Номер 3.175, страница 143 - гдз по алгебре 11 класс учебник Арефьева, Пирютко

Алгебра, 11 класс Учебник, авторы: Арефьева Ирина Глебовна, Пирютко Ольга Николаевна, издательство Народная асвета, Минск, 2020, бирюзового цвета

Авторы: Арефьева И. Г., Пирютко О. Н.

Тип: Учебник

Издательство: Народная асвета

Год издания: 2020 - 2025

Цвет обложки: бирюзовый, зелёный с графиком

ISBN: 978-985-03-3165-6

Популярные ГДЗ в 11 классе

Глава 3. Логарифмическая функция. Параграф 9. Логарифмические уравнения - номер 3.175, страница 143.

№3.175 (с. 143)
Условие. №3.175 (с. 143)
скриншот условия
Алгебра, 11 класс Учебник, авторы: Арефьева Ирина Глебовна, Пирютко Ольга Николаевна, издательство Народная асвета, Минск, 2020, бирюзового цвета, страница 143, номер 3.175, Условие

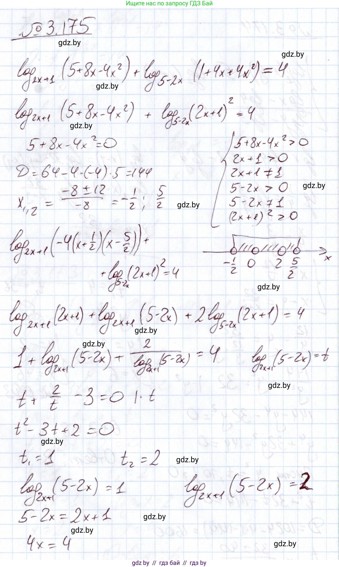
3.175*. Найдите число корней уравнения

$\log_{2x+1}(5+8x-4x^2) + \log_{5-2x}(1+4x+4x^2)=4.$

Решение. №3.175 (с. 143)
Алгебра, 11 класс Учебник, авторы: Арефьева Ирина Глебовна, Пирютко Ольга Николаевна, издательство Народная асвета, Минск, 2020, бирюзового цвета, страница 143, номер 3.175, Решение Алгебра, 11 класс Учебник, авторы: Арефьева Ирина Глебовна, Пирютко Ольга Николаевна, издательство Народная асвета, Минск, 2020, бирюзового цвета, страница 143, номер 3.175, Решение (продолжение 2)
Решение 2. №3.175 (с. 143)

Для решения уравнения $ \log_{2x+1}(5 + 8x - 4x^2) + \log_{5-2x}(1 + 4x + 4x^2) = 4 $ необходимо сначала найти его область допустимых значений (ОДЗ).

1. Нахождение Области допустимых значений (ОДЗ)

Для существования логарифмов их основания должны быть положительными и не равняться единице, а подлогарифмические выражения — строго положительными. Запишем соответствующую систему неравенств:

$$ \begin{cases} 2x + 1 > 0 \\ 2x + 1 \neq 1 \\ 5 + 8x - 4x^2 > 0 \\ 5 - 2x > 0 \\ 5 - 2x \neq 1 \\ 1 + 4x + 4x^2 > 0 \end{cases} $$

Решим каждое неравенство по отдельности:
1) $2x + 1 > 0 \implies 2x > -1 \implies x > -1/2$
2) $2x + 1 \neq 1 \implies 2x \neq 0 \implies x \neq 0$
3) $5 + 8x - 4x^2 > 0 \implies 4x^2 - 8x - 5 < 0$. Найдем корни квадратного трехчлена $4x^2 - 8x - 5 = 0$. Дискриминант $D = (-8)^2 - 4 \cdot 4 \cdot (-5) = 64 + 80 = 144$. Корни: $x_{1,2} = \frac{8 \pm 12}{8}$, то есть $x_1 = -1/2$ и $x_2 = 5/2$. Так как ветви параболы направлены вверх, неравенство выполняется на интервале $(-1/2, 5/2)$.
4) $5 - 2x > 0 \implies 5 > 2x \implies x < 5/2$
5) $5 - 2x \neq 1 \implies 4 \neq 2x \implies x \neq 2$
6) $1 + 4x + 4x^2 = (2x + 1)^2 > 0$. Это неравенство выполняется для всех $x$, при которых $2x + 1 \neq 0$, то есть $x \neq -1/2$.

Объединив все полученные условия, находим ОДЗ: $x \in (-1/2; 0) \cup (0; 2) \cup (2; 5/2)$.

2. Упрощение исходного уравнения

Заметим, что подлогарифмические выражения можно преобразовать.
Выражение $1 + 4x + 4x^2$ является полным квадратом: $1 + 4x + 4x^2 = (2x+1)^2$.
Выражение $5 + 8x - 4x^2$ можно представить как произведение оснований логарифмов: $(2x+1)(5-2x) = 10x - 4x^2 + 5 - 2x = -4x^2 + 8x + 5$.
Подставим эти упрощенные выражения в исходное уравнение:$$ \log_{2x+1}((2x+1)(5-2x)) + \log_{5-2x}((2x+1)^2) = 4 $$

Используем свойства логарифмов $\log_a(bc) = \log_a b + \log_a c$ и $\log_a(b^n) = n \log_a b$:$$ (\log_{2x+1}(2x+1) + \log_{2x+1}(5-2x)) + 2\log_{5-2x}(2x+1) = 4 $$

Так как $\log_a a = 1$, уравнение принимает вид:$$ 1 + \log_{2x+1}(5-2x) + 2\log_{5-2x}(2x+1) = 4 $$$$ \log_{2x+1}(5-2x) + 2\log_{5-2x}(2x+1) = 3 $$

3. Решение уравнения с помощью замены

Введем замену переменной. Пусть $t = \log_{2x+1}(5-2x)$.
Используя свойство логарифма $\log_b a = \frac{1}{\log_a b}$, получаем $\log_{5-2x}(2x+1) = \frac{1}{t}$.
Подставим замену в уравнение:$$ t + \frac{2}{t} = 3 $$

Поскольку $x \neq 2$ (из ОДЗ), то $5-2x \neq 1$, и, следовательно, $t = \log_{2x+1}(5-2x) \neq 0$. Это позволяет умножить обе части уравнения на $t$:$$ t^2 + 2 = 3t $$$$ t^2 - 3t + 2 = 0 $$

Решим полученное квадратное уравнение. По теореме Виета, его корни равны $t_1 = 1$ и $t_2 = 2$.

4. Обратная замена и нахождение корней $x$

Теперь необходимо выполнить обратную замену для каждого найденного значения $t$.
Случай 1: $t = 1$.$$ \log_{2x+1}(5-2x) = 1 $$По определению логарифма:$$ 5 - 2x = (2x+1)^1 $$$$ 5 - 2x = 2x + 1 $$$$ 4 = 4x $$$$ x = 1 $$Проверяем принадлежность корня ОДЗ: $1 \in (-1/2; 0) \cup (0; 2) \cup (2; 5/2)$. Корень подходит.

Случай 2: $t = 2$.$$ \log_{2x+1}(5-2x) = 2 $$По определению логарифма:$$ 5 - 2x = (2x+1)^2 $$$$ 5 - 2x = 4x^2 + 4x + 1 $$$$ 4x^2 + 6x - 4 = 0 $$Разделим обе части на 2:$$ 2x^2 + 3x - 2 = 0 $$Найдем корни этого квадратного уравнения через дискриминант $D = 3^2 - 4(2)(-2) = 9 + 16 = 25$.
$x = \frac{-3 \pm \sqrt{25}}{2 \cdot 2} = \frac{-3 \pm 5}{4}$.
$x_1 = \frac{-3 - 5}{4} = -2$. Этот корень не принадлежит ОДЗ, так как $-2 < -1/2$.
$x_2 = \frac{-3 + 5}{4} = \frac{2}{4} = \frac{1}{2}$. Этот корень принадлежит ОДЗ, так как $1/2 \in (0; 2)$. Корень подходит.

Таким образом, исходное уравнение имеет два корня: $x=1$ и $x=1/2$. Требуется найти число корней.

Ответ: 2.

Помогло решение? Оставьте отзыв в комментариях ниже.

Присоединяйтесь к Телеграм-группе @gdz_by_belarus

Присоединиться

Мы подготовили для вас ответ c подробным объяснением домашего задания по алгебре за 11 класс, для упражнения номер 3.175 расположенного на странице 143 к учебнику 2020 года издания для учащихся школ и гимназий.

Теперь на нашем сайте ГДЗ.ТОП вы всегда легко и бесплатно найдёте условие с правильным ответом на вопрос «Как решить ДЗ» и «Как сделать» задание по алгебре к упражнению №3.175 (с. 143), авторов: Арефьева (Ирина Глебовна), Пирютко (Ольга Николаевна), учебного пособия издательства Народная асвета.