Номер 3.176, страница 143 - гдз по алгебре 11 класс учебник Арефьева, Пирютко

Алгебра, 11 класс Учебник, авторы: Арефьева Ирина Глебовна, Пирютко Ольга Николаевна, издательство Народная асвета, Минск, 2020, бирюзового цвета

Авторы: Арефьева И. Г., Пирютко О. Н.

Тип: Учебник

Издательство: Народная асвета

Год издания: 2020 - 2025

Цвет обложки: бирюзовый, зелёный с графиком

ISBN: 978-985-03-3165-6

Популярные ГДЗ в 11 классе

Глава 3. Логарифмическая функция. Параграф 9. Логарифмические уравнения - номер 3.176, страница 143.

№3.176 (с. 143)
Условие. №3.176 (с. 143)
скриншот условия
Алгебра, 11 класс Учебник, авторы: Арефьева Ирина Глебовна, Пирютко Ольга Николаевна, издательство Народная асвета, Минск, 2020, бирюзового цвета, страница 143, номер 3.176, Условие

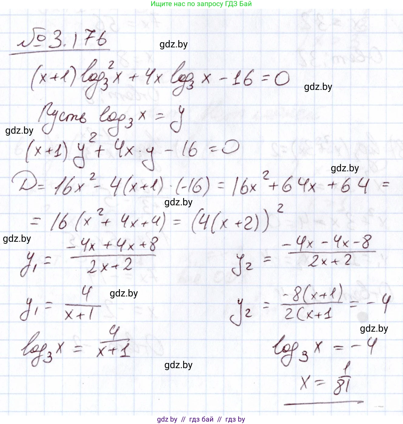
3.176*: Решите уравнение $(x + 1)\log_{3}^{2}x + 4x\log_{3}x - 16 = 0$.

Решение. №3.176 (с. 143)
Алгебра, 11 класс Учебник, авторы: Арефьева Ирина Глебовна, Пирютко Ольга Николаевна, издательство Народная асвета, Минск, 2020, бирюзового цвета, страница 143, номер 3.176, Решение Алгебра, 11 класс Учебник, авторы: Арефьева Ирина Глебовна, Пирютко Ольга Николаевна, издательство Народная асвета, Минск, 2020, бирюзового цвета, страница 143, номер 3.176, Решение (продолжение 2)
Решение 2. №3.176 (с. 143)

Исходное уравнение: $(x + 1)\log_{3}^2 x + 4x\log_{3} x - 16 = 0$.

Сначала определим область допустимых значений (ОДЗ). Аргумент логарифма должен быть строго положительным, поэтому $x > 0$.

Данное уравнение можно рассматривать как квадратное относительно $\log_3 x$. Для его решения применим метод разложения на множители. Преобразуем коэффициент при $\log_3 x$:

$4x = 4(x+1) - 4$

Подставим это выражение в исходное уравнение:

$(x + 1)\log_{3}^2 x + (4(x+1) - 4)\log_{3} x - 16 = 0$

Раскроем скобки:

$(x + 1)\log_{3}^2 x + 4(x+1)\log_{3} x - 4\log_{3} x - 16 = 0$

Сгруппируем слагаемые:

$((x + 1)\log_{3}^2 x + 4(x+1)\log_{3} x) - (4\log_{3} x + 16) = 0$

Вынесем общие множители из каждой группы:

$(x+1)\log_{3}x(\log_{3}x + 4) - 4(\log_{3}x + 4) = 0$

Теперь вынесем общий множитель $(\log_{3}x + 4)$ за скобку:

$(\log_{3}x + 4)((x+1)\log_{3}x - 4) = 0$

Произведение двух множителей равно нулю, если хотя бы один из них равен нулю. Это приводит к совокупности двух уравнений:

1) $\log_{3}x + 4 = 0$

2) $(x+1)\log_{3}x - 4 = 0$

Решим каждое уравнение отдельно.

Решение первого уравнения:

$\log_{3}x = -4$

По определению логарифма:

$x = 3^{-4} = \frac{1}{3^4} = \frac{1}{81}$

Корень $x = \frac{1}{81}$ удовлетворяет ОДЗ ($x>0$).

Решение второго уравнения:

$(x+1)\log_{3}x = 4$

$\log_{3}x = \frac{4}{x+1}$

Это трансцендентное уравнение. Решим его графически-аналитическим методом. Рассмотрим функции в левой и правой частях уравнения: $f(x) = \log_{3}x$ и $g(x) = \frac{4}{x+1}$.

На всей области определения $x>0$ функция $f(x) = \log_{3}x$ является строго возрастающей. Функция $g(x) = \frac{4}{x+1}$ является строго убывающей, так как ее знаменатель $x+1$ — возрастающая положительная функция.

Поскольку одна функция строго возрастает, а другая строго убывает, они могут пересечься не более чем в одной точке. Значит, уравнение имеет не более одного корня. Найдем этот корень методом подбора. Проверим целые значения $x$, которые являются степенями тройки.

Пусть $x=3$.

Левая часть: $f(3) = \log_{3}3 = 1$.

Правая часть: $g(3) = \frac{4}{3+1} = \frac{4}{4} = 1$.

Поскольку $f(3) = g(3)$, то $x=3$ является корнем уравнения. Так как это единственный корень, других решений у этого уравнения нет. Корень $x=3$ удовлетворяет ОДЗ.

Итак, мы нашли два корня исходного уравнения.

Ответ: $\frac{1}{81}; 3$.

Помогло решение? Оставьте отзыв в комментариях ниже.

Присоединяйтесь к Телеграм-группе @gdz_by_belarus

Присоединиться

Мы подготовили для вас ответ c подробным объяснением домашего задания по алгебре за 11 класс, для упражнения номер 3.176 расположенного на странице 143 к учебнику 2020 года издания для учащихся школ и гимназий.

Теперь на нашем сайте ГДЗ.ТОП вы всегда легко и бесплатно найдёте условие с правильным ответом на вопрос «Как решить ДЗ» и «Как сделать» задание по алгебре к упражнению №3.176 (с. 143), авторов: Арефьева (Ирина Глебовна), Пирютко (Ольга Николаевна), учебного пособия издательства Народная асвета.