Номер 3.155, страница 140 - гдз по алгебре 11 класс учебник Арефьева, Пирютко

Алгебра, 11 класс Учебник, авторы: Арефьева Ирина Глебовна, Пирютко Ольга Николаевна, издательство Народная асвета, Минск, 2020, бирюзового цвета

Авторы: Арефьева И. Г., Пирютко О. Н.

Тип: Учебник

Издательство: Народная асвета

Год издания: 2020 - 2025

Цвет обложки: бирюзовый, зелёный с графиком

ISBN: 978-985-03-3165-6

Популярные ГДЗ в 11 классе

Глава 3. Логарифмическая функция. Параграф 9. Логарифмические уравнения - номер 3.155, страница 140.

№3.155 (с. 140)
Условие. №3.155 (с. 140)
скриншот условия
Алгебра, 11 класс Учебник, авторы: Арефьева Ирина Глебовна, Пирютко Ольга Николаевна, издательство Народная асвета, Минск, 2020, бирюзового цвета, страница 140, номер 3.155, Условие

3.155. Используйте свойства логарифмов и метод замены переменной и решите уравнение:

а) $\lg^2 x + 4\lg(10x) - 1 = 0$;

б) $\log_4^2 x + \frac{1}{2}\log_4(16x) - 4 = 0$;

в) $\log_{0.5}^2 (x - 5) + \log_2 \frac{4}{x - 5} = 2$;

г) $\log_5^2 (5 - x) + 2\log_{\frac{1}{5}} \frac{\sqrt{5}}{5 - x} = 2$;

д) $2\log_2^2(x - 2) - \log_{\frac{1}{2}} \frac{8}{x - 2} = \log_2(2x - 4) + 2$.

Решение. №3.155 (с. 140)
Алгебра, 11 класс Учебник, авторы: Арефьева Ирина Глебовна, Пирютко Ольга Николаевна, издательство Народная асвета, Минск, 2020, бирюзового цвета, страница 140, номер 3.155, Решение Алгебра, 11 класс Учебник, авторы: Арефьева Ирина Глебовна, Пирютко Ольга Николаевна, издательство Народная асвета, Минск, 2020, бирюзового цвета, страница 140, номер 3.155, Решение (продолжение 2) Алгебра, 11 класс Учебник, авторы: Арефьева Ирина Глебовна, Пирютко Ольга Николаевна, издательство Народная асвета, Минск, 2020, бирюзового цвета, страница 140, номер 3.155, Решение (продолжение 3)
Решение 2. №3.155 (с. 140)

а) Исходное уравнение: $ \lg^2 x + 4\lg(10x) - 1 = 0 $.
Область допустимых значений (ОДЗ) определяется условием $ x > 0 $.
Используем свойство логарифма произведения: $ \lg(10x) = \lg 10 + \lg x = 1 + \lg x $.
Подставим это в уравнение:$ \lg^2 x + 4(1 + \lg x) - 1 = 0 $
$ \lg^2 x + 4 + 4\lg x - 1 = 0 $
$ \lg^2 x + 4\lg x + 3 = 0 $
Сделаем замену переменной: пусть $ t = \lg x $. Уравнение примет вид:
$ t^2 + 4t + 3 = 0 $
Решим квадратное уравнение. По теореме Виета, корни уравнения: $ t_1 = -1 $ и $ t_2 = -3 $.
Вернемся к исходной переменной:
1) Если $ t = -1 $, то $ \lg x = -1 \implies x = 10^{-1} = 0.1 $.
2) Если $ t = -3 $, то $ \lg x = -3 \implies x = 10^{-3} = 0.001 $.
Оба корня удовлетворяют ОДЗ ($x > 0$).
Ответ: $0.001; 0.1$.

б) Исходное уравнение: $ \log_4^2 x + \frac{1}{2}\log_4(16x) - 4 = 0 $.
ОДЗ: $ x > 0 $.
Используем свойство логарифма произведения: $ \log_4(16x) = \log_4 16 + \log_4 x = 2 + \log_4 x $.
Подставим в уравнение:
$ \log_4^2 x + \frac{1}{2}(2 + \log_4 x) - 4 = 0 $
$ \log_4^2 x + 1 + \frac{1}{2}\log_4 x - 4 = 0 $
$ \log_4^2 x + \frac{1}{2}\log_4 x - 3 = 0 $
Умножим все уравнение на 2:
$ 2\log_4^2 x + \log_4 x - 6 = 0 $
Сделаем замену: $ t = \log_4 x $.
$ 2t^2 + t - 6 = 0 $
Решим квадратное уравнение через дискриминант:
$ D = 1^2 - 4 \cdot 2 \cdot (-6) = 1 + 48 = 49 $
$ t_1 = \frac{-1 + \sqrt{49}}{2 \cdot 2} = \frac{-1 + 7}{4} = \frac{6}{4} = \frac{3}{2} $
$ t_2 = \frac{-1 - \sqrt{49}}{2 \cdot 2} = \frac{-1 - 7}{4} = \frac{-8}{4} = -2 $
Вернемся к замене:
1) $ \log_4 x = \frac{3}{2} \implies x = 4^{3/2} = (4^{1/2})^3 = 2^3 = 8 $.
2) $ \log_4 x = -2 \implies x = 4^{-2} = \frac{1}{16} $.
Оба корня удовлетворяют ОДЗ ($x > 0$).
Ответ: $\frac{1}{16}; 8$.

в) Исходное уравнение: $ \log_{0,5}^2(x-5) + \log_2 \frac{4}{x-5} = 2 $.
ОДЗ: $ x - 5 > 0 \implies x > 5 $.
Преобразуем логарифмы к одному основанию 2. Используем формулу перехода к новому основанию и свойства логарифмов:
$ \log_{0.5}(x-5) = \log_{2^{-1}}(x-5) = -\log_2(x-5) $.
Следовательно, $ \log_{0.5}^2(x-5) = (-\log_2(x-5))^2 = \log_2^2(x-5) $.
$ \log_2 \frac{4}{x-5} = \log_2 4 - \log_2(x-5) = 2 - \log_2(x-5) $.
Подставим преобразованные выражения в уравнение:
$ \log_2^2(x-5) + (2 - \log_2(x-5)) = 2 $
$ \log_2^2(x-5) - \log_2(x-5) = 0 $
Сделаем замену: $ t = \log_2(x-5) $.
$ t^2 - t = 0 $
$ t(t-1) = 0 $
Отсюда $ t_1 = 0 $, $ t_2 = 1 $.
Вернемся к замене:
1) $ \log_2(x-5) = 0 \implies x-5 = 2^0 = 1 \implies x = 6 $.
2) $ \log_2(x-5) = 1 \implies x-5 = 2^1 = 2 \implies x = 7 $.
Оба корня ($6$ и $7$) удовлетворяют ОДЗ ($x>5$).
Ответ: $6; 7$.

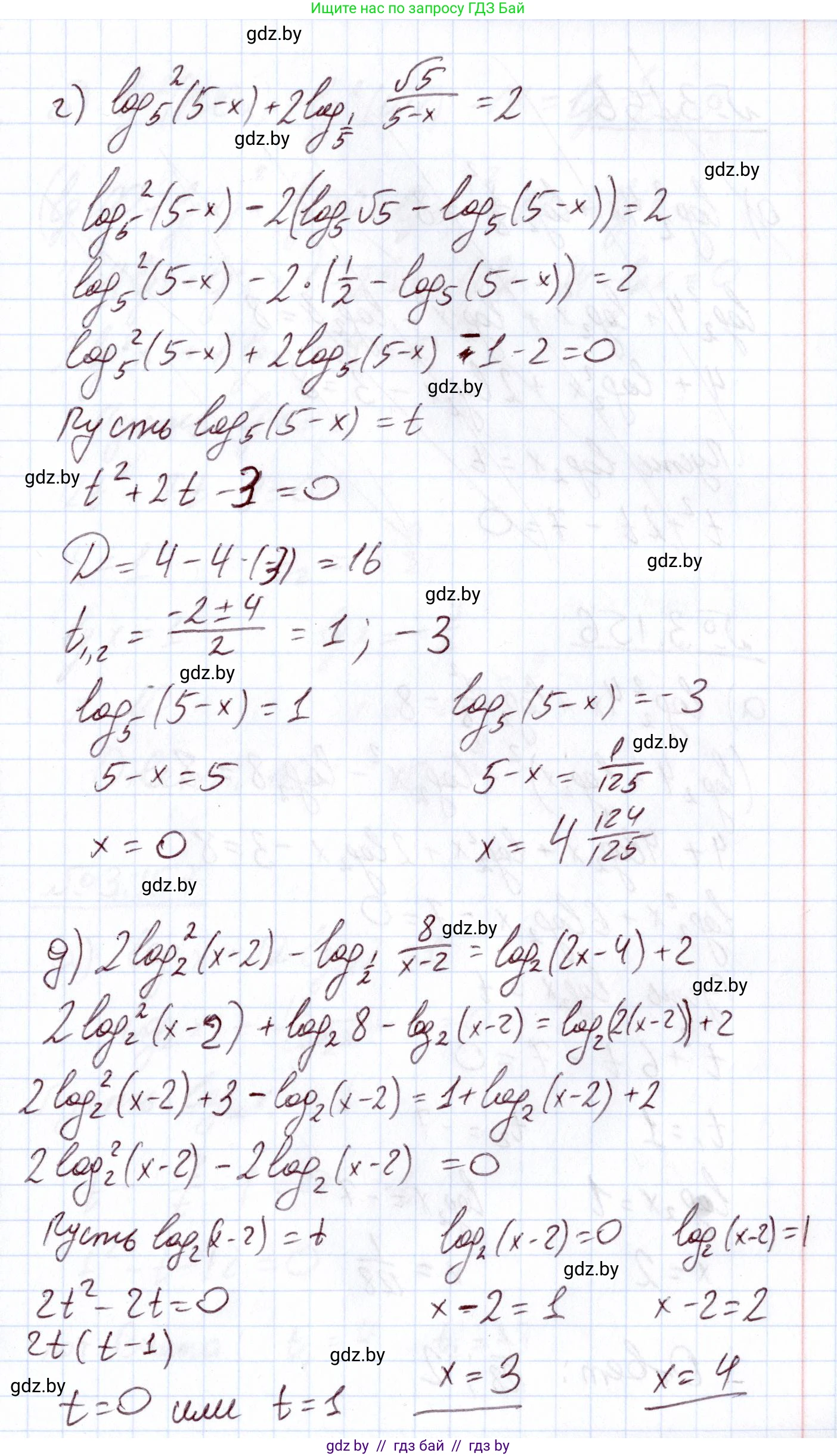
г) Исходное уравнение: $ \log_5^2(5-x) + 2\log_{1/5} \frac{\sqrt{5}}{5-x} = 2 $.
ОДЗ: $ 5 - x > 0 \implies x < 5 $.
Преобразуем второй логарифм к основанию 5:
$ \log_{1/5} \frac{\sqrt{5}}{5-x} = -\log_5 \frac{\sqrt{5}}{5-x} = -(\log_5 \sqrt{5} - \log_5(5-x)) $
Так как $ \log_5 \sqrt{5} = \log_5 5^{1/2} = \frac{1}{2} $, то выражение равно:
$ -(\frac{1}{2} - \log_5(5-x)) = \log_5(5-x) - \frac{1}{2} $
Подставим в исходное уравнение:
$ \log_5^2(5-x) + 2(\log_5(5-x) - \frac{1}{2}) = 2 $
$ \log_5^2(5-x) + 2\log_5(5-x) - 1 = 2 $
$ \log_5^2(5-x) + 2\log_5(5-x) - 3 = 0 $
Сделаем замену: $ t = \log_5(5-x) $.
$ t^2 + 2t - 3 = 0 $
По теореме Виета, корни: $ t_1 = 1 $, $ t_2 = -3 $.
Вернемся к замене:
1) $ \log_5(5-x) = 1 \implies 5-x = 5^1 = 5 \implies x = 0 $.
2) $ \log_5(5-x) = -3 \implies 5-x = 5^{-3} = \frac{1}{125} \implies x = 5 - \frac{1}{125} = \frac{624}{125} $.
Оба корня ($0$ и $\frac{624}{125}$) удовлетворяют ОДЗ ($x<5$).
Ответ: $0; \frac{624}{125}$.

д) Исходное уравнение: $ 2\log_2^2(x-2) - \log_{1/2} \frac{8}{x-2} = \log_2(2x-4) + 2 $.
ОДЗ: $ x - 2 > 0 \implies x > 2 $.
Преобразуем логарифмы в уравнении:
$ \log_{1/2} \frac{8}{x-2} = -\log_2 \frac{8}{x-2} = -(\log_2 8 - \log_2(x-2)) = -(3 - \log_2(x-2)) = \log_2(x-2) - 3 $.
$ \log_2(2x-4) = \log_2(2(x-2)) = \log_2 2 + \log_2(x-2) = 1 + \log_2(x-2) $.
Подставим в уравнение:
$ 2\log_2^2(x-2) - (\log_2(x-2) - 3) = (1 + \log_2(x-2)) + 2 $
$ 2\log_2^2(x-2) - \log_2(x-2) + 3 = 3 + \log_2(x-2) $
$ 2\log_2^2(x-2) - 2\log_2(x-2) = 0 $
Разделим на 2:
$ \log_2^2(x-2) - \log_2(x-2) = 0 $
Сделаем замену: $ t = \log_2(x-2) $.
$ t^2 - t = 0 $
$ t(t-1) = 0 $
Отсюда $ t_1 = 0 $, $ t_2 = 1 $.
Вернемся к замене:
1) $ \log_2(x-2) = 0 \implies x-2 = 2^0 = 1 \implies x = 3 $.
2) $ \log_2(x-2) = 1 \implies x-2 = 2^1 = 2 \implies x = 4 $.
Оба корня ($3$ и $4$) удовлетворяют ОДЗ ($x>2$).
Ответ: $3; 4$.

Помогло решение? Оставьте отзыв в комментариях ниже.

Присоединяйтесь к Телеграм-группе @gdz_by_belarus

Присоединиться

Мы подготовили для вас ответ c подробным объяснением домашего задания по алгебре за 11 класс, для упражнения номер 3.155 расположенного на странице 140 к учебнику 2020 года издания для учащихся школ и гимназий.

Теперь на нашем сайте ГДЗ.ТОП вы всегда легко и бесплатно найдёте условие с правильным ответом на вопрос «Как решить ДЗ» и «Как сделать» задание по алгебре к упражнению №3.155 (с. 140), авторов: Арефьева (Ирина Глебовна), Пирютко (Ольга Николаевна), учебного пособия издательства Народная асвета.