Номер 2.114, страница 75 - гдз по алгебре 11 класс учебник Арефьева, Пирютко

Алгебра, 11 класс Учебник, авторы: Арефьева Ирина Глебовна, Пирютко Ольга Николаевна, издательство Народная асвета, Минск, 2020, бирюзового цвета

Авторы: Арефьева И. Г., Пирютко О. Н.

Тип: Учебник

Издательство: Народная асвета

Год издания: 2020 - 2025

Цвет обложки: бирюзовый, зелёный с графиком

ISBN: 978-985-03-3165-6

Популярные ГДЗ в 11 классе

Глава 2. Показательная функция. Параграф 5. Показательные уравнения - номер 2.114, страница 75.

№2.114 (с. 75)
Условие. №2.114 (с. 75)
скриншот условия
Алгебра, 11 класс Учебник, авторы: Арефьева Ирина Глебовна, Пирютко Ольга Николаевна, издательство Народная асвета, Минск, 2020, бирюзового цвета, страница 75, номер 2.114, Условие

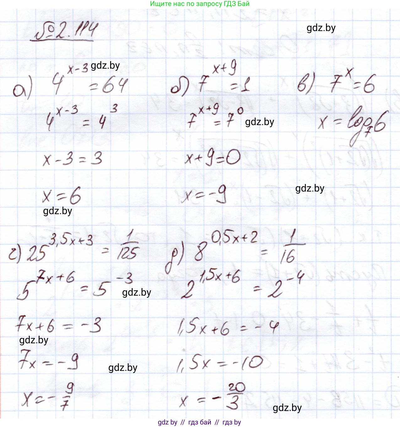
2.114. Решите уравнение:

а) $4^{x-3} = 64$;

б) $7^{x+9} = 1$;

в) $7^{x} = 6$;

г) $25^{3,5x+3} = \frac{1}{125}$;

д) $8^{0,5x+2} = \frac{1}{16}$;

е) $(\frac{1}{49})^{-x} = \frac{1}{\sqrt{7}}$.

Решение. №2.114 (с. 75)
Алгебра, 11 класс Учебник, авторы: Арефьева Ирина Глебовна, Пирютко Ольга Николаевна, издательство Народная асвета, Минск, 2020, бирюзового цвета, страница 75, номер 2.114, Решение Алгебра, 11 класс Учебник, авторы: Арефьева Ирина Глебовна, Пирютко Ольга Николаевна, издательство Народная асвета, Минск, 2020, бирюзового цвета, страница 75, номер 2.114, Решение (продолжение 2)
Решение 2. №2.114 (с. 75)

а) $4^{x-3} = 64$

Представим обе части уравнения в виде степени с основанием 4. Мы знаем, что $64 = 4^3$.

Получаем уравнение:

$4^{x-3} = 4^3$

Так как основания степеней равны, мы можем приравнять их показатели:

$x - 3 = 3$

Решаем полученное линейное уравнение:

$x = 3 + 3$

$x = 6$

Ответ: $6$

б) $7^{x+9} = 1$

Любое число (кроме нуля) в нулевой степени равно 1. Представим 1 как степень с основанием 7:

$1 = 7^0$

Подставим это в исходное уравнение:

$7^{x+9} = 7^0$

Приравниваем показатели степеней:

$x + 9 = 0$

Решаем уравнение:

$x = -9$

Ответ: $-9$

в) $7^x = 6$

Это показательное уравнение, в котором правая часть не может быть просто представлена как степень с основанием 7. Для решения используем определение логарифма.

Логарифм числа $b$ по основанию $a$ (обозначается $\log_a b$) — это показатель степени, в которую надо возвести основание $a$, чтобы получить число $b$.

Исходя из определения, если $a^x = b$, то $x = \log_a b$.

Применяя это к нашему уравнению, получаем:

$x = \log_7 6$

Ответ: $\log_7 6$

г) $25^{3,5x+3} = \frac{1}{125}$

Приведем обе части уравнения к одному основанию, в данном случае к 5.

$25 = 5^2$

$\frac{1}{125} = \frac{1}{5^3} = 5^{-3}$

Подставляем эти значения в уравнение:

$(5^2)^{3.5x+3} = 5^{-3}$

Используем свойство степени $(a^m)^n = a^{mn}$:

$5^{2(3.5x+3)} = 5^{-3}$

$5^{7x+6} = 5^{-3}$

Приравниваем показатели степеней:

$7x + 6 = -3$

$7x = -3 - 6$

$7x = -9$

$x = -\frac{9}{7}$

Ответ: $-\frac{9}{7}$

д) $8^{0,5x+2} = \frac{1}{16}$

Приведем обе части уравнения к основанию 2.

$8 = 2^3$

$\frac{1}{16} = \frac{1}{2^4} = 2^{-4}$

Подставляем в уравнение:

$(2^3)^{0.5x+2} = 2^{-4}$

Раскрываем скобки в показателе степени слева:

$2^{3 \cdot (0.5x+2)} = 2^{-4}$

$2^{1.5x+6} = 2^{-4}$

Приравниваем показатели:

$1.5x + 6 = -4$

$1.5x = -10$

Представим $1,5$ в виде дроби $\frac{3}{2}$:

$\frac{3}{2}x = -10$

$x = -10 \cdot \frac{2}{3}$

$x = -\frac{20}{3}$

Ответ: $-\frac{20}{3}$

е) $(\frac{1}{49})^{-x} = \frac{1}{\sqrt{7}}$

Приведем обе части уравнения к основанию 7.

$\frac{1}{49} = \frac{1}{7^2} = 7^{-2}$

$\frac{1}{\sqrt{7}} = \frac{1}{7^{1/2}} = 7^{-1/2}$

Подставляем в уравнение:

$(7^{-2})^{-x} = 7^{-1/2}$

Используем свойство степени $(a^m)^n = a^{mn}$:

$7^{(-2)(-x)} = 7^{-1/2}$

$7^{2x} = 7^{-1/2}$

Приравниваем показатели:

$2x = -\frac{1}{2}$

Находим $x$:

$x = -\frac{1}{2} \div 2$

$x = -\frac{1}{4}$

Ответ: $-\frac{1}{4}$

Помогло решение? Оставьте отзыв в комментариях ниже.

Присоединяйтесь к Телеграм-группе @gdz_by_belarus

Присоединиться

Мы подготовили для вас ответ c подробным объяснением домашего задания по алгебре за 11 класс, для упражнения номер 2.114 расположенного на странице 75 к учебнику 2020 года издания для учащихся школ и гимназий.

Теперь на нашем сайте ГДЗ.ТОП вы всегда легко и бесплатно найдёте условие с правильным ответом на вопрос «Как решить ДЗ» и «Как сделать» задание по алгебре к упражнению №2.114 (с. 75), авторов: Арефьева (Ирина Глебовна), Пирютко (Ольга Николаевна), учебного пособия издательства Народная асвета.