Номер 40, страница 95 - гдз по алгебре 11 класс сборник задач Арефьева, Пирютко

Алгебра, 11 класс Сборник задач, авторы: Арефьева Ирина Глебовна, Пирютко Ольга Николаевна, издательство Народная асвета, Минск, 2020, белого цвета

Авторы: Арефьева И. Г., Пирютко О. Н.

Тип: Сборник задач

Издательство: Народная асвета

Год издания: 2020 - 2025

Уровень обучения: базовый и повышенный

Цвет обложки: белый с графиком

Допущено Министерством образования Республики Беларусь

Популярные ГДЗ в 11 классе

Глава 3. Логарифмическая функция. Параграф 10. Логарифмические неравенства - номер 40, страница 95.

№40 (с. 95)
Условие. №40 (с. 95)
скриншот условия
Алгебра, 11 класс Сборник задач, авторы: Арефьева Ирина Глебовна, Пирютко Ольга Николаевна, издательство Народная асвета, Минск, 2020, белого цвета, страница 95, номер 40, Условие

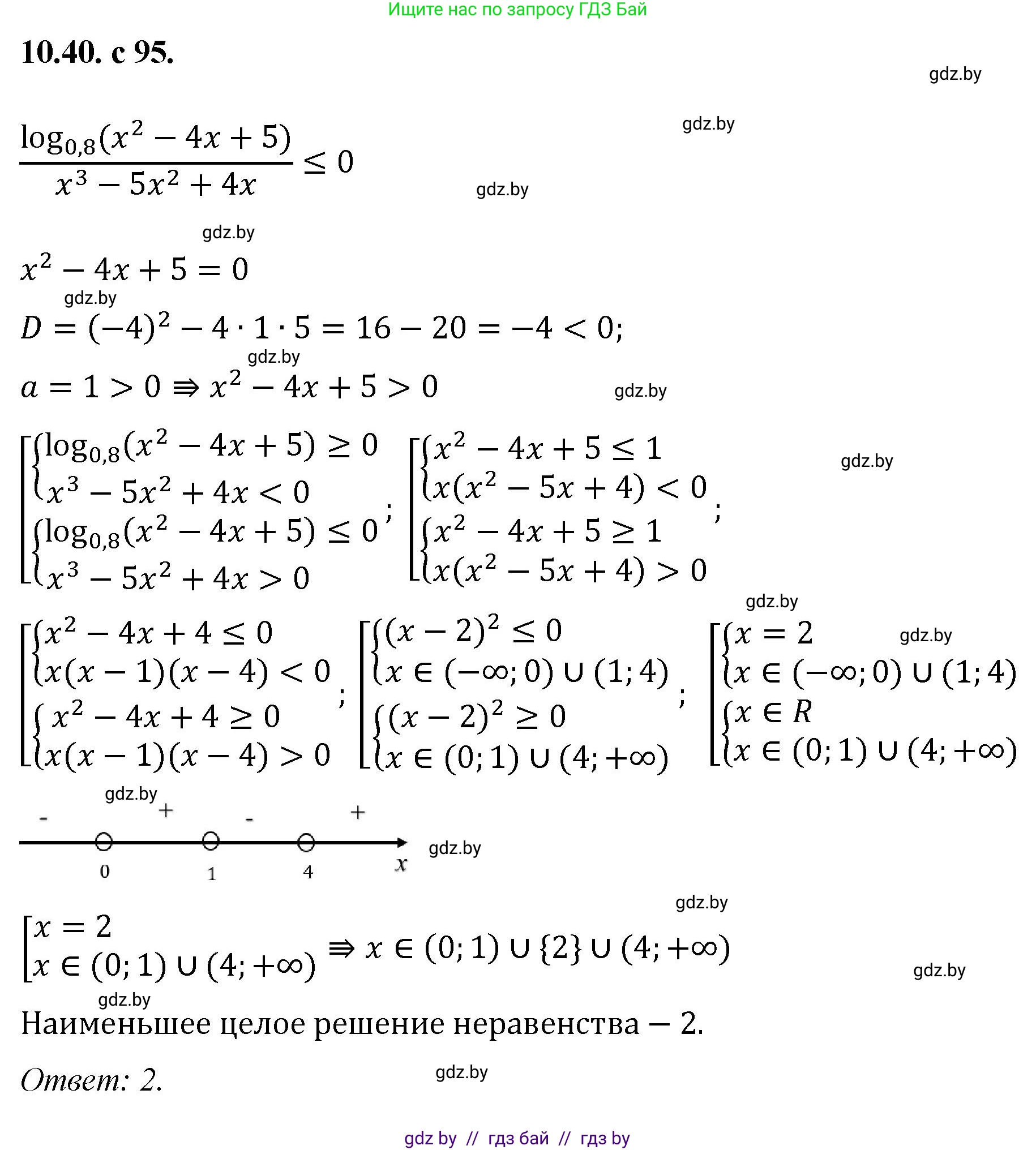
10.40. Найдите наименьшее целое решение неравенства

$\frac{\log_{0.8}(x^2-4x+5)}{x^3-5x^2+4x} \le 0.$

Решение. №40 (с. 95)
Алгебра, 11 класс Сборник задач, авторы: Арефьева Ирина Глебовна, Пирютко Ольга Николаевна, издательство Народная асвета, Минск, 2020, белого цвета, страница 95, номер 40, Решение
Решение 2. №40 (с. 95)

Чтобы найти наименьшее целое решение неравенства, необходимо сначала решить само неравенство, а затем из множества решений выбрать наименьшее целое число.

Исходное неравенство:

$$ \frac{\log_{0.8}(x^2 - 4x + 5)}{x^3 - 5x^2 + 4x} \le 0 $$ 1. Найдём Область Допустимых Значений (ОДЗ).

ОДЗ определяется двумя условиями:

  • Аргумент логарифма должен быть строго положительным: $x^2 - 4x + 5 > 0$.
  • Знаменатель дроби не должен равняться нулю: $x^3 - 5x^2 + 4x \neq 0$.

Рассмотрим первое условие: $x^2 - 4x + 5 > 0$.
Это квадратичная функция. Вычислим её дискриминант: $D = b^2 - 4ac = (-4)^2 - 4 \cdot 1 \cdot 5 = 16 - 20 = -4$.
Поскольку дискриминант отрицателен ($D < 0$), а старший коэффициент положителен ($a=1 > 0$), парабола $y = x^2 - 4x + 5$ полностью находится выше оси абсцисс, и, следовательно, выражение $x^2 - 4x + 5$ всегда положительно. Это условие выполняется для всех действительных $x$.

Рассмотрим второе условие: $x^3 - 5x^2 + 4x \neq 0$.
Разложим многочлен в знаменателе на множители: $x(x^2 - 5x + 4) \neq 0 \implies x(x-1)(x-4) \neq 0$.
Отсюда получаем, что $x \neq 0$, $x \neq 1$ и $x \neq 4$.

Таким образом, ОДЗ неравенства: $x \in (-\infty; 0) \cup (0; 1) \cup (1; 4) \cup (4; +\infty)$.

2. Решим неравенство.

Для решения используем метод знаков. Проанализируем знаки числителя и знаменателя.

Числитель: $\log_{0.8}(x^2 - 4x + 5)$.
Аргумент логарифма $x^2 - 4x + 5$ можно преобразовать, выделив полный квадрат: $(x^2 - 4x + 4) + 1 = (x-2)^2 + 1$.
Поскольку $(x-2)^2 \ge 0$ для любого $x$, то аргумент $(x-2)^2 + 1 \ge 1$.
Основание логарифма $0.8$ находится в интервале $(0, 1)$, поэтому логарифмическая функция $\log_{0.8}(t)$ является убывающей. Из этого следует, что если аргумент $t \ge 1$, то значение логарифма $\log_{0.8}(t) \le \log_{0.8}(1) = 0$.
Таким образом, числитель $\log_{0.8}(x^2 - 4x + 5)$ всегда меньше или равен нулю. Равенство нулю достигается при $x=2$.

Так как числитель всегда неположителен, исходное неравенство $\frac{\text{Числитель}}{\text{Знаменатель}} \le 0$ выполняется в двух случаях:

  1. Числитель равен нулю, а знаменатель не равен нулю.
    $\log_{0.8}(x^2 - 4x + 5) = 0 \implies x^2 - 4x + 5 = 1 \implies (x-2)^2=0 \implies x=2$.
    Точка $x=2$ входит в ОДЗ, следовательно, $x=2$ является решением.
  2. Числитель отрицателен (т.е. $x \neq 2$), а знаменатель строго положителен.
    Нам нужно решить неравенство $x^3 - 5x^2 + 4x > 0$, или $x(x-1)(x-4) > 0$.
    Методом интервалов находим, что это неравенство верно для $x \in (0, 1) \cup (4, \infty)$.

Объединяя решения из обоих случаев, получаем общее множество решений неравенства: $x \in (0, 1) \cup \{2\} \cup (4, \infty)$.

3. Найдём наименьшее целое решение.

Теперь необходимо найти наименьшее целое число, принадлежащее множеству решений $x \in (0, 1) \cup \{2\} \cup (4, \infty)$.

  • Интервал $(0, 1)$ не содержит целых чисел.
  • Число $2$ является целым решением.
  • Интервал $(4, \infty)$ содержит целые числа $5, 6, 7, \dots$.

Таким образом, множество целых решений неравенства: $\{2, 5, 6, 7, \dots\}$.
Наименьшее из этих целых решений — это 2.

Ответ: 2.

Помогло решение? Оставьте отзыв в комментариях ниже.

Присоединяйтесь к Телеграм-группе @gdz_by_belarus

Присоединиться

Мы подготовили для вас ответ c подробным объяснением домашего задания по алгебре за 11 класс, для упражнения номер 40 расположенного на странице 95 к сборнику задач 2020 года издания для учащихся школ и гимназий.

Теперь на нашем сайте ГДЗ.ТОП вы всегда легко и бесплатно найдёте условие с правильным ответом на вопрос «Как решить ДЗ» и «Как сделать» задание по алгебре к упражнению №40 (с. 95), авторов: Арефьева (Ирина Глебовна), Пирютко (Ольга Николаевна), базовый и повышенный уровень обучения учебного пособия издательства Народная асвета.