Номер 3.169, страница 142 - гдз по алгебре 11 класс учебник Арефьева, Пирютко

Алгебра, 11 класс Учебник, авторы: Арефьева Ирина Глебовна, Пирютко Ольга Николаевна, издательство Народная асвета, Минск, 2020, бирюзового цвета

Авторы: Арефьева И. Г., Пирютко О. Н.

Тип: Учебник

Издательство: Народная асвета

Год издания: 2020 - 2025

Цвет обложки: бирюзовый, зелёный с графиком

ISBN: 978-985-03-3165-6

Популярные ГДЗ в 11 классе

Глава 3. Логарифмическая функция. Параграф 9. Логарифмические уравнения - номер 3.169, страница 142.

№3.169 (с. 142)
Условие. №3.169 (с. 142)
скриншот условия
Алгебра, 11 класс Учебник, авторы: Арефьева Ирина Глебовна, Пирютко Ольга Николаевна, издательство Народная асвета, Минск, 2020, бирюзового цвета, страница 142, номер 3.169, Условие

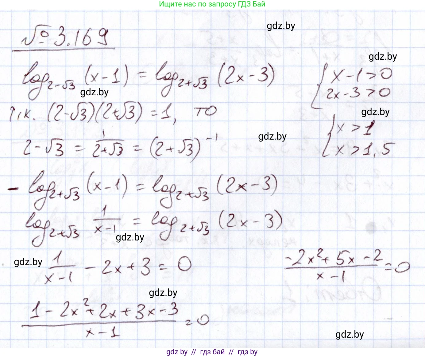
3.169*. Решите уравнение $ \log_{2-\sqrt{3}}(x-1) = \log_{2+\sqrt{3}}(2x-3) $

Решение. №3.169 (с. 142)
Алгебра, 11 класс Учебник, авторы: Арефьева Ирина Глебовна, Пирютко Ольга Николаевна, издательство Народная асвета, Минск, 2020, бирюзового цвета, страница 142, номер 3.169, Решение Алгебра, 11 класс Учебник, авторы: Арефьева Ирина Глебовна, Пирютко Ольга Николаевна, издательство Народная асвета, Минск, 2020, бирюзового цвета, страница 142, номер 3.169, Решение (продолжение 2)
Решение 2. №3.169 (с. 142)

Для решения уравнения $ \log_{2-\sqrt{3}}(x-1) = \log_{2+\sqrt{3}}(2x-3) $ сначала найдем область допустимых значений (ОДЗ).

Аргументы логарифмов должны быть строго положительными:

$ \begin{cases} x - 1 > 0 \\ 2x - 3 > 0 \end{cases} \implies \begin{cases} x > 1 \\ x > 1.5 \end{cases} $

Таким образом, ОДЗ: $ x > 1.5 $.

Заметим, что основания логарифмов $ 2-\sqrt{3} $ и $ 2+\sqrt{3} $ являются взаимно обратными числами, так как их произведение равно 1:

$ (2-\sqrt{3})(2+\sqrt{3}) = 2^2 - (\sqrt{3})^2 = 4-3 = 1 $

Это позволяет нам выразить одно основание через другое: $ 2+\sqrt{3} = \frac{1}{2-\sqrt{3}} = (2-\sqrt{3})^{-1} $.

Теперь приведем логарифм в правой части уравнения к основанию $ 2-\sqrt{3} $, используя свойство логарифма $ \log_{a^k} b = \frac{1}{k}\log_a b $:

$ \log_{2+\sqrt{3}}(2x-3) = \log_{(2-\sqrt{3})^{-1}}(2x-3) = -1 \cdot \log_{2-\sqrt{3}}(2x-3) = -\log_{2-\sqrt{3}}(2x-3) $

Подставим это выражение в исходное уравнение:

$ \log_{2-\sqrt{3}}(x-1) = -\log_{2-\sqrt{3}}(2x-3) $

Используя свойство логарифма $ k \log_a b = \log_a(b^k) $, перенесем коэффициент -1 в степень аргумента логарифма:

$ \log_{2-\sqrt{3}}(x-1) = \log_{2-\sqrt{3}}\left((2x-3)^{-1}\right) $

$ \log_{2-\sqrt{3}}(x-1) = \log_{2-\sqrt{3}}\left(\frac{1}{2x-3}\right) $

Так как логарифмическая функция является монотонной, равенство логарифмов с одинаковым основанием влечет за собой равенство их аргументов:

$ x-1 = \frac{1}{2x-3} $

Решим полученное уравнение, умножив обе части на $ 2x-3 $ (что не равно нулю в силу ОДЗ):

$ (x-1)(2x-3) = 1 $

$ 2x^2 - 3x - 2x + 3 = 1 $

$ 2x^2 - 5x + 2 = 0 $

Найдем корни этого квадратного уравнения через дискриминант:

$ D = b^2 - 4ac = (-5)^2 - 4 \cdot 2 \cdot 2 = 25 - 16 = 9 $

$ x_{1,2} = \frac{-b \pm \sqrt{D}}{2a} = \frac{5 \pm \sqrt{9}}{4} = \frac{5 \pm 3}{4} $

Получаем два корня:

$ x_1 = \frac{5+3}{4} = \frac{8}{4} = 2 $

$ x_2 = \frac{5-3}{4} = \frac{2}{4} = \frac{1}{2} $

Теперь необходимо проверить, удовлетворяют ли найденные корни ОДЗ ($ x > 1.5 $).

Корень $ x_1 = 2 $ удовлетворяет условию $ 2 > 1.5 $.

Корень $ x_2 = 0.5 $ не удовлетворяет условию $ 0.5 > 1.5 $, поэтому он является посторонним.

Следовательно, единственным решением уравнения является $ x=2 $.

Ответ: $2$

Помогло решение? Оставьте отзыв в комментариях ниже.

Присоединяйтесь к Телеграм-группе @gdz_by_belarus

Присоединиться

Мы подготовили для вас ответ c подробным объяснением домашего задания по алгебре за 11 класс, для упражнения номер 3.169 расположенного на странице 142 к учебнику 2020 года издания для учащихся школ и гимназий.

Теперь на нашем сайте ГДЗ.ТОП вы всегда легко и бесплатно найдёте условие с правильным ответом на вопрос «Как решить ДЗ» и «Как сделать» задание по алгебре к упражнению №3.169 (с. 142), авторов: Арефьева (Ирина Глебовна), Пирютко (Ольга Николаевна), учебного пособия издательства Народная асвета.