Номер 3.165, страница 142 - гдз по алгебре 11 класс учебник Арефьева, Пирютко

Алгебра, 11 класс Учебник, авторы: Арефьева Ирина Глебовна, Пирютко Ольга Николаевна, издательство Народная асвета, Минск, 2020, бирюзового цвета

Авторы: Арефьева И. Г., Пирютко О. Н.

Тип: Учебник

Издательство: Народная асвета

Год издания: 2020 - 2025

Цвет обложки: бирюзовый, зелёный с графиком

ISBN: 978-985-03-3165-6

Популярные ГДЗ в 11 классе

Глава 3. Логарифмическая функция. Параграф 9. Логарифмические уравнения - номер 3.165, страница 142.

№3.165 (с. 142)
Условие. №3.165 (с. 142)
скриншот условия
Алгебра, 11 класс Учебник, авторы: Арефьева Ирина Глебовна, Пирютко Ольга Николаевна, издательство Народная асвета, Минск, 2020, бирюзового цвета, страница 142, номер 3.165, Условие

3.165. Решите систему уравнений:

а) $$\begin{cases} \log_3 (x^2 + y^2) = 2, \\ y - 2\sqrt{2x} = 0; \end{cases}$$

б) $$\begin{cases} 4\log_2 x + \log_2 (y + 1) = 6, \\ \log_2 x \cdot \log_2 (y + 1) = 2; \end{cases}$$

в) $$\begin{cases} 3 \cdot 2^x - \log_2 y = 2, \\ 2^x \cdot \log_2 y = 1; \end{cases}$$

г) $$\begin{cases} 25^x \cdot 5^y = \frac{1}{\sqrt{5}}, \\ \log_2 (2y - x) = 2. \end{cases}$$

Решение. №3.165 (с. 142)
Алгебра, 11 класс Учебник, авторы: Арефьева Ирина Глебовна, Пирютко Ольга Николаевна, издательство Народная асвета, Минск, 2020, бирюзового цвета, страница 142, номер 3.165, Решение Алгебра, 11 класс Учебник, авторы: Арефьева Ирина Глебовна, Пирютко Ольга Николаевна, издательство Народная асвета, Минск, 2020, бирюзового цвета, страница 142, номер 3.165, Решение (продолжение 2) Алгебра, 11 класс Учебник, авторы: Арефьева Ирина Глебовна, Пирютко Ольга Николаевна, издательство Народная асвета, Минск, 2020, бирюзового цвета, страница 142, номер 3.165, Решение (продолжение 3)
Решение 2. №3.165 (с. 142)

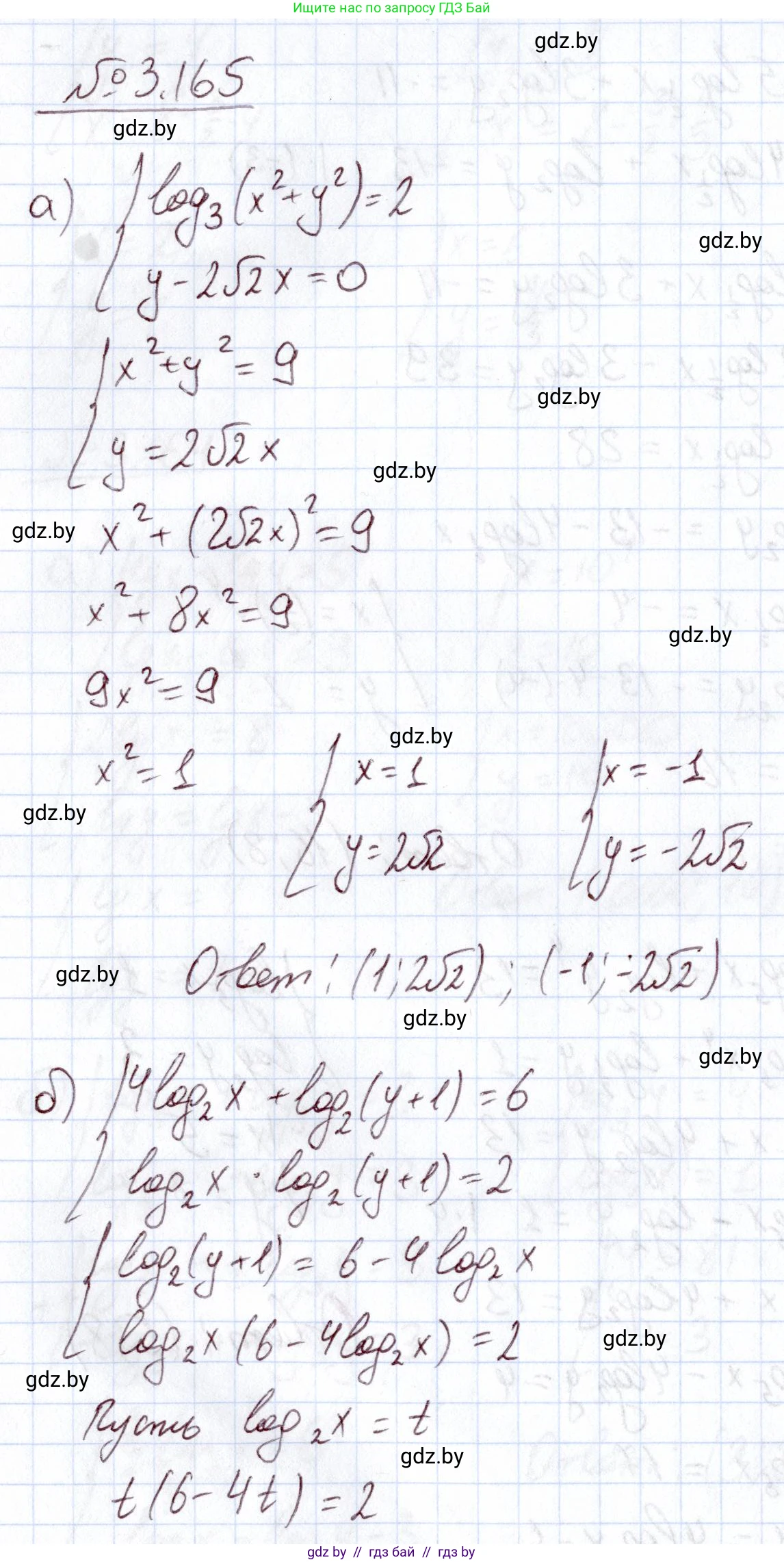
а)

Дана система уравнений:

$ \begin{cases} \log_3(x^2 + y^2) = 2, \\ y - 2\sqrt{2x} = 0; \end{cases} $

Найдем область допустимых значений (ОДЗ). Из первого уравнения следует, что аргумент логарифма должен быть строго положительным: $x^2 + y^2 > 0$. Это условие выполняется для всех пар $(x, y)$, кроме $(0, 0)$. Из второго уравнения следует, что подкоренное выражение должно быть неотрицательным: $2x \ge 0$, откуда $x \ge 0$. Объединяя условия, получаем ОДЗ: $x \ge 0$ и $(x, y) \ne (0, 0)$.

Решим систему. Из второго уравнения выразим $y$ через $x$:

$y = 2\sqrt{2x}$

Подставим это выражение в первое уравнение системы:

$\log_3(x^2 + (2\sqrt{2x})^2) = 2$

Упростим выражение под знаком логарифма:

$x^2 + 4 \cdot 2x = x^2 + 8x$

Теперь уравнение имеет вид:

$\log_3(x^2 + 8x) = 2$

По определению логарифма, это уравнение равносильно следующему:

$x^2 + 8x = 3^2$

$x^2 + 8x - 9 = 0$

Это квадратное уравнение. Его корни можно найти, например, по теореме Виета. Сумма корней равна $-8$, а их произведение равно $-9$. Отсюда корни: $x_1 = 1$ и $x_2 = -9$.

Проверим найденные корни на соответствие ОДЗ ($x \ge 0$).

Корень $x_1 = 1$ удовлетворяет условию $x \ge 0$.

Корень $x_2 = -9$ не удовлетворяет условию $x \ge 0$, поэтому является посторонним.

Следовательно, единственное возможное значение для $x$ - это $1$.

Найдем соответствующее значение $y$, подставив $x=1$ в выражение для $y$:

$y = 2\sqrt{2x} = 2\sqrt{2 \cdot 1} = 2\sqrt{2}$

Таким образом, решение системы: $(1, 2\sqrt{2})$.

Ответ: $(1, 2\sqrt{2})$

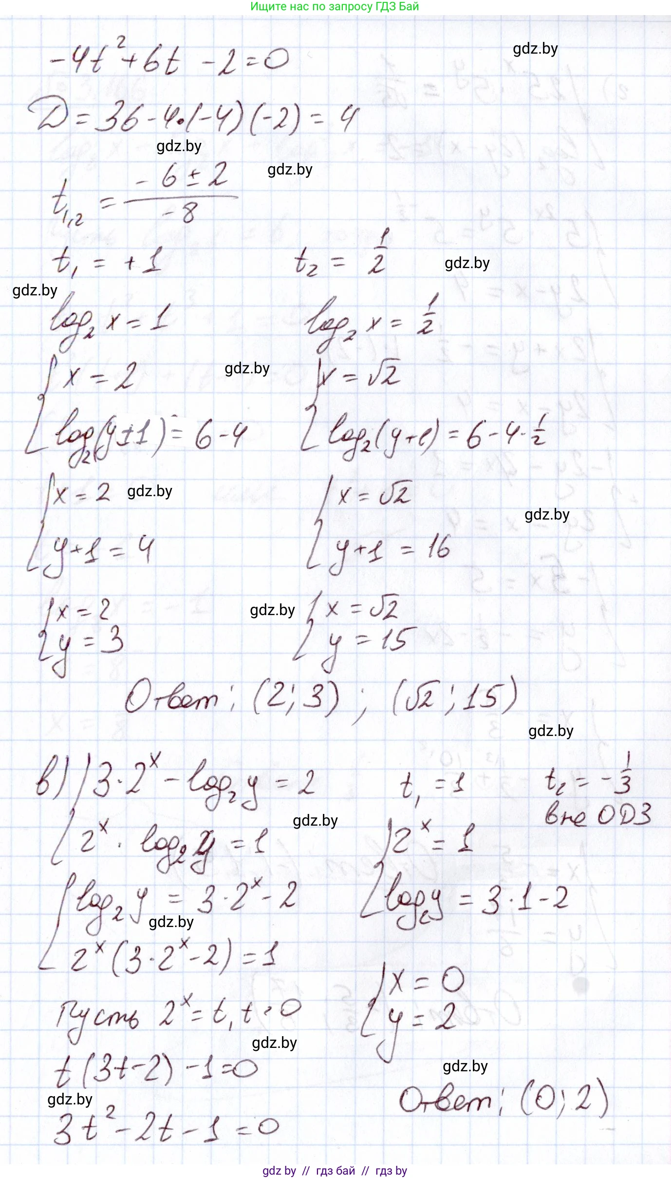
б)

Дана система уравнений:

$ \begin{cases} 4\log_2 x + \log_2(y+1) = 6, \\ \log_2 x \cdot \log_2(y+1) = 2; \end{cases} $

ОДЗ: аргументы логарифмов должны быть положительными, т.е. $x > 0$ и $y+1 > 0$, что равносильно $y > -1$.

Для решения системы удобно ввести замену переменных. Пусть $a = \log_2 x$ и $b = \log_2(y+1)$. Система примет вид:

$ \begin{cases} 4a + b = 6, \\ a \cdot b = 2; \end{cases} $

Из первого уравнения выразим $b = 6 - 4a$ и подставим во второе уравнение:

$a(6-4a) = 2$

$6a - 4a^2 = 2$

$4a^2 - 6a + 2 = 0$

Разделим уравнение на 2 для упрощения:

$2a^2 - 3a + 1 = 0$

Решим полученное квадратное уравнение относительно $a$. Дискриминант $D = (-3)^2 - 4 \cdot 2 \cdot 1 = 9 - 8 = 1$.

$a = \frac{3 \pm \sqrt{1}}{2 \cdot 2} = \frac{3 \pm 1}{4}$

Получаем два возможных значения для $a$:

$a_1 = \frac{3+1}{4} = 1$

$a_2 = \frac{3-1}{4} = \frac{2}{4} = \frac{1}{2}$

Для каждого значения $a$ найдем соответствующее значение $b$:

1. Если $a_1 = 1$, то $b_1 = 6 - 4a_1 = 6 - 4 \cdot 1 = 2$.

2. Если $a_2 = 1/2$, то $b_2 = 6 - 4a_2 = 6 - 4 \cdot \frac{1}{2} = 6 - 2 = 4$.

Теперь выполним обратную замену, чтобы найти $x$ и $y$ для каждой пары $(a, b)$:

Случай 1: $a=1, b=2$.

$\log_2 x = 1 \implies x = 2^1 = 2$

$\log_2(y+1) = 2 \implies y+1 = 2^2 = 4 \implies y = 3$

Получили решение $(2, 3)$. Проверяем ОДЗ: $x=2 > 0$ и $y=3 > -1$. Решение подходит.

Случай 2: $a=1/2, b=4$.

$\log_2 x = 1/2 \implies x = 2^{1/2} = \sqrt{2}$

$\log_2(y+1) = 4 \implies y+1 = 2^4 = 16 \implies y = 15$

Получили решение $(\sqrt{2}, 15)$. Проверяем ОДЗ: $x=\sqrt{2} > 0$ и $y=15 > -1$. Решение подходит.

Ответ: $(2, 3), (\sqrt{2}, 15)$

в)

Дана система уравнений:

$ \begin{cases} 3 \cdot 2^x - \log_2 y = 2, \\ 2^x \cdot \log_2 y = 1; \end{cases} $

ОДЗ: $y > 0$.

Введем замену переменных. Пусть $u = 2^x$ и $v = \log_2 y$. Так как показательная функция $2^x$ всегда положительна, то $u > 0$.

Система в новых переменных:

$ \begin{cases} 3u - v = 2, \\ u \cdot v = 1; \end{cases} $

Из второго уравнения выразим $v = 1/u$ (это возможно, так как $u>0$) и подставим в первое:

$3u - \frac{1}{u} = 2$

Умножим обе части на $u$, чтобы избавиться от дроби:

$3u^2 - 1 = 2u$

$3u^2 - 2u - 1 = 0$

Решим квадратное уравнение. Дискриминант $D = (-2)^2 - 4 \cdot 3 \cdot (-1) = 4 + 12 = 16$.

$u = \frac{2 \pm \sqrt{16}}{2 \cdot 3} = \frac{2 \pm 4}{6}$

Получаем два корня:

$u_1 = \frac{2+4}{6} = 1$

$u_2 = \frac{2-4}{6} = -\frac{2}{6} = -\frac{1}{3}$

Учитывая условие $u > 0$, нам подходит только корень $u_1 = 1$.

Найдем соответствующее значение $v$: $v = 1/u = 1/1 = 1$.

Выполним обратную замену:

$u = 2^x = 1 \implies 2^x = 2^0 \implies x = 0$

$v = \log_2 y = 1 \implies y = 2^1 = 2$

Решение $(0, 2)$ удовлетворяет ОДЗ ($y=2>0$).

Ответ: $(0, 2)$

г)

Дана система уравнений:

$ \begin{cases} 25^x \cdot 5^y = \frac{1}{\sqrt{5}}, \\ \log_2(2y - x) = 2. \end{cases} $

ОДЗ: $2y - x > 0$.

Преобразуем первое уравнение, приведя все степени к основанию 5:

$25^x = (5^2)^x = 5^{2x}$

$\frac{1}{\sqrt{5}} = \frac{1}{5^{1/2}} = 5^{-1/2}$

Первое уравнение примет вид:

$5^{2x} \cdot 5^y = 5^{-1/2}$

$5^{2x+y} = 5^{-1/2}$

Приравнивая показатели степени, получаем линейное уравнение: $2x + y = -1/2$.

Теперь преобразуем второе уравнение. По определению логарифма:

$2y - x = 2^2 = 4$

Таким образом, мы получили систему двух линейных уравнений с двумя переменными:

$ \begin{cases} 2x + y = -1/2, \\ -x + 2y = 4. \end{cases} $

Из второго уравнения выразим $x$: $x = 2y - 4$.

Подставим это выражение в первое уравнение:

$2(2y-4) + y = -1/2$

$4y - 8 + y = -1/2$

$5y = 8 - 1/2$

$5y = \frac{16}{2} - \frac{1}{2} = \frac{15}{2}$

$y = \frac{15}{2 \cdot 5} = \frac{3}{2}$

Теперь найдем $x$, подставив значение $y$:

$x = 2y - 4 = 2 \cdot \frac{3}{2} - 4 = 3 - 4 = -1$

Получили решение $(-1, 3/2)$.

Проверим, удовлетворяет ли оно ОДЗ: $2y-x > 0$.

$2 \cdot \frac{3}{2} - (-1) = 3 + 1 = 4$. Так как $4 > 0$, условие выполнено.

Ответ: $(-1, 3/2)$

Помогло решение? Оставьте отзыв в комментариях ниже.

Присоединяйтесь к Телеграм-группе @gdz_by_belarus

Присоединиться

Мы подготовили для вас ответ c подробным объяснением домашего задания по алгебре за 11 класс, для упражнения номер 3.165 расположенного на странице 142 к учебнику 2020 года издания для учащихся школ и гимназий.

Теперь на нашем сайте ГДЗ.ТОП вы всегда легко и бесплатно найдёте условие с правильным ответом на вопрос «Как решить ДЗ» и «Как сделать» задание по алгебре к упражнению №3.165 (с. 142), авторов: Арефьева (Ирина Глебовна), Пирютко (Ольга Николаевна), учебного пособия издательства Народная асвета.