Номер 3.158, страница 141 - гдз по алгебре 11 класс учебник Арефьева, Пирютко

Алгебра, 11 класс Учебник, авторы: Арефьева Ирина Глебовна, Пирютко Ольга Николаевна, издательство Народная асвета, Минск, 2020, бирюзового цвета

Авторы: Арефьева И. Г., Пирютко О. Н.

Тип: Учебник

Издательство: Народная асвета

Год издания: 2020 - 2025

Цвет обложки: бирюзовый, зелёный с графиком

ISBN: 978-985-03-3165-6

Популярные ГДЗ в 11 классе

Глава 3. Логарифмическая функция. Параграф 9. Логарифмические уравнения - номер 3.158, страница 141.

№3.158 (с. 141)
Условие. №3.158 (с. 141)
скриншот условия
Алгебра, 11 класс Учебник, авторы: Арефьева Ирина Глебовна, Пирютко Ольга Николаевна, издательство Народная асвета, Минск, 2020, бирюзового цвета, страница 141, номер 3.158, Условие

3.158. Решите логарифмическое уравнение:

a) $\log_{x+1} (x^2 - 3x + 1) = 1;$

б) $\log_{2x+3} (5x^2 + 11x + 3) = 2;$

в) $\log_{1-x} (x^2 + x) = \log_{1-x} (4 - 2x).$

Решение. №3.158 (с. 141)
Алгебра, 11 класс Учебник, авторы: Арефьева Ирина Глебовна, Пирютко Ольга Николаевна, издательство Народная асвета, Минск, 2020, бирюзового цвета, страница 141, номер 3.158, Решение Алгебра, 11 класс Учебник, авторы: Арефьева Ирина Глебовна, Пирютко Ольга Николаевна, издательство Народная асвета, Минск, 2020, бирюзового цвета, страница 141, номер 3.158, Решение (продолжение 2)
Решение 2. №3.158 (с. 141)

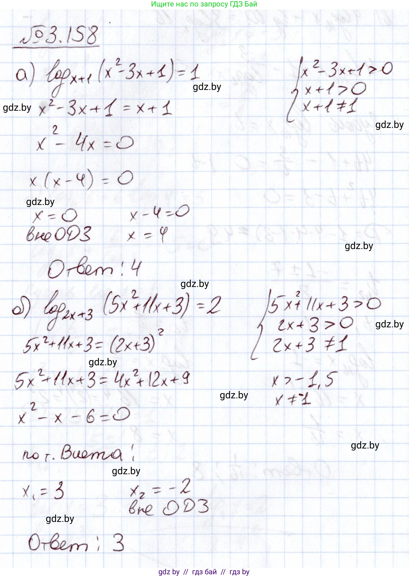
а) $\log_{x+1}(x^2 - 3x + 1) = 1$

Логарифмическое уравнение $\log_a b = c$ равносильно системе, состоящей из уравнения $b=a^c$ и ограничений на основание и аргумент логарифма (ОДЗ).

Запишем равносильную систему для данного уравнения: $ \begin{cases} x^2 - 3x + 1 = (x+1)^1 \\ x + 1 > 0 \\ x + 1 \ne 1 \end{cases} $

Сначала решим уравнение:
$x^2 - 3x + 1 = x + 1$
$x^2 - 4x = 0$
$x(x - 4) = 0$
Отсюда получаем два возможных корня: $x_1 = 0$ и $x_2 = 4$.

Теперь проверим найденные корни по условиям ОДЗ:
$x + 1 > 0 \implies x > -1$
$x + 1 \ne 1 \implies x \ne 0$

Проверка корня $x_1 = 0$:
Корень не удовлетворяет условию $x \ne 0$, следовательно, $x=0$ является посторонним корнем.

Проверка корня $x_2 = 4$:
$4 > -1$ (верно)
$4 \ne 0$ (верно)
Дополнительно убедимся, что аргумент логарифма положителен (хотя это следует из первого уравнения системы, если основание не равно 1):
$x^2 - 3x + 1 = 4^2 - 3 \cdot 4 + 1 = 16 - 12 + 1 = 5 > 0$.
Корень $x=4$ удовлетворяет всем условиям.

Ответ: 4

б) $\log_{2x+3}(5x^2 + 11x + 3) = 2$

По определению логарифма, данное уравнение равносильно системе:
$ \begin{cases} 5x^2 + 11x + 3 = (2x+3)^2 \\ 2x + 3 > 0 \\ 2x + 3 \ne 1 \end{cases} $

Решим уравнение:
$5x^2 + 11x + 3 = 4x^2 + 12x + 9$
$5x^2 - 4x^2 + 11x - 12x + 3 - 9 = 0$
$x^2 - x - 6 = 0$

Найдем корни квадратного уравнения (например, по теореме Виета):
$x_1 + x_2 = 1$
$x_1 \cdot x_2 = -6$
Корни: $x_1 = 3$ и $x_2 = -2$.

Проверим корни на соответствие ОДЗ:
$2x + 3 > 0 \implies 2x > -3 \implies x > -1.5$
$2x + 3 \ne 1 \implies 2x \ne -2 \implies x \ne -1$

Проверка корня $x_1 = 3$:
$3 > -1.5$ (верно)
$3 \ne -1$ (верно)
Корень $x=3$ является решением.

Проверка корня $x_2 = -2$:
$-2 > -1.5$ (неверно)
Следовательно, $x=-2$ — посторонний корень.

Ответ: 3

в) $\log_{1-x}(x^2 + x) = \log_{1-x}(4 - 2x)$

Если логарифмы по одному и тому же основанию равны, то равны и их аргументы. Уравнение равносильно системе:
$ \begin{cases} x^2 + x = 4 - 2x \\ 1 - x > 0 \\ 1 - x \ne 1 \\ 4 - 2x > 0 \end{cases} $

Решим уравнение:
$x^2 + x + 2x - 4 = 0$
$x^2 + 3x - 4 = 0$

Найдем корни квадратного уравнения (по теореме Виета):
$x_1 + x_2 = -3$
$x_1 \cdot x_2 = -4$
Корни: $x_1 = 1$ и $x_2 = -4$.

Проверим корни на соответствие ОДЗ:
1) $1 - x > 0 \implies x < 1$
2) $1 - x \ne 1 \implies x \ne 0$
3) $4 - 2x > 0 \implies 4 > 2x \implies x < 2$
Объединяя все условия, получаем: $x < 1$ и $x \ne 0$.

Проверка корня $x_1 = 1$:
Корень не удовлетворяет строгому неравенству $x < 1$, следовательно, это посторонний корень.

Проверка корня $x_2 = -4$:
$-4 < 1$ (верно)
$-4 \ne 0$ (верно)
Корень $x=-4$ является решением.

Ответ: -4

Помогло решение? Оставьте отзыв в комментариях ниже.

Присоединяйтесь к Телеграм-группе @gdz_by_belarus

Присоединиться

Мы подготовили для вас ответ c подробным объяснением домашего задания по алгебре за 11 класс, для упражнения номер 3.158 расположенного на странице 141 к учебнику 2020 года издания для учащихся школ и гимназий.

Теперь на нашем сайте ГДЗ.ТОП вы всегда легко и бесплатно найдёте условие с правильным ответом на вопрос «Как решить ДЗ» и «Как сделать» задание по алгебре к упражнению №3.158 (с. 141), авторов: Арефьева (Ирина Глебовна), Пирютко (Ольга Николаевна), учебного пособия издательства Народная асвета.