Номер 2.120, страница 75 - гдз по алгебре 11 класс учебник Арефьева, Пирютко

Алгебра, 11 класс Учебник, авторы: Арефьева Ирина Глебовна, Пирютко Ольга Николаевна, издательство Народная асвета, Минск, 2020, бирюзового цвета

Авторы: Арефьева И. Г., Пирютко О. Н.

Тип: Учебник

Издательство: Народная асвета

Год издания: 2020 - 2025

Цвет обложки: бирюзовый, зелёный с графиком

ISBN: 978-985-03-3165-6

Популярные ГДЗ в 11 классе

Глава 2. Показательная функция. Параграф 5. Показательные уравнения - номер 2.120, страница 75.

№2.120 (с. 75)
Условие. №2.120 (с. 75)
скриншот условия
Алгебра, 11 класс Учебник, авторы: Арефьева Ирина Глебовна, Пирютко Ольга Николаевна, издательство Народная асвета, Минск, 2020, бирюзового цвета, страница 75, номер 2.120, Условие

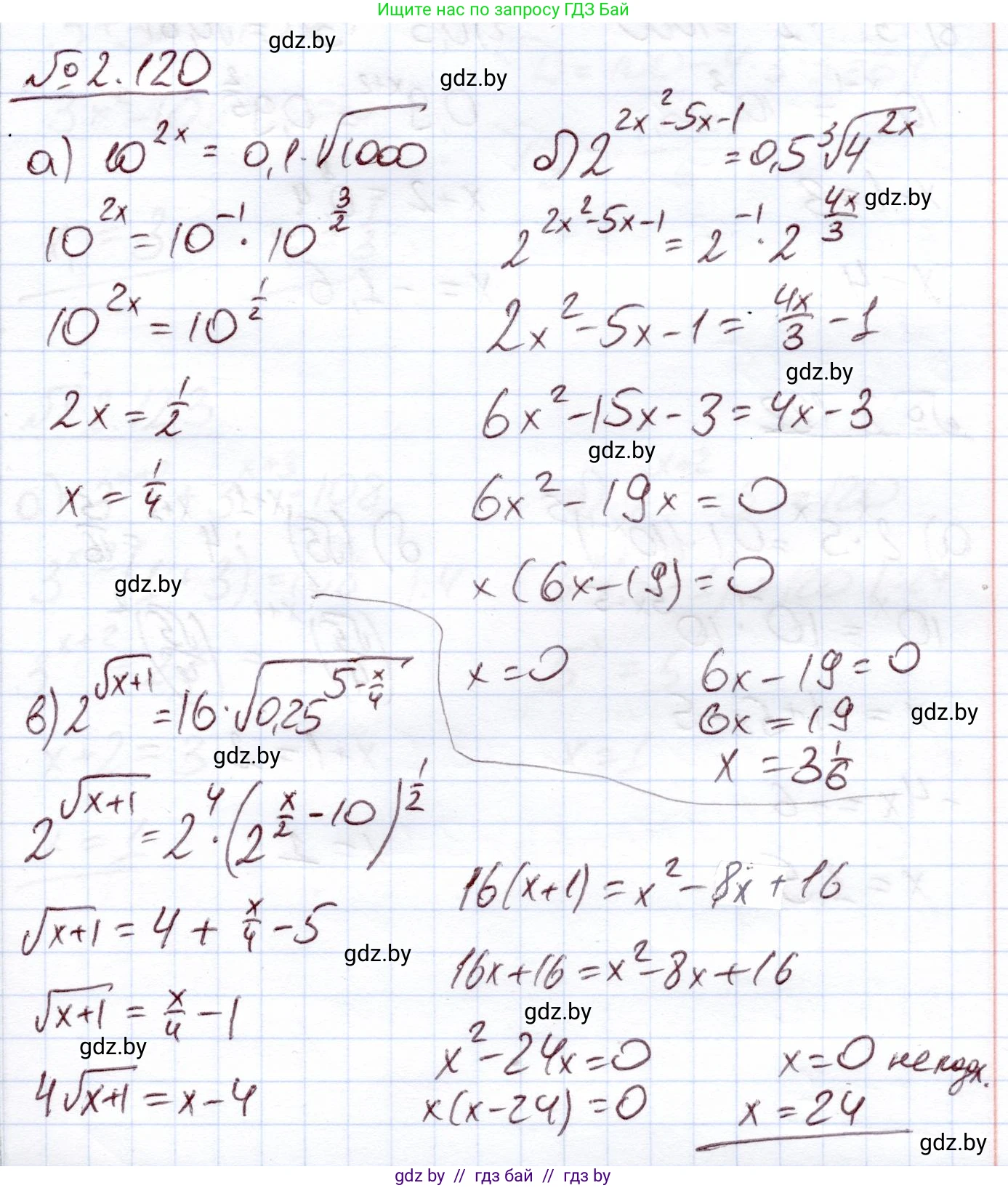
2.120. Приведите к одинаковому основанию левую и правую части уравнения и решите его:

a) $10^{2x} = 0,1 \cdot \sqrt{1000};$

б) $2^{2x^2-5x-1} = 0,5 \sqrt[3]{4^{2x}};$

в) $2^{\sqrt{x+1}} = 16 \cdot \sqrt{0,25^{\frac{5-x}{4}}}.$

Решение. №2.120 (с. 75)
Алгебра, 11 класс Учебник, авторы: Арефьева Ирина Глебовна, Пирютко Ольга Николаевна, издательство Народная асвета, Минск, 2020, бирюзового цвета, страница 75, номер 2.120, Решение
Решение 2. №2.120 (с. 75)

a) $10^{2x} = 0.1 \cdot \sqrt{1000}$

Приведем обе части уравнения к основанию 10.
Левая часть уже имеет основание 10: $10^{2x}$.
Преобразуем правую часть уравнения. Для этого представим $0.1$ и $\sqrt{1000}$ в виде степеней числа 10:
$0.1 = \frac{1}{10} = 10^{-1}$
$\sqrt{1000} = \sqrt{10^3} = (10^3)^{\frac{1}{2}} = 10^{\frac{3}{2}}$
Теперь подставим эти значения в правую часть уравнения и используем свойство степеней $a^m \cdot a^n = a^{m+n}$:
$0.1 \cdot \sqrt{1000} = 10^{-1} \cdot 10^{\frac{3}{2}} = 10^{-1 + \frac{3}{2}} = 10^{-\frac{2}{2} + \frac{3}{2}} = 10^{\frac{1}{2}}$
Исходное уравнение принимает вид:
$10^{2x} = 10^{\frac{1}{2}}$
Так как основания степеней равны, мы можем приравнять их показатели:
$2x = \frac{1}{2}$
Разделим обе части на 2, чтобы найти $x$:
$x = \frac{1}{4}$ или $x = 0.25$.

Ответ: $0.25$.

б) $2^{2x^2-5x-1} = 0.5 \cdot \sqrt[3]{4^{2x}}$

Приведем обе части уравнения к основанию 2.
Левая часть уже представлена в виде степени с основанием 2: $2^{2x^2-5x-1}$.
Преобразуем правую часть. Представим $0.5$ и $\sqrt[3]{4^{2x}}$ как степени числа 2:
$0.5 = \frac{1}{2} = 2^{-1}$
$\sqrt[3]{4^{2x}} = \sqrt[3]{(2^2)^{2x}} = \sqrt[3]{2^{4x}} = (2^{4x})^{\frac{1}{3}} = 2^{\frac{4x}{3}}$
Теперь правая часть выглядит так:
$0.5 \cdot \sqrt[3]{4^{2x}} = 2^{-1} \cdot 2^{\frac{4x}{3}} = 2^{-1 + \frac{4x}{3}}$
Получаем уравнение:
$2^{2x^2-5x-1} = 2^{-1 + \frac{4x}{3}}$
Приравниваем показатели степеней:
$2x^2 - 5x - 1 = -1 + \frac{4x}{3}$
Перенесем все члены в левую часть:
$2x^2 - 5x - \frac{4x}{3} = 0$
Чтобы избавиться от дроби, умножим все уравнение на 3:
$6x^2 - 15x - 4x = 0$
$6x^2 - 19x = 0$
Вынесем общий множитель $x$ за скобки:
$x(6x - 19) = 0$
Произведение равно нулю, если один из множителей равен нулю. Отсюда получаем два корня:
$x_1 = 0$
$6x - 19 = 0 \implies 6x = 19 \implies x_2 = \frac{19}{6}$

Ответ: $0; \frac{19}{6}$.

в) $2^{\sqrt{x+1}} = 16 \cdot \sqrt{0.25^{\frac{5-x}{4}}}$

Приведем обе части уравнения к основанию 2.
Левая часть уже имеет основание 2: $2^{\sqrt{x+1}}$.
Преобразуем правую часть уравнения. Представим $16$ и $0.25$ как степени числа 2:
$16 = 2^4$
$0.25 = \frac{1}{4} = \frac{1}{2^2} = 2^{-2}$
Теперь преобразуем выражение под корнем:
$0.25^{\frac{5-x}{4}} = (2^{-2})^{\frac{5-x}{4}} = 2^{-2 \cdot \frac{5-x}{4}} = 2^{-\frac{5-x}{2}}$
Извлечем квадратный корень:
$\sqrt{2^{-\frac{5-x}{2}}} = (2^{-\frac{5-x}{2}})^{\frac{1}{2}} = 2^{-\frac{5-x}{4}} = 2^{\frac{x-5}{4}}$
Теперь правая часть уравнения равна:
$16 \cdot \sqrt{0.25^{\frac{5-x}{4}}} = 2^4 \cdot 2^{\frac{x-5}{4}} = 2^{4 + \frac{x-5}{4}} = 2^{\frac{16 + x - 5}{4}} = 2^{\frac{x+11}{4}}$
Уравнение принимает вид:
$2^{\sqrt{x+1}} = 2^{\frac{x+11}{4}}$
Приравниваем показатели степеней:
$\sqrt{x+1} = \frac{x+11}{4}$
Найдем область допустимых значений (ОДЗ). Выражение под знаком корня должно быть неотрицательным: $x+1 \ge 0$, то есть $x \ge -1$. Также правая часть, равная корню, должна быть неотрицательной: $\frac{x+11}{4} \ge 0$, то есть $x \ge -11$. Общее ОДЗ: $x \ge -1$.
Возведем обе части уравнения в квадрат, чтобы избавиться от корня:
$(\sqrt{x+1})^2 = \left(\frac{x+11}{4}\right)^2$
$x+1 = \frac{(x+11)^2}{16}$
$16(x+1) = x^2 + 22x + 121$
$16x + 16 = x^2 + 22x + 121$
Приведем уравнение к стандартному виду $ax^2+bx+c=0$:
$x^2 + 22x - 16x + 121 - 16 = 0$
$x^2 + 6x + 105 = 0$
Вычислим дискриминант $D$:
$D = b^2 - 4ac = 6^2 - 4 \cdot 1 \cdot 105 = 36 - 420 = -384$
Поскольку дискриминант отрицательный ($D < 0$), данное квадратное уравнение не имеет действительных корней.

Ответ: корней нет.

Помогло решение? Оставьте отзыв в комментариях ниже.

Присоединяйтесь к Телеграм-группе @gdz_by_belarus

Присоединиться

Мы подготовили для вас ответ c подробным объяснением домашего задания по алгебре за 11 класс, для упражнения номер 2.120 расположенного на странице 75 к учебнику 2020 года издания для учащихся школ и гимназий.

Теперь на нашем сайте ГДЗ.ТОП вы всегда легко и бесплатно найдёте условие с правильным ответом на вопрос «Как решить ДЗ» и «Как сделать» задание по алгебре к упражнению №2.120 (с. 75), авторов: Арефьева (Ирина Глебовна), Пирютко (Ольга Николаевна), учебного пособия издательства Народная асвета.