Номер 2.112, страница 74 - гдз по алгебре 11 класс учебник Арефьева, Пирютко

Алгебра, 11 класс Учебник, авторы: Арефьева Ирина Глебовна, Пирютко Ольга Николаевна, издательство Народная асвета, Минск, 2020, бирюзового цвета

Авторы: Арефьева И. Г., Пирютко О. Н.

Тип: Учебник

Издательство: Народная асвета

Год издания: 2020 - 2025

Цвет обложки: бирюзовый, зелёный с графиком

ISBN: 978-985-03-3165-6

Популярные ГДЗ в 11 классе

Глава 2. Показательная функция. Параграф 5. Показательные уравнения - номер 2.112, страница 74.

№2.112 (с. 74)
Условие. №2.112 (с. 74)
скриншот условия
Алгебра, 11 класс Учебник, авторы: Арефьева Ирина Глебовна, Пирютко Ольга Николаевна, издательство Народная асвета, Минск, 2020, бирюзового цвета, страница 74, номер 2.112, Условие

2.112*. Решите уравнение:

a) $\sqrt{x-1.5} \cdot (2^x + 8 \cdot 2^{-x} - 6) = 0;$

б) $x^2 \cdot 4^{\sqrt{2-x}} + 4^{2-x} = 4^{\sqrt{2-x}+2} + x^2 \cdot 2^{-2x}.$

Решение. №2.112 (с. 74)
Алгебра, 11 класс Учебник, авторы: Арефьева Ирина Глебовна, Пирютко Ольга Николаевна, издательство Народная асвета, Минск, 2020, бирюзового цвета, страница 74, номер 2.112, Решение Алгебра, 11 класс Учебник, авторы: Арефьева Ирина Глебовна, Пирютко Ольга Николаевна, издательство Народная асвета, Минск, 2020, бирюзового цвета, страница 74, номер 2.112, Решение (продолжение 2)
Решение 2. №2.112 (с. 74)

a)

Исходное уравнение: $ \sqrt{x-1,5} \cdot (2^x + 8 \cdot 2^{-x} - 6) = 0 $.
Произведение равно нулю, когда хотя бы один из множителей равен нулю, а другой при этом существует.

Найдем область допустимых значений (ОДЗ).
Выражение под корнем должно быть неотрицательным: $ x - 1,5 \ge 0 $, откуда $ x \ge 1,5 $.
Таким образом, ОДЗ: $ x \in [1,5; +\infty) $.

Рассмотрим два случая:

1) $ \sqrt{x-1,5} = 0 $
$ x - 1,5 = 0 $
$ x_1 = 1,5 $
Этот корень принадлежит ОДЗ.

2) $ 2^x + 8 \cdot 2^{-x} - 6 = 0 $
Сделаем замену $ t = 2^x $. Так как $ 2^x > 0 $ для любого $ x $, то $ t > 0 $.
Уравнение принимает вид:
$ t + \frac{8}{t} - 6 = 0 $
Умножим обе части уравнения на $ t $ (так как $ t \ne 0 $):
$ t^2 - 6t + 8 = 0 $
Это квадратное уравнение. Найдем его корни по теореме Виета:
$ t_1 + t_2 = 6 $
$ t_1 \cdot t_2 = 8 $
Отсюда $ t_1 = 2 $ и $ t_2 = 4 $. Оба корня положительны, поэтому оба подходят.

Вернемся к исходной переменной $ x $:
- Если $ t = 2 $, то $ 2^x = 2 $, откуда $ x_2 = 1 $.
- Если $ t = 4 $, то $ 2^x = 4 $, или $ 2^x = 2^2 $, откуда $ x_3 = 2 $.

Теперь проверим найденные корни $ x_2 $ и $ x_3 $ на принадлежность ОДЗ ($ x \ge 1,5 $):
- $ x_2 = 1 $ не удовлетворяет условию $ 1 \ge 1,5 $, значит, это посторонний корень.
- $ x_3 = 2 $ удовлетворяет условию $ 2 \ge 1,5 $, значит, это корень уравнения.

Объединяя все найденные корни, получаем решения исходного уравнения.

Ответ: $ \{1,5; 2\} $.

б)

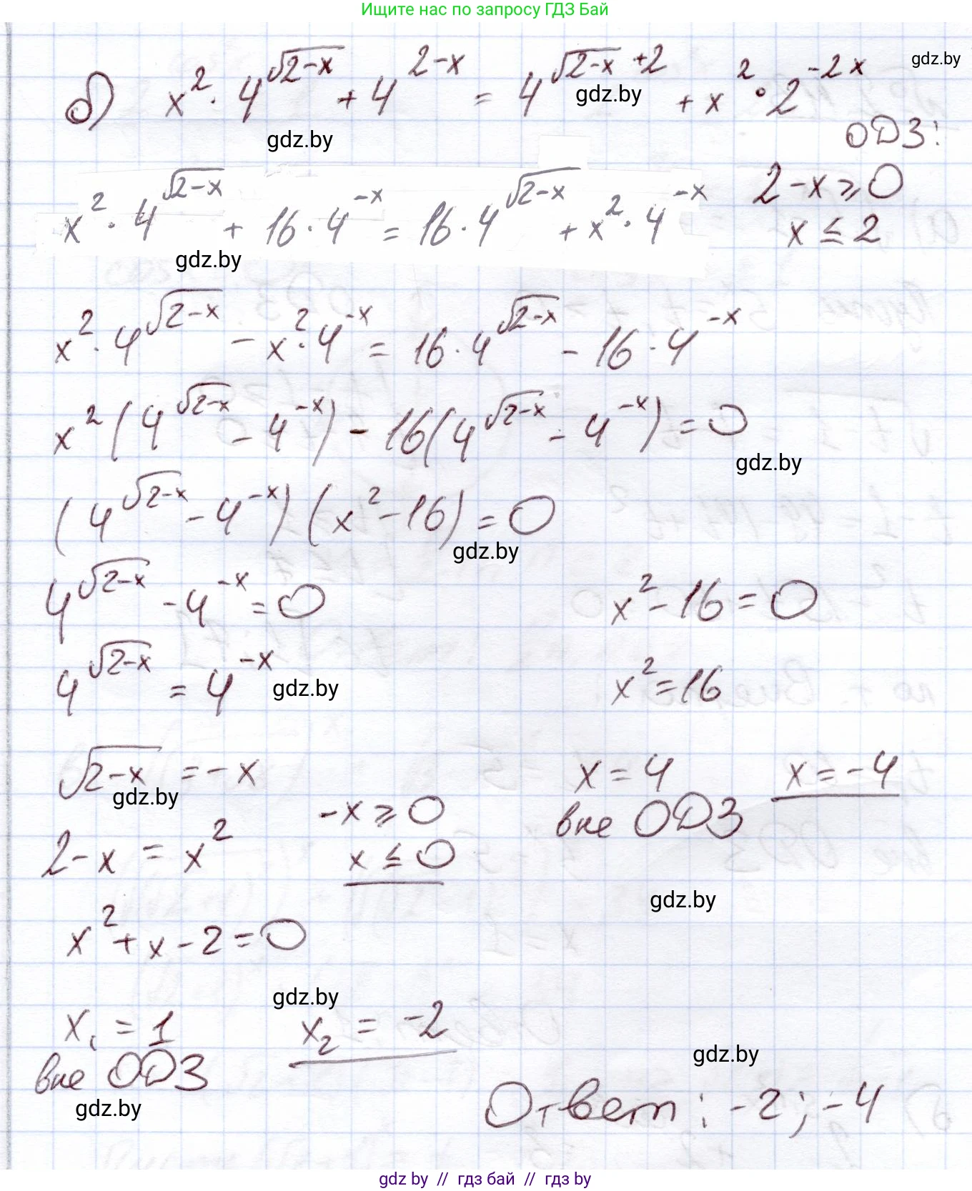
Исходное уравнение: $ x^2 \cdot 4^{\sqrt{2-x}} + 4^{2-x} = 4^{\sqrt{2-x}+2} + x^2 \cdot 2^{-2x} $.

Найдем область допустимых значений (ОДЗ).
Выражение под корнем должно быть неотрицательным: $ 2-x \ge 0 $, откуда $ x \le 2 $.
ОДЗ: $ x \in (-\infty; 2] $.

Преобразуем уравнение. Заметим, что $ 4 = 2^2 $, поэтому $ 2^{-2x} = (2^2)^{-x} = 4^{-x} $. Также $ 4^{2-x} = 4^2 \cdot 4^{-x} = 16 \cdot 4^{-x} $ и $ 4^{\sqrt{2-x}+2} = 4^{\sqrt{2-x}} \cdot 4^2 = 16 \cdot 4^{\sqrt{2-x}} $.
Подставим это в уравнение:
$ x^2 \cdot 4^{\sqrt{2-x}} + 16 \cdot 4^{-x} = 16 \cdot 4^{\sqrt{2-x}} + x^2 \cdot 4^{-x} $
Перенесем все слагаемые в левую часть и сгруппируем:
$ (x^2 \cdot 4^{\sqrt{2-x}} - 16 \cdot 4^{\sqrt{2-x}}) + (16 \cdot 4^{-x} - x^2 \cdot 4^{-x}) = 0 $
Вынесем общие множители за скобки:
$ 4^{\sqrt{2-x}}(x^2 - 16) + 4^{-x}(16 - x^2) = 0 $
$ 4^{\sqrt{2-x}}(x^2 - 16) - 4^{-x}(x^2 - 16) = 0 $
Вынесем за скобку общий множитель $ (x^2 - 16) $:
$ (x^2 - 16)(4^{\sqrt{2-x}} - 4^{-x}) = 0 $

Произведение равно нулю, когда один из множителей равен нулю.

1) $ x^2 - 16 = 0 $
$ x^2 = 16 $
$ x_1 = 4 $, $ x_2 = -4 $.
Проверим корни по ОДЗ ($ x \le 2 $):
- $ x_1 = 4 $ не удовлетворяет ОДЗ.
- $ x_2 = -4 $ удовлетворяет ОДЗ.

2) $ 4^{\sqrt{2-x}} - 4^{-x} = 0 $
$ 4^{\sqrt{2-x}} = 4^{-x} $
Так как основания степеней равны, приравниваем показатели:
$ \sqrt{2-x} = -x $
Левая часть уравнения неотрицательна, следовательно, правая часть также должна быть неотрицательной: $ -x \ge 0 $, что означает $ x \le 0 $.
Возведем обе части уравнения в квадрат:
$ 2 - x = (-x)^2 $
$ 2 - x = x^2 $
$ x^2 + x - 2 = 0 $
Найдем корни по теореме Виета:
$ x_3 + x_4 = -1 $
$ x_3 \cdot x_4 = -2 $
Отсюда $ x_3 = 1 $ и $ x_4 = -2 $.
Проверим эти корни на соответствие условию $ x \le 0 $:
- $ x_3 = 1 $ не удовлетворяет условию $ x \le 0 $.
- $ x_4 = -2 $ удовлетворяет условию $ x \le 0 $. Этот корень также удовлетворяет и ОДЗ ($ -2 \le 2 $).

Объединяя все найденные корни, получаем решения исходного уравнения.

Ответ: $ \{-4; -2\} $.

Помогло решение? Оставьте отзыв в комментариях ниже.

Присоединяйтесь к Телеграм-группе @gdz_by_belarus

Присоединиться

Мы подготовили для вас ответ c подробным объяснением домашего задания по алгебре за 11 класс, для упражнения номер 2.112 расположенного на странице 74 к учебнику 2020 года издания для учащихся школ и гимназий.

Теперь на нашем сайте ГДЗ.ТОП вы всегда легко и бесплатно найдёте условие с правильным ответом на вопрос «Как решить ДЗ» и «Как сделать» задание по алгебре к упражнению №2.112 (с. 74), авторов: Арефьева (Ирина Глебовна), Пирютко (Ольга Николаевна), учебного пособия издательства Народная асвета.