Номер 28, страница 94 - гдз по алгебре 11 класс сборник задач Арефьева, Пирютко

Алгебра, 11 класс Сборник задач, авторы: Арефьева Ирина Глебовна, Пирютко Ольга Николаевна, издательство Народная асвета, Минск, 2020, белого цвета

Авторы: Арефьева И. Г., Пирютко О. Н.

Тип: Сборник задач

Издательство: Народная асвета

Год издания: 2020 - 2025

Уровень обучения: базовый и повышенный

Цвет обложки: белый с графиком

Допущено Министерством образования Республики Беларусь

Популярные ГДЗ в 11 классе

Глава 3. Логарифмическая функция. Параграф 10. Логарифмические неравенства - номер 28, страница 94.

№28 (с. 94)
Условие. №28 (с. 94)
скриншот условия
Алгебра, 11 класс Сборник задач, авторы: Арефьева Ирина Глебовна, Пирютко Ольга Николаевна, издательство Народная асвета, Минск, 2020, белого цвета, страница 94, номер 28, Условие

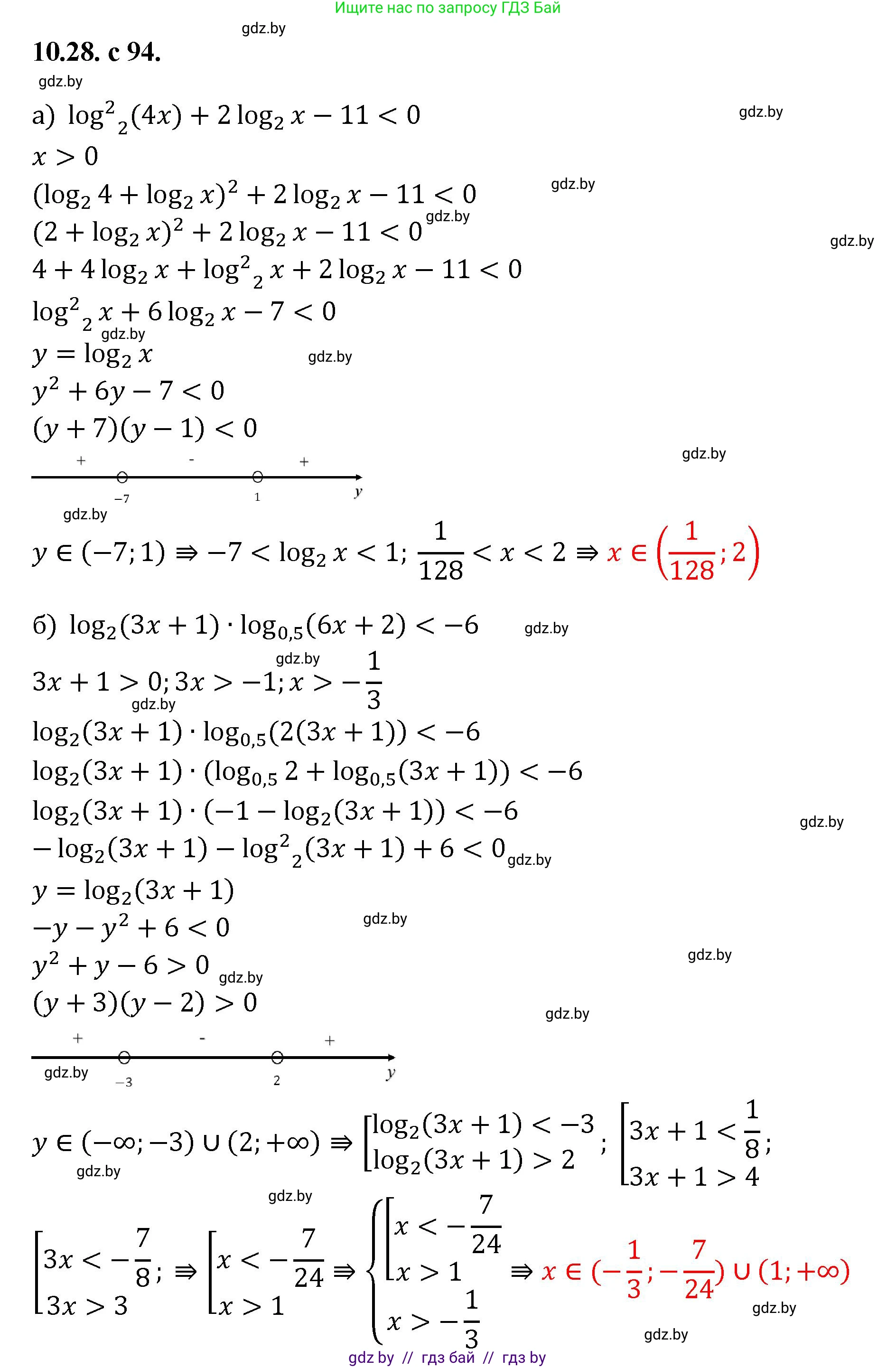
10.28. Воспользуйтесь методом замены переменной и решите неравенство:

а) $\log^2_2(4x) + 2\log_2 x - 11 < 0;$

б) $\log_2 (3x + 1) \cdot \log_{0,5} (6x + 2) < -6;$

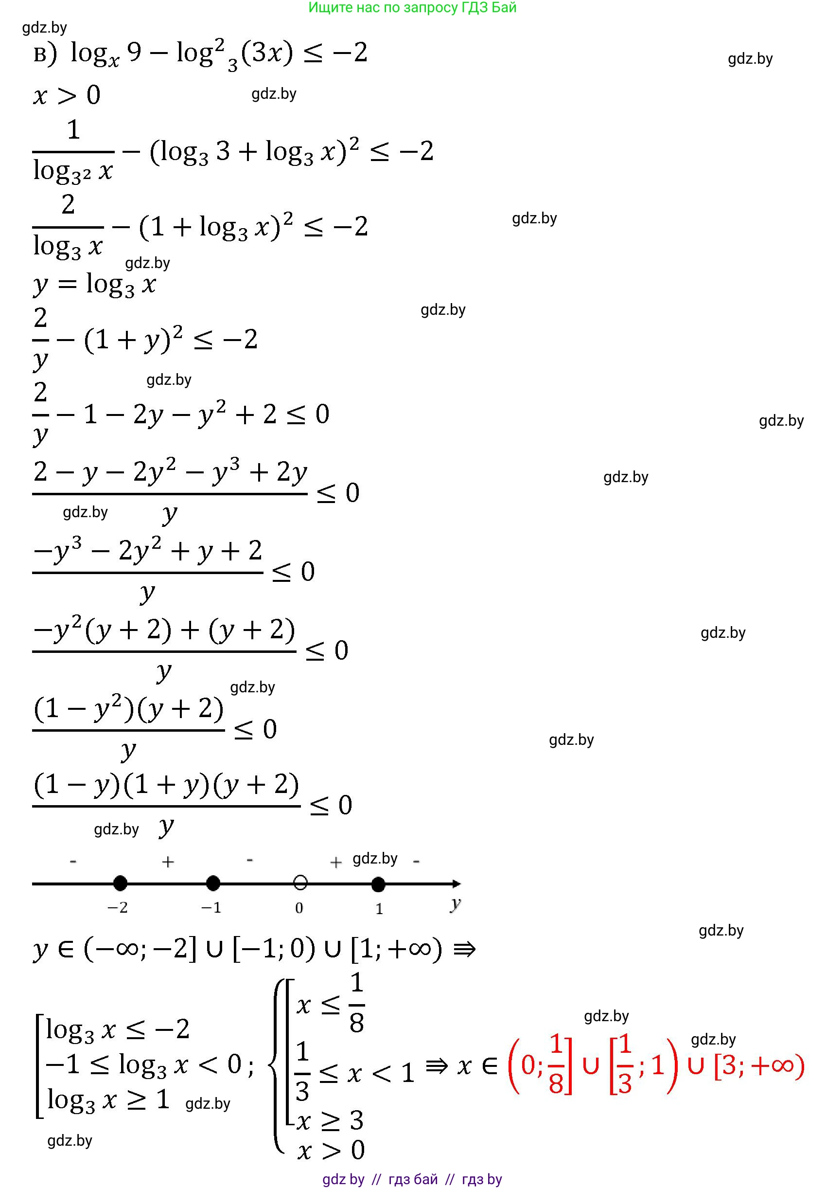
в) $\log_x 9 - \log^2_3(3x) \le -2;$

г) $\log_x 10 + \frac{1}{1 - \lg x} > 1.$

Решение. №28 (с. 94)
Алгебра, 11 класс Сборник задач, авторы: Арефьева Ирина Глебовна, Пирютко Ольга Николаевна, издательство Народная асвета, Минск, 2020, белого цвета, страница 94, номер 28, Решение Алгебра, 11 класс Сборник задач, авторы: Арефьева Ирина Глебовна, Пирютко Ольга Николаевна, издательство Народная асвета, Минск, 2020, белого цвета, страница 94, номер 28, Решение (продолжение 2) Алгебра, 11 класс Сборник задач, авторы: Арефьева Ирина Глебовна, Пирютко Ольга Николаевна, издательство Народная асвета, Минск, 2020, белого цвета, страница 94, номер 28, Решение (продолжение 3)
Решение 2. №28 (с. 94)

a) Исходное неравенство: $\log_2^2(4x) + 2\log_2 x - 11 < 0$.

1. Найдем область допустимых значений (ОДЗ). Аргументы логарифмов должны быть положительными:

  • $4x > 0 \Rightarrow x > 0$
  • $x > 0$

Таким образом, ОДЗ: $x > 0$.

2. Преобразуем неравенство, используя свойство логарифма произведения $\log_a(bc) = \log_a b + \log_a c$:

$\log_2(4x) = \log_2 4 + \log_2 x = 2 + \log_2 x$

Подставим это выражение в исходное неравенство:

$(\log_2 4 + \log_2 x)^2 + 2\log_2 x - 11 < 0$

$(2 + \log_2 x)^2 + 2\log_2 x - 11 < 0$

3. Введем замену переменной. Пусть $t = \log_2 x$. Неравенство примет вид:

$(2 + t)^2 + 2t - 11 < 0$

4. Решим полученное квадратное неравенство относительно $t$:

$4 + 4t + t^2 + 2t - 11 < 0$

$t^2 + 6t - 7 < 0$

Найдем корни соответствующего уравнения $t^2 + 6t - 7 = 0$. По теореме Виета, корни $t_1 = -7$ и $t_2 = 1$.

Так как парабола $y = t^2 + 6t - 7$ ветвями вверх, неравенство выполняется между корнями:

$-7 < t < 1$

5. Выполним обратную замену:

$-7 < \log_2 x < 1$

Это двойное неравенство равносильно системе:

$\begin{cases} \log_2 x > -7 \\ \log_2 x < 1 \end{cases} \Rightarrow \begin{cases} x > 2^{-7} \\ x < 2^1 \end{cases} \Rightarrow \begin{cases} x > \frac{1}{128} \\ x < 2 \end{cases}$

Решением является интервал $\frac{1}{128} < x < 2$.

6. Сравним полученное решение с ОДЗ ($x > 0$). Интервал $(\frac{1}{128}, 2)$ полностью входит в ОДЗ.

Ответ: $(\frac{1}{128}, 2)$.

б) Исходное неравенство: $\log_2(3x + 1) \cdot \log_{0.5}(6x + 2) < -6$.

1. ОДЗ:

  • $3x + 1 > 0 \Rightarrow 3x > -1 \Rightarrow x > -\frac{1}{3}$
  • $6x + 2 > 0 \Rightarrow 6x > -2 \Rightarrow x > -\frac{1}{3}$

ОДЗ: $x > -\frac{1}{3}$.

2. Преобразуем логарифмы к одному основанию 2:

$\log_{0.5}(6x+2) = \log_{2^{-1}}(2(3x+1)) = -\log_2(2(3x+1)) = -(\log_2 2 + \log_2(3x+1)) = -(1 + \log_2(3x+1))$

Подставим в неравенство:

$\log_2(3x+1) \cdot (-(1 + \log_2(3x+1))) < -6$

Умножим обе части на -1, изменив знак неравенства:

$\log_2(3x+1) \cdot (1 + \log_2(3x+1)) > 6$

3. Введем замену: $t = \log_2(3x+1)$.

$t(1+t) > 6$

4. Решим неравенство для $t$:

$t^2 + t - 6 > 0$

Корни уравнения $t^2 + t - 6 = 0$: $t_1 = -3$, $t_2 = 2$.

Парабола $y = t^2 + t - 6$ ветвями вверх, поэтому неравенство выполняется вне интервала между корнями:

$t < -3$ или $t > 2$.

5. Выполним обратную замену:

Случай 1: $\log_2(3x+1) < -3$

$3x+1 < 2^{-3} \Rightarrow 3x+1 < \frac{1}{8} \Rightarrow 3x < -\frac{7}{8} \Rightarrow x < -\frac{7}{24}$

Случай 2: $\log_2(3x+1) > 2$

$3x+1 > 2^2 \Rightarrow 3x+1 > 4 \Rightarrow 3x > 3 \Rightarrow x > 1$

6. Учтем ОДЗ ($x > -\frac{1}{3}$). Так как $-\frac{1}{3} = -\frac{8}{24}$, то для первого случая получаем: $-\frac{1}{3} < x < -\frac{7}{24}$.

Для второго случая ($x > 1$), условие ОДЗ выполняется.

Объединяя решения, получаем окончательный ответ.

Ответ: $(-\frac{1}{3}, -\frac{7}{24}) \cup (1, +\infty)$.

в) Исходное неравенство: $\log_x 9 - \log_3^2(3x) \le -2$.

1. ОДЗ:

  • Аргумент логарифма: $3x > 0 \Rightarrow x > 0$.
  • Основание логарифма: $x > 0$ и $x \neq 1$.

ОДЗ: $x \in (0, 1) \cup (1, +\infty)$.

2. Приведем логарифмы к основанию 3:

$\log_x 9 = \frac{\log_3 9}{\log_3 x} = \frac{2}{\log_3 x}$

$\log_3(3x) = \log_3 3 + \log_3 x = 1 + \log_3 x$

Неравенство принимает вид:

$\frac{2}{\log_3 x} - (1 + \log_3 x)^2 \le -2$

3. Введем замену: $t = \log_3 x$. Так как $x \ne 1$, то $t \ne 0$.

$\frac{2}{t} - (1+t)^2 + 2 \le 0$

4. Решим неравенство для $t$:

$\frac{2}{t} - (1+2t+t^2) + 2 \le 0$

$\frac{2 + t(1-2t-t^2)}{t} \le 0 \Rightarrow \frac{2+t-2t^2-t^3}{t} \le 0$

Разложим числитель на множители: $-(t^3+2t^2-t-2) = -(t^2(t+2)-(t+2)) = -(t^2-1)(t+2) = -(t-1)(t+1)(t+2)$.

$\frac{-(t-1)(t+1)(t+2)}{t} \le 0$

Умножим на -1, изменив знак:

$\frac{(t-1)(t+1)(t+2)}{t} \ge 0$

Решим методом интервалов. Критические точки: $t=-2, t=-1, t=0, t=1$.

Решением является объединение промежутков: $(-\infty, -2] \cup [-1, 0) \cup [1, +\infty)$.

5. Выполним обратную замену:

  • $\log_3 x \le -2 \Rightarrow x \le 3^{-2} \Rightarrow x \le \frac{1}{9}$
  • $-1 \le \log_3 x < 0 \Rightarrow 3^{-1} \le x < 3^0 \Rightarrow \frac{1}{3} \le x < 1$
  • $\log_3 x \ge 1 \Rightarrow x \ge 3^1 \Rightarrow x \ge 3$

6. Совместим с ОДЗ $x \in (0, 1) \cup (1, +\infty)$:

  • Из $x \le \frac{1}{9}$ получаем $(0, \frac{1}{9}]$.
  • Интервал $[\frac{1}{3}, 1)$ полностью удовлетворяет ОДЗ.
  • Интервал $[3, +\infty)$ полностью удовлетворяет ОДЗ.

Ответ: $(0, \frac{1}{9}] \cup [\frac{1}{3}, 1) \cup [3, +\infty)$.

г) Исходное неравенство: $\log_x 10 + \frac{1}{1 - \lg x} > 1$.

1. ОДЗ:

  • Аргумент десятичного логарифма: $x > 0$.
  • Основание логарифма: $x > 0$ и $x \neq 1$.
  • Знаменатель дроби: $1 - \lg x \ne 0 \Rightarrow \lg x \ne 1 \Rightarrow x \ne 10$.

ОДЗ: $x \in (0, 1) \cup (1, 10) \cup (10, +\infty)$.

2. Приведем логарифмы к одному основанию 10 ($\lg x = \log_{10} x$):

$\log_x 10 = \frac{\lg 10}{\lg x} = \frac{1}{\lg x}$

Неравенство принимает вид:

$\frac{1}{\lg x} + \frac{1}{1 - \lg x} > 1$

3. Введем замену: $t = \lg x$. Из ОДЗ следует, что $t \ne 0$ и $t \ne 1$.

$\frac{1}{t} + \frac{1}{1-t} > 1$

4. Решим неравенство для $t$:

$\frac{1-t+t}{t(1-t)} - 1 > 0 \Rightarrow \frac{1}{t(1-t)} - \frac{t(1-t)}{t(1-t)} > 0$

$\frac{1 - t(1-t)}{t(1-t)} > 0 \Rightarrow \frac{1 - t + t^2}{t(1-t)} > 0$

Рассмотрим числитель $t^2 - t + 1$. Дискриминант $D = (-1)^2 - 4 \cdot 1 \cdot 1 = -3 < 0$. Так как старший коэффициент положителен, выражение $t^2 - t + 1$ всегда положительно.

Следовательно, знак дроби зависит только от знака знаменателя:

$t(1-t) > 0$

Корни $t=0, t=1$. Парабола $y = -t^2+t$ ветвями вниз, поэтому она положительна между корнями.

$0 < t < 1$

5. Выполним обратную замену:

$0 < \lg x < 1$

$10^0 < x < 10^1$

$1 < x < 10$

6. Полученный интервал $(1, 10)$ полностью удовлетворяет ОДЗ.

Ответ: $(1, 10)$.

Помогло решение? Оставьте отзыв в комментариях ниже.

Присоединяйтесь к Телеграм-группе @gdz_by_belarus

Присоединиться

Мы подготовили для вас ответ c подробным объяснением домашего задания по алгебре за 11 класс, для упражнения номер 28 расположенного на странице 94 к сборнику задач 2020 года издания для учащихся школ и гимназий.

Теперь на нашем сайте ГДЗ.ТОП вы всегда легко и бесплатно найдёте условие с правильным ответом на вопрос «Как решить ДЗ» и «Как сделать» задание по алгебре к упражнению №28 (с. 94), авторов: Арефьева (Ирина Глебовна), Пирютко (Ольга Николаевна), базовый и повышенный уровень обучения учебного пособия издательства Народная асвета.