Номер 3.174, страница 142 - гдз по алгебре 11 класс учебник Арефьева, Пирютко

Алгебра, 11 класс Учебник, авторы: Арефьева Ирина Глебовна, Пирютко Ольга Николаевна, издательство Народная асвета, Минск, 2020, бирюзового цвета

Авторы: Арефьева И. Г., Пирютко О. Н.

Тип: Учебник

Издательство: Народная асвета

Год издания: 2020 - 2025

Цвет обложки: бирюзовый, зелёный с графиком

ISBN: 978-985-03-3165-6

Популярные ГДЗ в 11 классе

Глава 3. Логарифмическая функция. Параграф 9. Логарифмические уравнения - номер 3.174, страница 142.

№3.174 (с. 142)
Условие. №3.174 (с. 142)
скриншот условия
Алгебра, 11 класс Учебник, авторы: Арефьева Ирина Глебовна, Пирютко Ольга Николаевна, издательство Народная асвета, Минск, 2020, бирюзового цвета, страница 142, номер 3.174, Условие

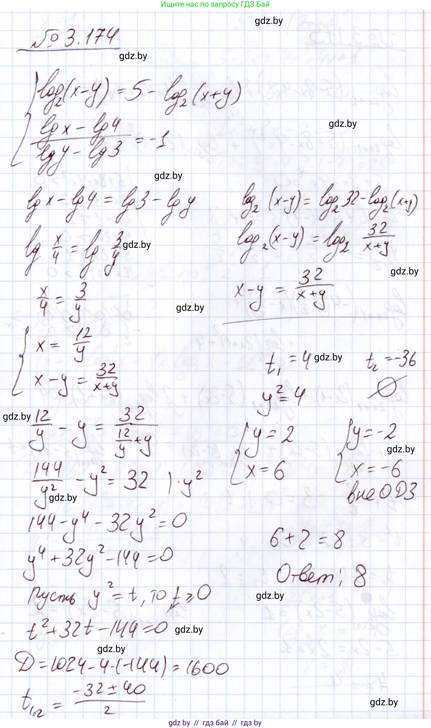
3.174*. Найдите сумму $x_0 + y_0$, где $(x_0; y_0)$ — решение системы уравнений

$ \begin{cases} \log_2(x - y) = 5 - \log_2(x + y), \\ \frac{\lg x - \lg 4}{\lg y - \lg 3} = -1. \end{cases} $

Решение. №3.174 (с. 142)
Алгебра, 11 класс Учебник, авторы: Арефьева Ирина Глебовна, Пирютко Ольга Николаевна, издательство Народная асвета, Минск, 2020, бирюзового цвета, страница 142, номер 3.174, Решение
Решение 2. №3.174 (с. 142)

Для решения данной системы уравнений сначала определим область допустимых значений (ОДЗ). Аргументы всех логарифмов должны быть строго положительными, а знаменатель дроби не должен равняться нулю.

Из первого уравнения:

  • $x - y > 0 \implies x > y$
  • $x + y > 0$

Из второго уравнения:

  • $x > 0$
  • $y > 0$
  • $\lg y - \lg 3 \neq 0 \implies \lg y \neq \lg 3 \implies y \neq 3$

Объединяя все условия, получаем ОДЗ: $x > 0, y > 0, x > y, y \neq 3$.

Теперь приступим к решению системы:

$$\begin{cases}\log_2(x - y) = 5 - \log_2(x + y), \\\frac{\lg x - \lg 4}{\lg y - \lg 3} = -1.\end{cases}$$

Преобразуем первое уравнение. Перенесем логарифм в левую часть и воспользуемся свойством суммы логарифмов $\log_a b + \log_a c = \log_a(bc)$:

$\log_2(x - y) + \log_2(x + y) = 5$

$\log_2((x - y)(x + y)) = 5$

Применяя формулу разности квадратов, получаем:

$\log_2(x^2 - y^2) = 5$

По определению логарифма:

$x^2 - y^2 = 2^5$

$x^2 - y^2 = 32$

Теперь преобразуем второе уравнение. Умножим обе части на знаменатель $(\lg y - \lg 3)$:

$\lg x - \lg 4 = -(\lg y - \lg 3)$

$\lg x - \lg 4 = -\lg y + \lg 3$

Сгруппируем слагаемые с переменными в левой части, а с константами — в правой:

$\lg x + \lg y = \lg 3 + \lg 4$

Используя свойство суммы логарифмов:

$\lg(xy) = \lg(3 \cdot 4)$

$\lg(xy) = \lg(12)$

Так как основания логарифмов равны, то равны и их аргументы:

$xy = 12$

Таким образом, исходная система эквивалентна следующей системе алгебраических уравнений (с учетом ОДЗ):

$$\begin{cases}x^2 - y^2 = 32, \\xy = 12.\end{cases}$$

Из второго уравнения выразим $y$ через $x$ (из ОДЗ $x>0$, поэтому деление на $x$ возможно):

$y = \frac{12}{x}$

Подставим это выражение в первое уравнение:

$x^2 - \left(\frac{12}{x}\right)^2 = 32$

$x^2 - \frac{144}{x^2} = 32$

Умножим все члены уравнения на $x^2$, чтобы избавиться от знаменателя:

$x^4 - 144 = 32x^2$

Получаем биквадратное уравнение:

$x^4 - 32x^2 - 144 = 0$

Сделаем замену $t = x^2$. Так как $x > 0$, то $t > 0$.

$t^2 - 32t - 144 = 0$

Решим это квадратное уравнение. Вычислим дискриминант:

$D = (-32)^2 - 4 \cdot 1 \cdot (-144) = 1024 + 576 = 1600 = 40^2$

Найдем корни для $t$:

$t_1 = \frac{32 + 40}{2} = \frac{72}{2} = 36$

$t_2 = \frac{32 - 40}{2} = \frac{-8}{2} = -4$

Поскольку $t=x^2$, $t$ должно быть положительным. Следовательно, корень $t_2 = -4$ является посторонним. Остается $t_1 = 36$.

Выполним обратную замену:

$x^2 = 36$

Учитывая ОДЗ ($x>0$), получаем $x_0 = 6$.

Теперь найдем $y_0$:

$y_0 = \frac{12}{x_0} = \frac{12}{6} = 2$

Итак, решение системы $(x_0; y_0) = (6; 2)$.

Проверим, соответствует ли найденное решение ОДЗ:

$x_0=6>0$ (верно), $y_0=2>0$ (верно), $x_0 > y_0 \implies 6 > 2$ (верно), $y_0 \neq 3 \implies 2 \neq 3$ (верно).

Все условия ОДЗ выполнены.

По условию задачи требуется найти сумму $x_0 + y_0$.

$x_0 + y_0 = 6 + 2 = 8$

Ответ: 8.

Помогло решение? Оставьте отзыв в комментариях ниже.

Присоединяйтесь к Телеграм-группе @gdz_by_belarus

Присоединиться

Мы подготовили для вас ответ c подробным объяснением домашего задания по алгебре за 11 класс, для упражнения номер 3.174 расположенного на странице 142 к учебнику 2020 года издания для учащихся школ и гимназий.

Теперь на нашем сайте ГДЗ.ТОП вы всегда легко и бесплатно найдёте условие с правильным ответом на вопрос «Как решить ДЗ» и «Как сделать» задание по алгебре к упражнению №3.174 (с. 142), авторов: Арефьева (Ирина Глебовна), Пирютко (Ольга Николаевна), учебного пособия издательства Народная асвета.