Номер 2.117, страница 75 - гдз по алгебре 11 класс учебник Арефьева, Пирютко

Алгебра, 11 класс Учебник, авторы: Арефьева Ирина Глебовна, Пирютко Ольга Николаевна, издательство Народная асвета, Минск, 2020, бирюзового цвета

Авторы: Арефьева И. Г., Пирютко О. Н.

Тип: Учебник

Издательство: Народная асвета

Год издания: 2020 - 2025

Цвет обложки: бирюзовый, зелёный с графиком

ISBN: 978-985-03-3165-6

Популярные ГДЗ в 11 классе

Глава 2. Показательная функция. Параграф 5. Показательные уравнения - номер 2.117, страница 75.

№2.117 (с. 75)
Условие. №2.117 (с. 75)
скриншот условия
Алгебра, 11 класс Учебник, авторы: Арефьева Ирина Глебовна, Пирютко Ольга Николаевна, издательство Народная асвета, Минск, 2020, бирюзового цвета, страница 75, номер 2.117, Условие

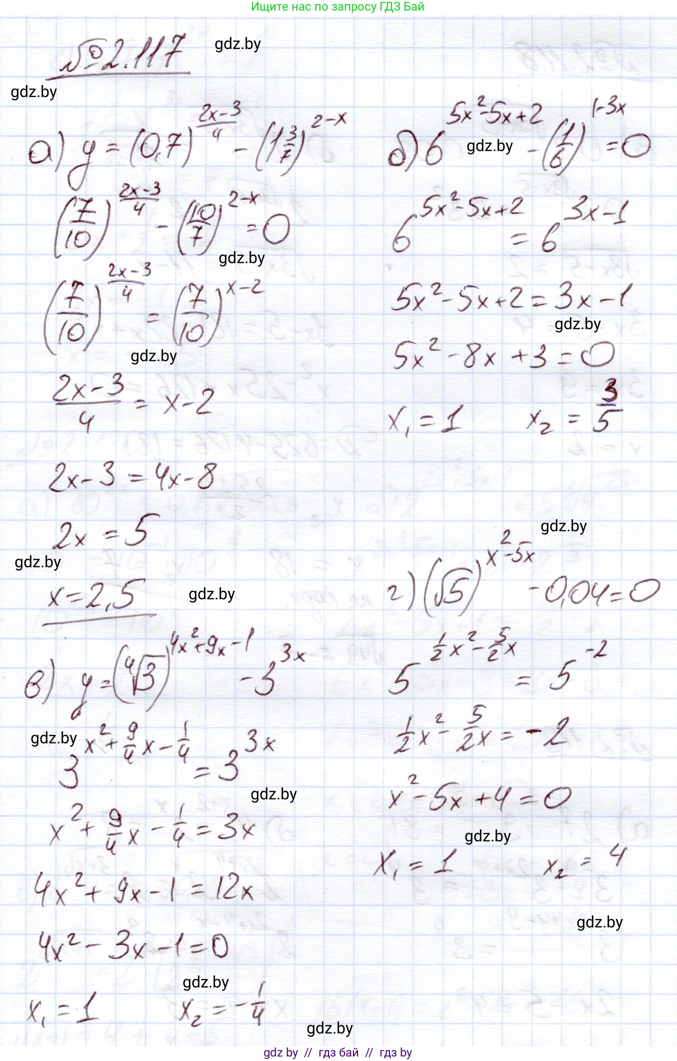
2.117. Найдите нули функции:

а) $y = (0,7)^{\frac{2x-3}{4}} - (1\frac{3}{7})^{2-x};$

б) $y = 6^{5x^2-5x+2} - \left(\frac{1}{6}\right)^{1-3x};$

в) $y = (\sqrt[4]{3})^{4x^2+9x-1} - 3^{3x};$

г) $y = (\sqrt{5})^{x^2-5x} - 0,04.$

Решение. №2.117 (с. 75)
Алгебра, 11 класс Учебник, авторы: Арефьева Ирина Глебовна, Пирютко Ольга Николаевна, издательство Народная асвета, Минск, 2020, бирюзового цвета, страница 75, номер 2.117, Решение
Решение 2. №2.117 (с. 75)

а) Чтобы найти нули функции, необходимо приравнять значение функции к нулю.

$y = (0,7)^{\frac{2x-3}{4}} - (1\frac{3}{7})^{2-x} = 0$

Перенесем одно из слагаемых в правую часть уравнения:

$(0,7)^{\frac{2x-3}{4}} = (1\frac{3}{7})^{2-x}$

Приведем основания степеней к одному числу. Для этого представим десятичную дробь и смешанное число в виде обыкновенных дробей:

$0,7 = \frac{7}{10}$

$1\frac{3}{7} = \frac{1 \cdot 7 + 3}{7} = \frac{10}{7}$

Заметим, что $\frac{10}{7} = (\frac{7}{10})^{-1}$. Подставим это в уравнение:

$(\frac{7}{10})^{\frac{2x-3}{4}} = ((\frac{7}{10})^{-1})^{2-x}$

Используя свойство степени $(a^m)^n = a^{mn}$, получаем:

$(\frac{7}{10})^{\frac{2x-3}{4}} = (\frac{7}{10})^{-(2-x)}$

$(\frac{7}{10})^{\frac{2x-3}{4}} = (\frac{7}{10})^{x-2}$

Так как основания степеней равны, мы можем приравнять их показатели:

$\frac{2x-3}{4} = x-2$

Решим полученное линейное уравнение. Умножим обе части на 4:

$2x-3 = 4(x-2)$

$2x-3 = 4x-8$

$8-3 = 4x-2x$

$5 = 2x$

$x = \frac{5}{2} = 2,5$

Ответ: $2,5$.

б) Приравняем функцию к нулю:

$y = 6^{5x^2-5x+2} - (\frac{1}{6})^{1-3x} = 0$

$6^{5x^2-5x+2} = (\frac{1}{6})^{1-3x}$

Приведем основания к одному числу. Так как $\frac{1}{6} = 6^{-1}$, получаем:

$6^{5x^2-5x+2} = (6^{-1})^{1-3x}$

$6^{5x^2-5x+2} = 6^{-(1-3x)}$

$6^{5x^2-5x+2} = 6^{3x-1}$

Приравниваем показатели степеней:

$5x^2-5x+2 = 3x-1$

Перенесем все члены в левую часть, чтобы получить квадратное уравнение:

$5x^2-5x-3x+2+1 = 0$

$5x^2-8x+3 = 0$

Решим квадратное уравнение с помощью дискриминанта $D = b^2 - 4ac$:

$D = (-8)^2 - 4 \cdot 5 \cdot 3 = 64 - 60 = 4$

Найдем корни уравнения:

$x_{1} = \frac{-b + \sqrt{D}}{2a} = \frac{8 + \sqrt{4}}{2 \cdot 5} = \frac{8+2}{10} = \frac{10}{10} = 1$

$x_{2} = \frac{-b - \sqrt{D}}{2a} = \frac{8 - \sqrt{4}}{2 \cdot 5} = \frac{8-2}{10} = \frac{6}{10} = 0,6$

Ответ: $0,6; 1$.

в) Приравняем функцию к нулю:

$y = (\sqrt[4]{3})^{4x^2+9x-1} - 3^{3x} = 0$

$(\sqrt[4]{3})^{4x^2+9x-1} = 3^{3x}$

Приведем основания к одному числу. Так как $\sqrt[4]{3} = 3^{\frac{1}{4}}$, получаем:

$(3^{\frac{1}{4}})^{4x^2+9x-1} = 3^{3x}$

$3^{\frac{1}{4}(4x^2+9x-1)} = 3^{3x}$

Приравниваем показатели степеней:

$\frac{1}{4}(4x^2+9x-1) = 3x$

Умножим обе части уравнения на 4:

$4x^2+9x-1 = 12x$

Перенесем все члены в левую часть:

$4x^2+9x-12x-1 = 0$

$4x^2-3x-1 = 0$

Решим полученное квадратное уравнение через дискриминант:

$D = (-3)^2 - 4 \cdot 4 \cdot (-1) = 9 + 16 = 25$

Найдем корни:

$x_{1} = \frac{3 + \sqrt{25}}{2 \cdot 4} = \frac{3+5}{8} = \frac{8}{8} = 1$

$x_{2} = \frac{3 - \sqrt{25}}{2 \cdot 4} = \frac{3-5}{8} = \frac{-2}{8} = -\frac{1}{4}$

Ответ: $-\frac{1}{4}; 1$.

г) Приравняем функцию к нулю:

$y = (\sqrt{5})^{x^2-5x} - 0,04 = 0$

$(\sqrt{5})^{x^2-5x} = 0,04$

Приведем основания к одному числу. Представим $\sqrt{5}$ как $5^{\frac{1}{2}}$ и $0,04$ как степень числа 5:

$0,04 = \frac{4}{100} = \frac{1}{25} = \frac{1}{5^2} = 5^{-2}$

Подставим эти значения в уравнение:

$(5^{\frac{1}{2}})^{x^2-5x} = 5^{-2}$

$5^{\frac{1}{2}(x^2-5x)} = 5^{-2}$

Приравниваем показатели степеней:

$\frac{1}{2}(x^2-5x) = -2$

Умножим обе части на 2:

$x^2-5x = -4$

Перенесем все члены в левую часть, чтобы получить квадратное уравнение:

$x^2-5x+4 = 0$

Решим уравнение. Можно использовать теорему Виета. Сумма корней равна 5, а их произведение равно 4. Корни: $x_1=1$ и $x_2=4$.

Также можно решить через дискриминант:

$D = (-5)^2 - 4 \cdot 1 \cdot 4 = 25 - 16 = 9$

$x_{1} = \frac{5 + \sqrt{9}}{2} = \frac{5+3}{2} = \frac{8}{2} = 4$

$x_{2} = \frac{5 - \sqrt{9}}{2} = \frac{5-3}{2} = \frac{2}{2} = 1$

Ответ: $1; 4$.

Помогло решение? Оставьте отзыв в комментариях ниже.

Присоединяйтесь к Телеграм-группе @gdz_by_belarus

Присоединиться

Мы подготовили для вас ответ c подробным объяснением домашего задания по алгебре за 11 класс, для упражнения номер 2.117 расположенного на странице 75 к учебнику 2020 года издания для учащихся школ и гимназий.

Теперь на нашем сайте ГДЗ.ТОП вы всегда легко и бесплатно найдёте условие с правильным ответом на вопрос «Как решить ДЗ» и «Как сделать» задание по алгебре к упражнению №2.117 (с. 75), авторов: Арефьева (Ирина Глебовна), Пирютко (Ольга Николаевна), учебного пособия издательства Народная асвета.