Номер 21, страница 93 - гдз по алгебре 11 класс сборник задач Арефьева, Пирютко

Алгебра, 11 класс Сборник задач, авторы: Арефьева Ирина Глебовна, Пирютко Ольга Николаевна, издательство Народная асвета, Минск, 2020, белого цвета

Авторы: Арефьева И. Г., Пирютко О. Н.

Тип: Сборник задач

Издательство: Народная асвета

Год издания: 2020 - 2025

Уровень обучения: базовый и повышенный

Цвет обложки: белый с графиком

Допущено Министерством образования Республики Беларусь

Популярные ГДЗ в 11 классе

Глава 3. Логарифмическая функция. Параграф 10. Логарифмические неравенства - номер 21, страница 93.

№21 (с. 93)
Условие. №21 (с. 93)
скриншот условия
Алгебра, 11 класс Сборник задач, авторы: Арефьева Ирина Глебовна, Пирютко Ольга Николаевна, издательство Народная асвета, Минск, 2020, белого цвета, страница 93, номер 21, Условие

10.21. Решите неравенство:

a) $2\log_{\frac{1}{2}}(1-x) < \log_{\frac{1}{2}}(3x+1);$

б) $2\log_{4}(x+1) - \frac{1}{2}\log_{\frac{1}{\sqrt{2}}}(x-5) < 3;$

в) $\log_{9}(2x-1) \ge \log_{3}x;$

г) $1+\log_{\sqrt{3}}x > \log_{3}(6-7x).$

Решение. №21 (с. 93)
Алгебра, 11 класс Сборник задач, авторы: Арефьева Ирина Глебовна, Пирютко Ольга Николаевна, издательство Народная асвета, Минск, 2020, белого цвета, страница 93, номер 21, Решение Алгебра, 11 класс Сборник задач, авторы: Арефьева Ирина Глебовна, Пирютко Ольга Николаевна, издательство Народная асвета, Минск, 2020, белого цвета, страница 93, номер 21, Решение (продолжение 2)
Решение 2. №21 (с. 93)

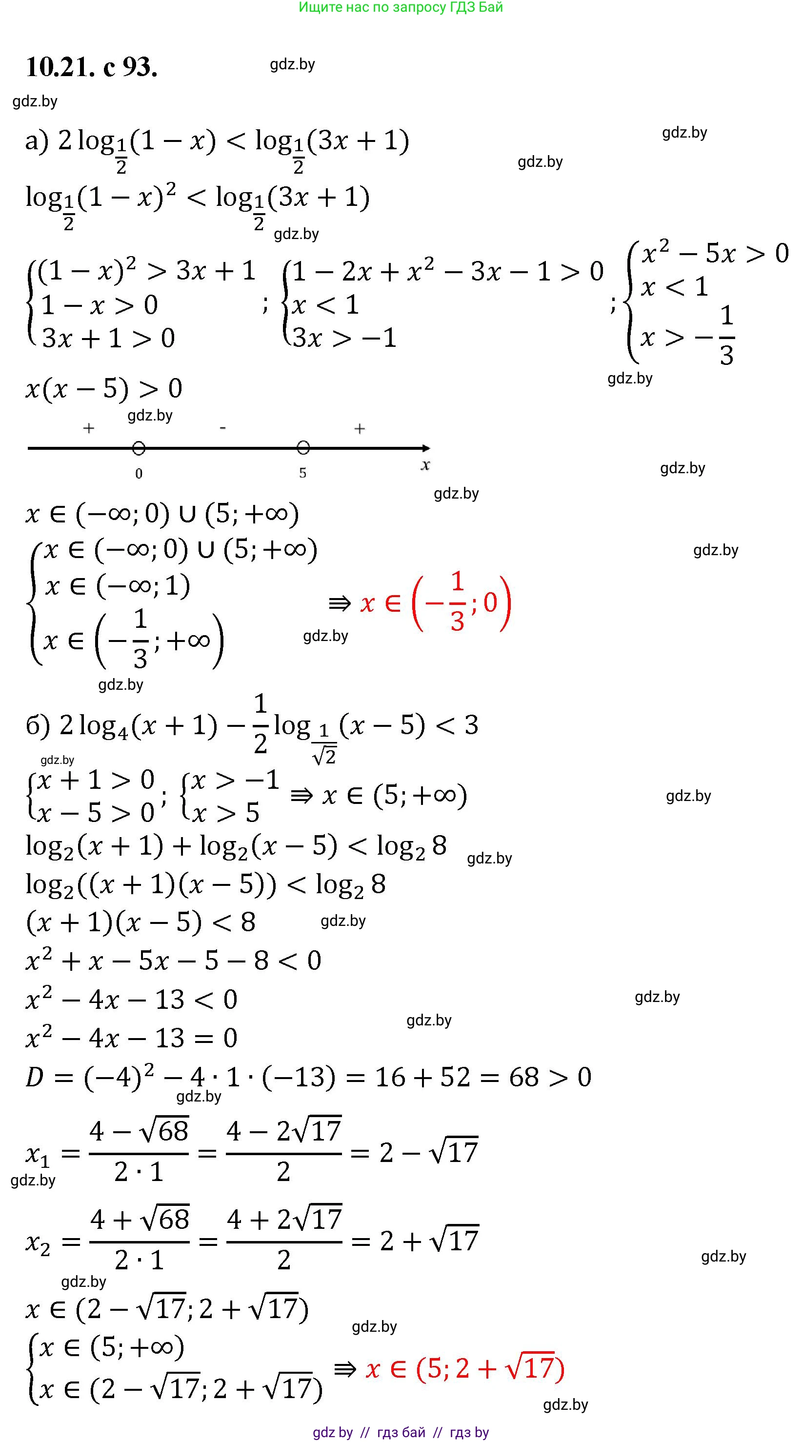
а) $2\log_{\frac{1}{2}}(1-x) < \log_{\frac{1}{2}}(3x+1)$

1. Найдем область допустимых значений (ОДЗ). Аргументы логарифмов должны быть строго положительными:

$\begin{cases} 1-x > 0 \\ 3x+1 > 0 \end{cases} \Rightarrow \begin{cases} x < 1 \\ x > -\frac{1}{3} \end{cases}$

Следовательно, ОДЗ: $x \in (-\frac{1}{3}, 1)$.

2. Преобразуем неравенство, используя свойство логарифма $n\log_a b = \log_a b^n$:

$\log_{\frac{1}{2}}((1-x)^2) < \log_{\frac{1}{2}}(3x+1)$

3. Так как основание логарифма $\frac{1}{2}$ находится в интервале $(0, 1)$, логарифмическая функция является убывающей. При переходе к неравенству для аргументов знак неравенства меняется на противоположный:

$(1-x)^2 > 3x+1$

$1 - 2x + x^2 > 3x + 1$

$x^2 - 5x > 0$

$x(x-5) > 0$

Решением этого квадратичного неравенства является объединение интервалов $x \in (-\infty, 0) \cup (5, \infty)$.

4. Найдем пересечение полученного решения с ОДЗ:

$(-\infty, 0) \cup (5, \infty) \cap (-\frac{1}{3}, 1) \Rightarrow x \in (-\frac{1}{3}, 0)$.

Ответ: $x \in (-\frac{1}{3}, 0)$.

б) $2\log_4(x+1) - \frac{1}{2}\log_{\frac{1}{\sqrt{2}}}(x-5) < 3$

1. Найдем ОДЗ:

$\begin{cases} x+1 > 0 \\ x-5 > 0 \end{cases} \Rightarrow \begin{cases} x > -1 \\ x > 5 \end{cases}$

Следовательно, ОДЗ: $x \in (5, \infty)$.

2. Приведем все логарифмы к одному основанию, например, к основанию 2:

$\log_4(x+1) = \log_{2^2}(x+1) = \frac{1}{2}\log_2(x+1)$

$\log_{\frac{1}{\sqrt{2}}}(x-5) = \log_{2^{-1/2}}(x-5) = \frac{1}{-1/2}\log_2(x-5) = -2\log_2(x-5)$

Подставим преобразованные логарифмы в исходное неравенство:

$2 \cdot \frac{1}{2}\log_2(x+1) - \frac{1}{2}(-2\log_2(x-5)) < 3$

$\log_2(x+1) + \log_2(x-5) < 3$

3. Используя свойство суммы логарифмов $\log_a b + \log_a c = \log_a(bc)$ и представляя $3$ как $\log_2 8$, получаем:

$\log_2((x+1)(x-5)) < \log_2 8$

Так как основание логарифма $2 > 1$, функция возрастающая, знак неравенства сохраняется:

$(x+1)(x-5) < 8$

$x^2 - 4x - 5 < 8$

$x^2 - 4x - 13 < 0$

Найдем корни уравнения $x^2 - 4x - 13 = 0$ с помощью дискриминанта:

$x = \frac{4 \pm \sqrt{(-4)^2 - 4(1)(-13)}}{2} = \frac{4 \pm \sqrt{16+52}}{2} = \frac{4 \pm \sqrt{68}}{2} = \frac{4 \pm 2\sqrt{17}}{2} = 2 \pm \sqrt{17}$

Решением неравенства $x^2 - 4x - 13 < 0$ является интервал $x \in (2 - \sqrt{17}, 2 + \sqrt{17})$.

4. Найдем пересечение решения с ОДЗ. Оценим значение $2 + \sqrt{17}$: так как $4 < \sqrt{17} < 5$, то $6 < 2 + \sqrt{17} < 7$.

Пересечение множеств $(2 - \sqrt{17}, 2 + \sqrt{17})$ и $(5, \infty)$ дает нам итоговое решение $x \in (5, 2 + \sqrt{17})$.

Ответ: $x \in (5, 2 + \sqrt{17})$.

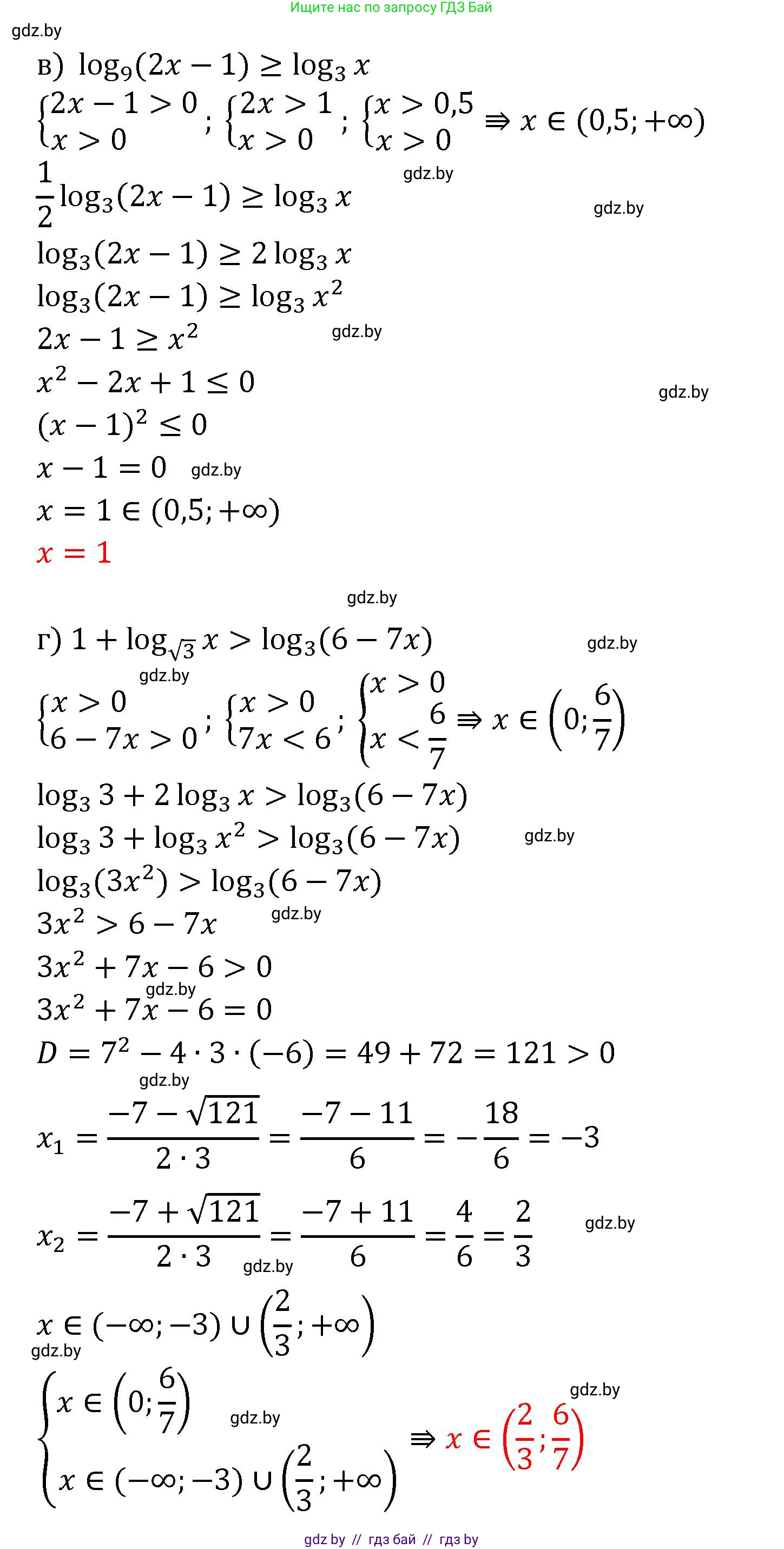
в) $\log_9(2x-1) \ge \log_3 x$

1. Найдем ОДЗ:

$\begin{cases} 2x-1 > 0 \\ x > 0 \end{cases} \Rightarrow \begin{cases} x > \frac{1}{2} \\ x > 0 \end{cases}$

Следовательно, ОДЗ: $x \in (\frac{1}{2}, \infty)$.

2. Приведем логарифмы к основанию 3, используя формулу перехода к новому основанию:

$\log_9(2x-1) = \log_{3^2}(2x-1) = \frac{1}{2}\log_3(2x-1)$

Неравенство принимает вид:

$\frac{1}{2}\log_3(2x-1) \ge \log_3 x$

$\log_3(2x-1) \ge 2\log_3 x$

$\log_3(2x-1) \ge \log_3(x^2)$

3. Так как основание логарифма $3 > 1$, функция возрастающая, знак неравенства сохраняется:

$2x-1 \ge x^2$

$0 \ge x^2 - 2x + 1$

$(x-1)^2 \le 0$

Квадрат действительного числа не может быть отрицательным, поэтому единственное возможное решение — это равенство нулю: $(x-1)^2 = 0$.

$x-1=0 \Rightarrow x=1$.

4. Проверим, входит ли решение в ОДЗ. $1 > \frac{1}{2}$, значит, решение удовлетворяет ОДЗ.

Ответ: $x=1$.

г) $1 + \log_{\sqrt{3}}x > \log_3(6-7x)$

1. Найдем ОДЗ:

$\begin{cases} x > 0 \\ 6-7x > 0 \end{cases} \Rightarrow \begin{cases} x > 0 \\ 7x < 6 \end{cases} \Rightarrow \begin{cases} x > 0 \\ x < \frac{6}{7} \end{cases}$

Следовательно, ОДЗ: $x \in (0, \frac{6}{7})$.

2. Приведем все слагаемые к логарифмам по основанию 3:

$1 = \log_3 3$

$\log_{\sqrt{3}}x = \log_{3^{1/2}}x = \frac{1}{1/2}\log_3 x = 2\log_3 x = \log_3(x^2)$

Неравенство принимает вид:

$\log_3 3 + \log_3(x^2) > \log_3(6-7x)$

$\log_3(3x^2) > \log_3(6-7x)$

3. Так как основание логарифма $3 > 1$, функция возрастающая, знак неравенства сохраняется:

$3x^2 > 6-7x$

$3x^2 + 7x - 6 > 0$

Найдем корни уравнения $3x^2 + 7x - 6 = 0$:

$D = 7^2 - 4 \cdot 3 \cdot (-6) = 49 + 72 = 121 = 11^2$

$x = \frac{-7 \pm 11}{2 \cdot 3} = \frac{-7 \pm 11}{6}$

$x_1 = \frac{-7-11}{6} = -3$, $x_2 = \frac{-7+11}{6} = \frac{4}{6} = \frac{2}{3}$

Решением неравенства $3x^2 + 7x - 6 > 0$ является объединение интервалов $x \in (-\infty, -3) \cup (\frac{2}{3}, \infty)$.

4. Найдем пересечение полученного решения с ОДЗ. Для этого сравним границы интервалов $\frac{2}{3}$ и $\frac{6}{7}$:

$\frac{2}{3} = \frac{14}{21}$; $\frac{6}{7} = \frac{18}{21}$. Так как $\frac{14}{21} < \frac{18}{21}$, то $\frac{2}{3} < \frac{6}{7}$.

Пересечение множеств $(-\infty, -3) \cup (\frac{2}{3}, \infty)$ и $(0, \frac{6}{7})$ дает интервал $x \in (\frac{2}{3}, \frac{6}{7})$.

Ответ: $x \in (\frac{2}{3}, \frac{6}{7})$.

Помогло решение? Оставьте отзыв в комментариях ниже.

Присоединяйтесь к Телеграм-группе @gdz_by_belarus

Присоединиться

Мы подготовили для вас ответ c подробным объяснением домашего задания по алгебре за 11 класс, для упражнения номер 21 расположенного на странице 93 к сборнику задач 2020 года издания для учащихся школ и гимназий.

Теперь на нашем сайте ГДЗ.ТОП вы всегда легко и бесплатно найдёте условие с правильным ответом на вопрос «Как решить ДЗ» и «Как сделать» задание по алгебре к упражнению №21 (с. 93), авторов: Арефьева (Ирина Глебовна), Пирютко (Ольга Николаевна), базовый и повышенный уровень обучения учебного пособия издательства Народная асвета.