - 1 - t}{1 + t} < 0$

$\frac{t^2 - t}{1 + t} < 0$

Разложим числитель на множители:

$\frac{t(t - 1)}{t + 1} < 0$

Решим это неравенство методом интервалов. Найдем точки, в которых числитель или знаменатель обращаются в ноль: $t = 0$, $t = 1$, $t = -1$.

Нанесем эти точки на числовую ось и определим знак выражения в каждом из полученных интервалов:

  • При $t > 1$: $\frac{(+)(+)}{(+)} > 0$
  • При $0 < t < 1$: $\frac{(+)(-)}{(+)} < 0$
  • При $-1 < t < 0$: $\frac{(-)(-)}{(+)} > 0$
  • При $t < -1$: $\frac{(-)(-)}{(-)} < 0$

Нам нужны интервалы, где выражение меньше нуля. Следовательно, решение для $t$:

$t < -1$ или $0 < t < 1$.

4. Обратная замена.

Теперь вернемся к переменной $x$, решив две системы неравенств.

Случай 1: $t < -1$

$\log_{0.5} x < -1$

Так как основание логарифма $0.5 < 1$, знак неравенства при потенцировании меняется на противоположный:

$x > (0.5)^{-1} \implies x > 2$

Случай 2: $0 < t < 1$

$0 < \log_{0.5} x < 1$

Рассмотрим двойное неравенство как систему:

$\begin{cases} \log_{0.5} x < 1 \\ \log_{0.5} x > 0 \end{cases}$

Решаем оба неравенства, не забывая менять их знаки:

$\begin{cases} x > (0.5)^1 \\ x < (0.5)^0 \end{cases} \implies \begin{cases} x > 0.5 \\ x < 1 \end{cases}$

Решение для этого случая: $0.5 < x < 1$.

5. Получение окончательного ответа.

Объединим решения из обоих случаев:

$x \in (0.5, 1) \cup (2, +\infty)$

Это множество является решением исходного неравенства и полностью входит в ОДЗ.

Задача требует найти наименьшее целое решение. В интервале $(0.5, 1)$ целых чисел нет. В интервале $(2, +\infty)$ наименьшим целым числом является 3.

Найдите наименьшее целое решение неравенства: Ответ: 3

Помогло решение? Оставьте отзыв в комментариях ниже.

Присоединяйтесь к Телеграм-группе @gdz_by_belarus

Присоединиться

Мы подготовили для вас ответ c подробным объяснением домашего задания по алгебре за 11 класс, для упражнения номер 31 расположенного на странице 94 к сборнику задач 2020 года издания для учащихся школ и гимназий.

Теперь на нашем сайте ГДЗ.ТОП вы всегда легко и бесплатно найдёте условие с правильным ответом на вопрос «Как решить ДЗ» и «Как сделать» задание по алгебре к упражнению №31 (с. 94), авторов: Арефьева (Ирина Глебовна), Пирютко (Ольга Николаевна), базовый и повышенный уровень обучения учебного пособия издательства Народная асвета.