Номер 19, страница 93 - гдз по алгебре 11 класс сборник задач Арефьева, Пирютко

Алгебра, 11 класс Сборник задач, авторы: Арефьева Ирина Глебовна, Пирютко Ольга Николаевна, издательство Народная асвета, Минск, 2020, белого цвета

Авторы: Арефьева И. Г., Пирютко О. Н.

Тип: Сборник задач

Издательство: Народная асвета

Год издания: 2020 - 2025

Уровень обучения: базовый и повышенный

Цвет обложки: белый с графиком

Допущено Министерством образования Республики Беларусь

Популярные ГДЗ в 11 классе

Глава 3. Логарифмическая функция. Параграф 10. Логарифмические неравенства - номер 19, страница 93.

№19 (с. 93)
Условие. №19 (с. 93)
скриншот условия
Алгебра, 11 класс Сборник задач, авторы: Арефьева Ирина Глебовна, Пирютко Ольга Николаевна, издательство Народная асвета, Минск, 2020, белого цвета, страница 93, номер 19, Условие

10.19. Решите неравенство:

a) $\lg(7 - x) + \lg x > 1$;

б) $\log_{\frac{1}{2}} x + \log_{\frac{1}{2}} (10 - x) \ge \log_{\frac{1}{2}} 4,5 - 1$;

в) $\log_3 (6 + x^2) - \log_3 (x - 2) < 1 + \log_3 (x + 2)$;

г) $\lg5 + \lg(x + 4) \le 1 - \lg(3x - 2) + \lg(5x + 2)$.

Решение. №19 (с. 93)
Алгебра, 11 класс Сборник задач, авторы: Арефьева Ирина Глебовна, Пирютко Ольга Николаевна, издательство Народная асвета, Минск, 2020, белого цвета, страница 93, номер 19, Решение Алгебра, 11 класс Сборник задач, авторы: Арефьева Ирина Глебовна, Пирютко Ольга Николаевна, издательство Народная асвета, Минск, 2020, белого цвета, страница 93, номер 19, Решение (продолжение 2)
Решение 2. №19 (с. 93)

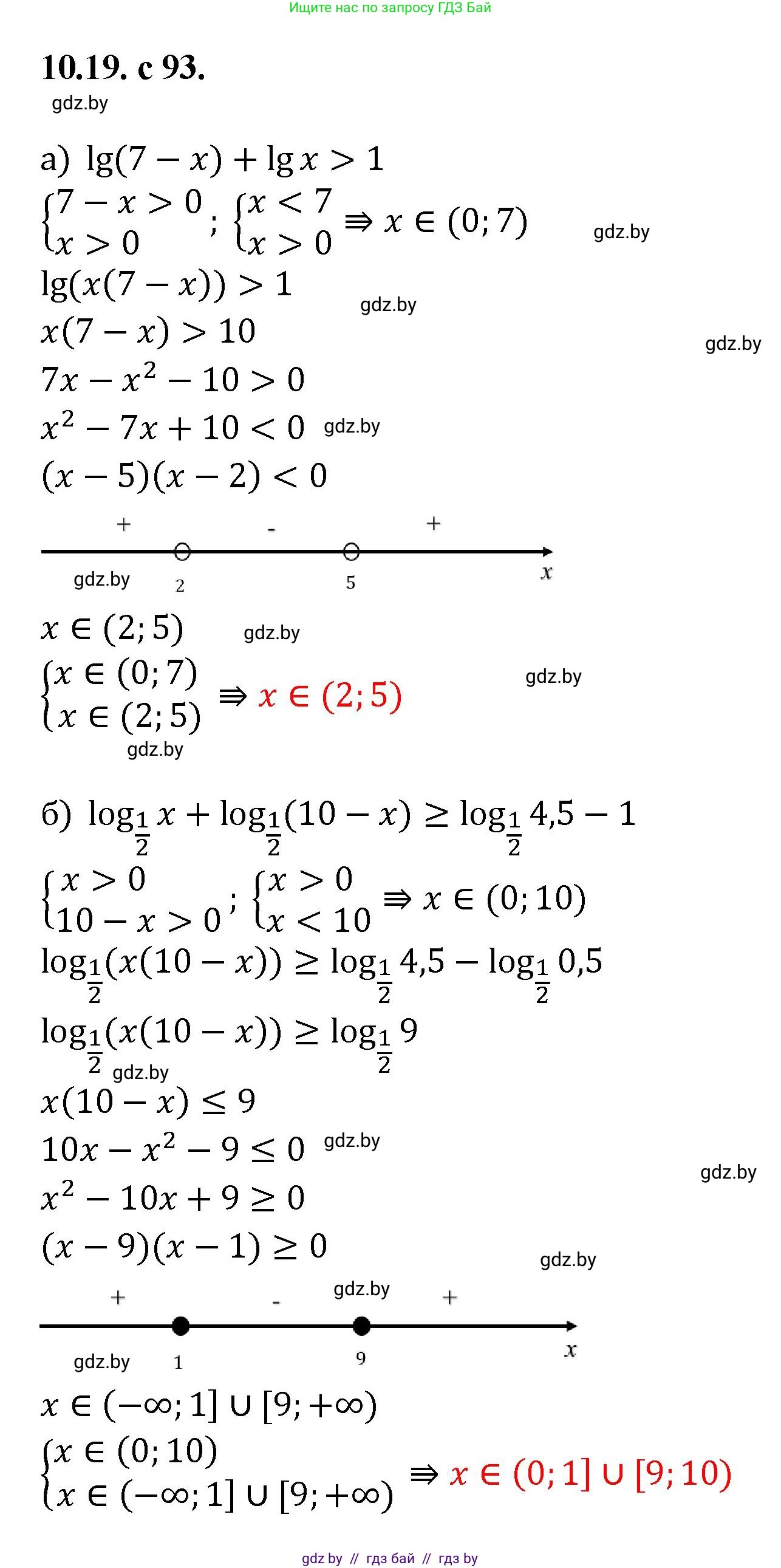
а) $lg(7 - x) + lg(x) > 1$

1. Найдем область допустимых значений (ОДЗ). Аргументы логарифмов должны быть строго положительными:

$\begin{cases} 7 - x > 0 \\ x > 0 \end{cases} \Rightarrow \begin{cases} x < 7 \\ x > 0 \end{cases}$

Следовательно, ОДЗ: $x \in (0; 7)$.

2. Преобразуем неравенство, используя свойство суммы логарифмов $\log_a b + \log_a c = \log_a (bc)$:

$lg((7 - x) \cdot x) > 1$

Представим 1 как десятичный логарифм: $1 = lg(10)$.

$lg(7x - x^2) > lg(10)$

3. Так как основание десятичного логарифма $10 > 1$, функция логарифма является возрастающей. Следовательно, можно перейти к неравенству для аргументов, сохранив знак неравенства:

$7x - x^2 > 10$

Перенесем все члены в одну сторону:

$-x^2 + 7x - 10 > 0$

Умножим обе части на -1, изменив знак неравенства:

$x^2 - 7x + 10 < 0$

4. Решим полученное квадратное неравенство. Найдем корни уравнения $x^2 - 7x + 10 = 0$. По теореме Виета, корни $x_1 = 2$ и $x_2 = 5$.

График функции $y = x^2 - 7x + 10$ — парабола, ветви которой направлены вверх. Значения функции отрицательны между корнями.

Таким образом, решение неравенства: $2 < x < 5$.

5. Совместим полученное решение с ОДЗ:

$\begin{cases} x \in (0; 7) \\ x \in (2; 5) \end{cases} \Rightarrow x \in (2; 5)$

Ответ: $(2; 5)$.


б) $\log_{\frac{1}{2}} x + \log_{\frac{1}{2}} (10 - x) \ge \log_{\frac{1}{2}} 4,5 - 1$

1. Найдем ОДЗ:

$\begin{cases} x > 0 \\ 10 - x > 0 \end{cases} \Rightarrow \begin{cases} x > 0 \\ x < 10 \end{cases}$

Следовательно, ОДЗ: $x \in (0; 10)$.

2. Преобразуем неравенство. Используем свойство суммы логарифмов слева и представим 1 как логарифм с основанием $\frac{1}{2}$ справа:

$1 = \log_{\frac{1}{2}} (\frac{1}{2})$

$\log_{\frac{1}{2}}(x(10 - x)) \ge \log_{\frac{1}{2}} 4,5 - \log_{\frac{1}{2}} 0,5$

Используем свойство разности логарифмов $\log_a b - \log_a c = \log_a (\frac{b}{c})$:

$\log_{\frac{1}{2}}(10x - x^2) \ge \log_{\frac{1}{2}} \frac{4,5}{0,5}$

$\log_{\frac{1}{2}}(10x - x^2) \ge \log_{\frac{1}{2}} 9$

3. Так как основание логарифма $\frac{1}{2} < 1$, функция логарифма является убывающей. При переходе к неравенству для аргументов знак неравенства меняется на противоположный:

$10x - x^2 \le 9$

$-x^2 + 10x - 9 \le 0$

Умножим на -1, изменив знак неравенства:

$x^2 - 10x + 9 \ge 0$

4. Решим квадратное неравенство. Корни уравнения $x^2 - 10x + 9 = 0$ равны $x_1 = 1$ и $x_2 = 9$.

Парабола $y = x^2 - 10x + 9$ ветвями вверх, значит, неравенство $y \ge 0$ выполняется при $x \le 1$ или $x \ge 9$.

Решение: $x \in (-\infty; 1] \cup [9; \infty)$.

5. Совместим с ОДЗ $x \in (0; 10)$:

$x \in ((-\infty; 1] \cup [9; \infty)) \cap (0; 10) \Rightarrow x \in (0; 1] \cup [9; 10)$

Ответ: $(0; 1] \cup [9; 10)$.


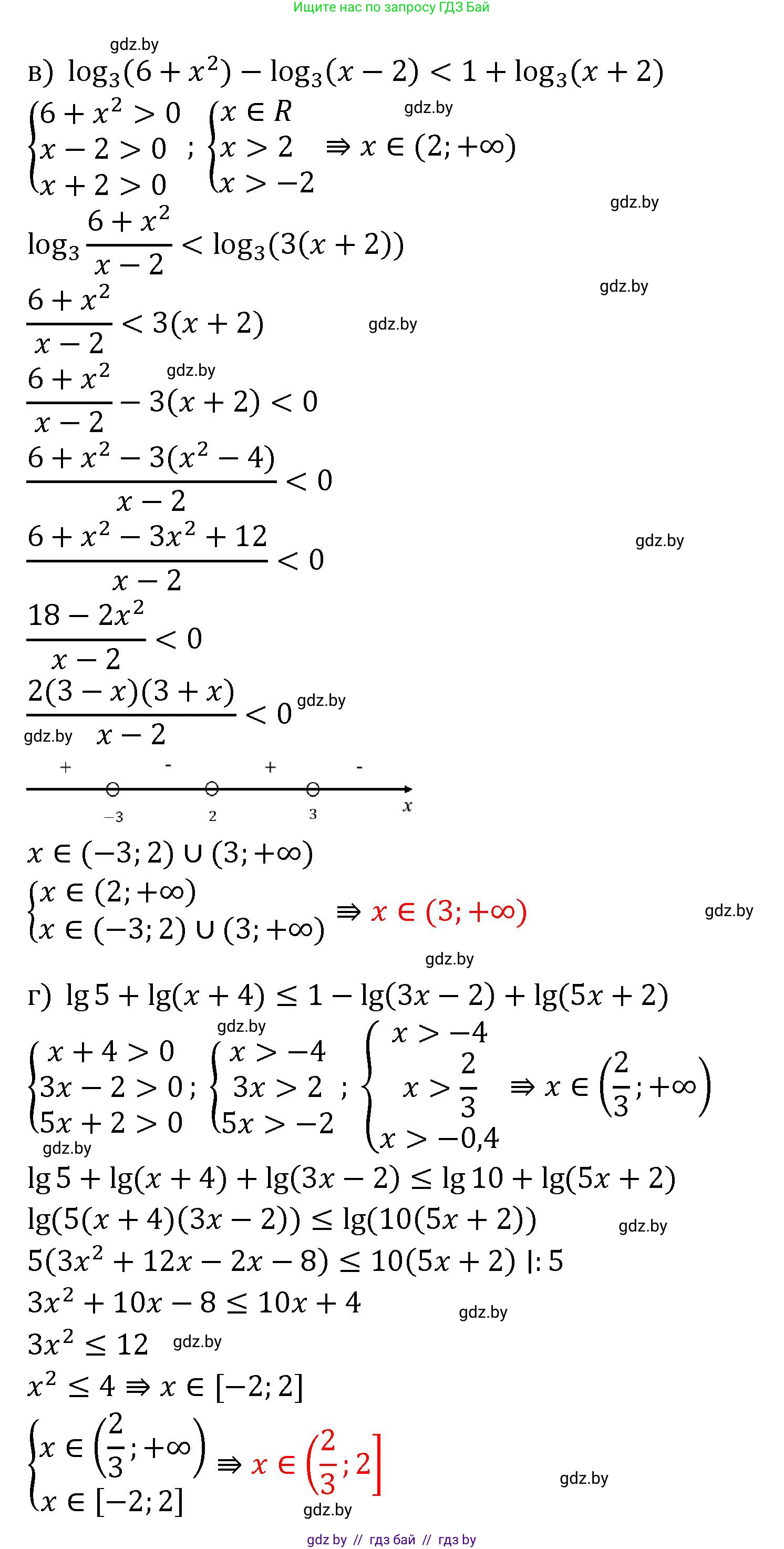
в) $\log_3 (6 + x^2) - \log_3 (x - 2) < 1 + \log_3 (x + 2)$

1. Найдем ОДЗ:

$\begin{cases} 6 + x^2 > 0 \\ x - 2 > 0 \\ x + 2 > 0 \end{cases} \Rightarrow \begin{cases} x \in (-\infty; +\infty) \\ x > 2 \\ x > -2 \end{cases}$

Следовательно, ОДЗ: $x \in (2; +\infty)$.

2. Преобразуем неравенство. Перенесем все логарифмы в одну часть:

$\log_3 (6 + x^2) - \log_3 (x - 2) - \log_3 (x + 2) < 1$

Используем свойства логарифмов:

$\log_3 (6 + x^2) - (\log_3 (x - 2) + \log_3 (x + 2)) < 1$

$\log_3 \frac{6 + x^2}{(x - 2)(x + 2)} < 1$

$\log_3 \frac{x^2 + 6}{x^2 - 4} < \log_3 3$

3. Основание логарифма $3 > 1$, функция возрастающая, знак неравенства сохраняется:

$\frac{x^2 + 6}{x^2 - 4} < 3$

$\frac{x^2 + 6}{x^2 - 4} - 3 < 0$

$\frac{x^2 + 6 - 3(x^2 - 4)}{x^2 - 4} < 0$

$\frac{x^2 + 6 - 3x^2 + 12}{x^2 - 4} < 0$

$\frac{-2x^2 + 18}{x^2 - 4} < 0$

Разделим числитель на -2, изменив знак неравенства:

$\frac{x^2 - 9}{x^2 - 4} > 0$

$\frac{(x - 3)(x + 3)}{(x - 2)(x + 2)} > 0$

4. Решим неравенство методом интервалов. Корни числителя: -3, 3. Корни знаменателя: -2, 2. Отметим точки на числовой прямой и определим знаки:

+ - + - + -3 -2 2 3

Решение: $x \in (-\infty; -3) \cup (-2; 2) \cup (3; +\infty)$.

5. Совместим с ОДЗ $x \in (2; +\infty)$:

$x \in ((-\infty; -3) \cup (-2; 2) \cup (3; +\infty)) \cap (2; +\infty) \Rightarrow x \in (3; +\infty)$.

Ответ: $(3; +\infty)$.


г) $lg 5 + lg(x + 4) \le 1 - lg(3x - 2) + lg(5x + 2)$

1. Найдем ОДЗ:

$\begin{cases} x + 4 > 0 \\ 3x - 2 > 0 \\ 5x + 2 > 0 \end{cases} \Rightarrow \begin{cases} x > -4 \\ x > \frac{2}{3} \\ x > -\frac{2}{5} \end{cases}$

Наиболее сильное ограничение $x > \frac{2}{3}$. ОДЗ: $x \in (\frac{2}{3}; +\infty)$.

2. Преобразуем неравенство, собрав все логарифмы в левой части:

$lg 5 + lg(x + 4) + lg(3x - 2) - lg(5x + 2) \le 1$

Используем свойства логарифмов:

$lg \frac{5(x + 4)(3x - 2)}{5x + 2} \le lg 10$

3. Основание логарифма $10 > 1$, функция возрастающая, знак неравенства сохраняется:

$\frac{5(x + 4)(3x - 2)}{5x + 2} \le 10$

Поскольку из ОДЗ следует, что $x > \frac{2}{3}$, то знаменатель $5x + 2 > 5(\frac{2}{3}) + 2 = \frac{10}{3} + 2 > 0$. Можем умножить обе части на $5x + 2$, не меняя знака неравенства.

$5(x + 4)(3x - 2) \le 10(5x + 2)$

Разделим обе части на 5:

$(x + 4)(3x - 2) \le 2(5x + 2)$

Раскроем скобки:

$3x^2 - 2x + 12x - 8 \le 10x + 4$

$3x^2 + 10x - 8 \le 10x + 4$

Приведем подобные члены:

$3x^2 - 12 \le 0$

$3x^2 \le 12$

$x^2 \le 4$

4. Решением неравенства $x^2 \le 4$ является отрезок $[-2; 2]$.

5. Совместим с ОДЗ $x > \frac{2}{3}$:

$x \in [-2; 2] \cap (\frac{2}{3}; +\infty) \Rightarrow x \in (\frac{2}{3}; 2]$.

Ответ: $(\frac{2}{3}; 2]$.

Помогло решение? Оставьте отзыв в комментариях ниже.

Присоединяйтесь к Телеграм-группе @gdz_by_belarus

Присоединиться

Мы подготовили для вас ответ c подробным объяснением домашего задания по алгебре за 11 класс, для упражнения номер 19 расположенного на странице 93 к сборнику задач 2020 года издания для учащихся школ и гимназий.

Теперь на нашем сайте ГДЗ.ТОП вы всегда легко и бесплатно найдёте условие с правильным ответом на вопрос «Как решить ДЗ» и «Как сделать» задание по алгебре к упражнению №19 (с. 93), авторов: Арефьева (Ирина Глебовна), Пирютко (Ольга Николаевна), базовый и повышенный уровень обучения учебного пособия издательства Народная асвета.