Номер 3.178, страница 143 - гдз по алгебре 11 класс учебник Арефьева, Пирютко

Алгебра, 11 класс Учебник, авторы: Арефьева Ирина Глебовна, Пирютко Ольга Николаевна, издательство Народная асвета, Минск, 2020, бирюзового цвета

Авторы: Арефьева И. Г., Пирютко О. Н.

Тип: Учебник

Издательство: Народная асвета

Год издания: 2020 - 2025

Цвет обложки: бирюзовый, зелёный с графиком

ISBN: 978-985-03-3165-6

Популярные ГДЗ в 11 классе

Глава 3. Логарифмическая функция. Параграф 9. Логарифмические уравнения - номер 3.178, страница 143.

№3.178 (с. 143)
Условие. №3.178 (с. 143)
скриншот условия
Алгебра, 11 класс Учебник, авторы: Арефьева Ирина Глебовна, Пирютко Ольга Николаевна, издательство Народная асвета, Минск, 2020, бирюзового цвета, страница 143, номер 3.178, Условие

3.178. Найдите все корни уравнения:

а) $ \text{lg}(5x - 9) = \text{lg}(3x + 1); $

б) $ \log_{\frac{1}{2}}(3x + 1) = \log_{\frac{1}{2}}(x - 3); $

в) $ \text{lg}(x^2 + 2x - 7) = \text{lg}(x - 1); $

г) $ \log_7(x^2 - 4x - 7) = \log_7(5 - 3x); $

д) $ \text{lg}(x^2 + 12x + 28) - \text{lg}(x + 4) = 0; $

е) $ \log_3(x^3 + x^2 - 4x + 2) = \log_3(x^3 - 1). $

Решение. №3.178 (с. 143)
Алгебра, 11 класс Учебник, авторы: Арефьева Ирина Глебовна, Пирютко Ольга Николаевна, издательство Народная асвета, Минск, 2020, бирюзового цвета, страница 143, номер 3.178, Решение Алгебра, 11 класс Учебник, авторы: Арефьева Ирина Глебовна, Пирютко Ольга Николаевна, издательство Народная асвета, Минск, 2020, бирюзового цвета, страница 143, номер 3.178, Решение (продолжение 2)
Решение 2. №3.178 (с. 143)

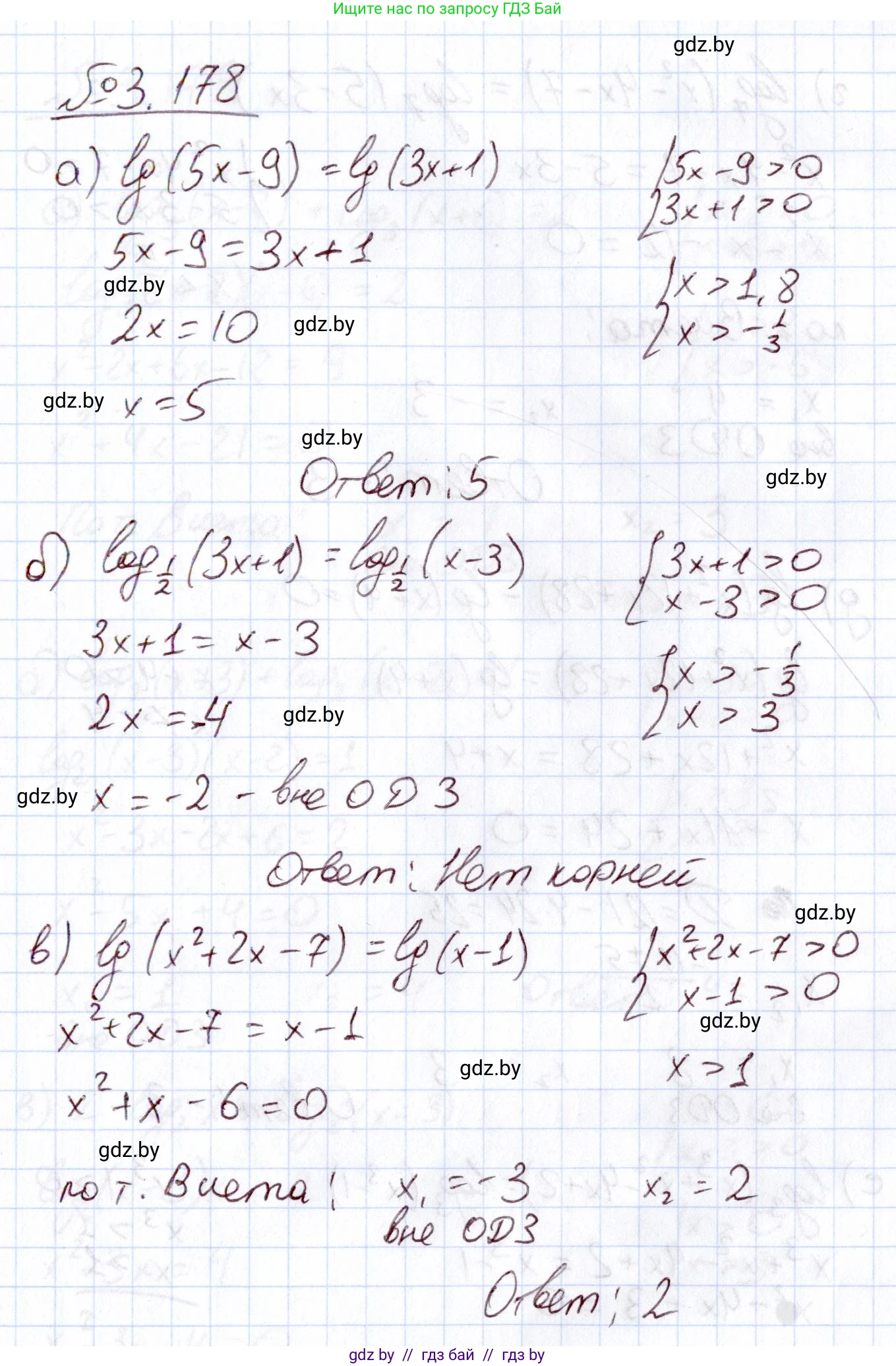
а) $lg(5x - 9) = lg(3x + 1)$

Данное уравнение эквивалентно системе, состоящей из уравнения, полученного приравниванием аргументов логарифмов, и неравенства, задающего область допустимых значений (ОДЗ). Поскольку аргументы должны быть равны, достаточно потребовать, чтобы один из них был больше нуля.

$\begin{cases} 5x - 9 = 3x + 1 \\ 3x + 1 > 0 \end{cases}$

Решим сначала уравнение:

$5x - 3x = 1 + 9$

$2x = 10$

$x = 5$

Теперь подставим найденное значение $x$ в неравенство, чтобы проверить, входит ли оно в ОДЗ:

$3(5) + 1 = 15 + 1 = 16 > 0$

Условие выполняется. Также проверим второй аргумент: $5(5) - 9 = 25 - 9 = 16 > 0$. Условие выполняется.

Ответ: $5$

б) $\log_{\frac{1}{2}}(3x + 1) = \log_{\frac{1}{2}}(x - 3)$

Так как основания логарифмов равны, приравниваем их аргументы. Также необходимо учесть область допустимых значений (ОДЗ).

ОДЗ определяется системой неравенств:

$3x + 1 > 0 \Rightarrow 3x > -1 \Rightarrow x > -\frac{1}{3}$

$x - 3 > 0 \Rightarrow x > 3$

Пересечением этих условий является $x > 3$.

Теперь решим уравнение:

$3x + 1 = x - 3$

$3x - x = -3 - 1$

$2x = -4$

$x = -2$

Проверим, удовлетворяет ли найденный корень ОДЗ. Условие $-2 > 3$ неверно. Следовательно, корень $x = -2$ является посторонним. Уравнение не имеет решений.

Ответ: корней нет

в) $lg(x^2 + 2x - 7) = lg(x - 1)$

Приравниваем аргументы логарифмов, так как основания равны, и проверяем полученные корни на соответствие ОДЗ.

$x^2 + 2x - 7 = x - 1$

$x^2 + 2x - x - 7 + 1 = 0$

$x^2 + x - 6 = 0$

Решим квадратное уравнение с помощью теоремы Виета. Корни уравнения: $x_1 = 2$ и $x_2 = -3$ (так как $2 \cdot (-3) = -6$ и $2 + (-3) = -1$).

Теперь проверим корни на соответствие ОДЗ. ОДЗ определяется системой $x^2 + 2x - 7 > 0$ и $x - 1 > 0$. Достаточно проверить более простое неравенство $x - 1 > 0$, то есть $x > 1$.

Проверка для $x_1 = 2$:

$2 > 1$. Условие выполняется. Значит, $x = 2$ является корнем.

Проверка для $x_2 = -3$:

$-3 > 1$. Условие не выполняется. Значит, $x = -3$ является посторонним корнем.

Ответ: $2$

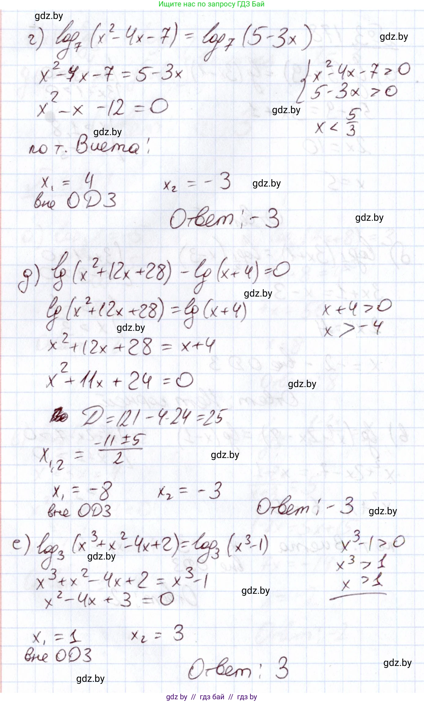
г) $\log_7(x^2 - 4x - 7) = \log_7(5 - 3x)$

Приравниваем аргументы логарифмов и проверяем полученные корни на соответствие ОДЗ.

$x^2 - 4x - 7 = 5 - 3x$

$x^2 - 4x + 3x - 7 - 5 = 0$

$x^2 - x - 12 = 0$

Решим квадратное уравнение с помощью теоремы Виета. Корни уравнения: $x_1 = 4$ и $x_2 = -3$ (так как $4 \cdot (-3) = -12$ и $4 + (-3) = 1$).

Проверим корни на соответствие ОДЗ. ОДЗ: $x^2 - 4x - 7 > 0$ и $5 - 3x > 0$. Проверим по более простому неравенству $5 - 3x > 0$, то есть $5 > 3x$ или $x < \frac{5}{3}$.

Проверка для $x_1 = 4$:

$4 < \frac{5}{3}$ (или $4 < 1.66...$). Условие не выполняется. Значит, $x = 4$ является посторонним корнем.

Проверка для $x_2 = -3$:

$-3 < \frac{5}{3}$. Условие выполняется. Значит, $x = -3$ является корнем.

Ответ: $-3$

д) $lg(x^2 + 12x + 28) - lg(x + 4) = 0$

Перенесем второй логарифм в правую часть уравнения:

$lg(x^2 + 12x + 28) = lg(x + 4)$

Теперь приравняем аргументы логарифмов:

$x^2 + 12x + 28 = x + 4$

$x^2 + 11x + 24 = 0$

Решим квадратное уравнение с помощью теоремы Виета. Корни уравнения: $x_1 = -3$ и $x_2 = -8$ (так как $(-3) \cdot (-8) = 24$ и $(-3) + (-8) = -11$).

Проверим корни на соответствие ОДЗ. ОДЗ: $x^2 + 12x + 28 > 0$ и $x + 4 > 0$. Проверим по более простому неравенству $x + 4 > 0$, то есть $x > -4$.

Проверка для $x_1 = -3$:

$-3 > -4$. Условие выполняется. Значит, $x = -3$ является корнем.

Проверка для $x_2 = -8$:

$-8 > -4$. Условие не выполняется. Значит, $x = -8$ является посторонним корнем.

Ответ: $-3$

е) $\log_3(x^3 + x^2 - 4x + 2) = \log_3(x^3 - 1)$

Приравниваем аргументы логарифмов:

$x^3 + x^2 - 4x + 2 = x^3 - 1$

$x^2 - 4x + 2 = -1$

$x^2 - 4x + 3 = 0$

Решим квадратное уравнение с помощью теоремы Виета. Корни уравнения: $x_1 = 1$ и $x_2 = 3$ (так как $1 \cdot 3 = 3$ и $1 + 3 = 4$).

Проверим корни на соответствие ОДЗ. ОДЗ: $x^3 + x^2 - 4x + 2 > 0$ и $x^3 - 1 > 0$. Проверим по более простому неравенству $x^3 - 1 > 0$, то есть $x^3 > 1$, что равносильно $x > 1$.

Проверка для $x_1 = 1$:

$1 > 1$. Условие не выполняется (неравенство строгое). Значит, $x = 1$ является посторонним корнем.

Проверка для $x_2 = 3$:

$3 > 1$. Условие выполняется. Значит, $x = 3$ является корнем.

Ответ: $3$

Помогло решение? Оставьте отзыв в комментариях ниже.

Присоединяйтесь к Телеграм-группе @gdz_by_belarus

Присоединиться

Мы подготовили для вас ответ c подробным объяснением домашего задания по алгебре за 11 класс, для упражнения номер 3.178 расположенного на странице 143 к учебнику 2020 года издания для учащихся школ и гимназий.

Теперь на нашем сайте ГДЗ.ТОП вы всегда легко и бесплатно найдёте условие с правильным ответом на вопрос «Как решить ДЗ» и «Как сделать» задание по алгебре к упражнению №3.178 (с. 143), авторов: Арефьева (Ирина Глебовна), Пирютко (Ольга Николаевна), учебного пособия издательства Народная асвета.