Номер 3.179, страница 143 - гдз по алгебре 11 класс учебник Арефьева, Пирютко

Алгебра, 11 класс Учебник, авторы: Арефьева Ирина Глебовна, Пирютко Ольга Николаевна, издательство Народная асвета, Минск, 2020, бирюзового цвета

Авторы: Арефьева И. Г., Пирютко О. Н.

Тип: Учебник

Издательство: Народная асвета

Год издания: 2020 - 2025

Цвет обложки: бирюзовый, зелёный с графиком

ISBN: 978-985-03-3165-6

Популярные ГДЗ в 11 классе

Глава 3. Логарифмическая функция. Параграф 9. Логарифмические уравнения - номер 3.179, страница 143.

№3.179 (с. 143)
Условие. №3.179 (с. 143)
скриншот условия
Алгебра, 11 класс Учебник, авторы: Арефьева Ирина Глебовна, Пирютко Ольга Николаевна, издательство Народная асвета, Минск, 2020, бирюзового цвета, страница 143, номер 3.179, Условие

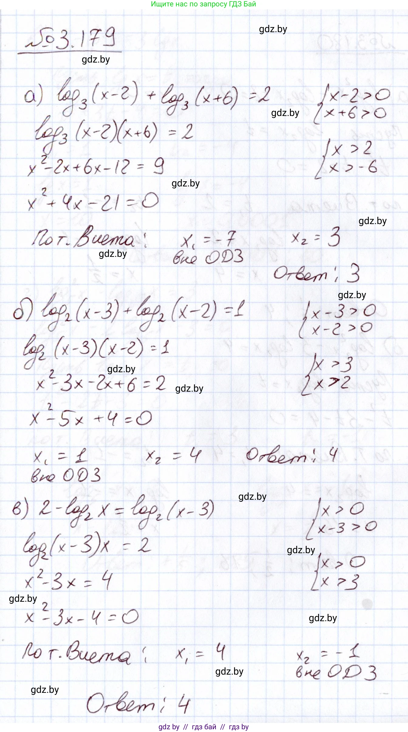
3.179. Воспользуйтесь свойствами логарифмов и решите уравнение:

а) $\log_3(x - 2) + \log_3(x + 6) = 2;$

б) $\log_2(x - 3) + \log_2(x - 2) = 1;$

в) $2 - \log_2 x = \log_2 (x - 3).$

Решение. №3.179 (с. 143)
Алгебра, 11 класс Учебник, авторы: Арефьева Ирина Глебовна, Пирютко Ольга Николаевна, издательство Народная асвета, Минск, 2020, бирюзового цвета, страница 143, номер 3.179, Решение
Решение 2. №3.179 (с. 143)

а) $log_3(x - 2) + log_3(x + 6) = 2$
Найдем область допустимых значений (ОДЗ). Аргументы логарифмов должны быть строго положительными: $ \begin{cases} x - 2 > 0 \\ x + 6 > 0 \end{cases} $ $ \begin{cases} x > 2 \\ x > -6 \end{cases} $
Пересечением этих условий является $x > 2$. Таким образом, ОДЗ: $x \in (2, +\infty)$.
Воспользуемся свойством суммы логарифмов $log_a(b) + log_a(c) = log_a(bc)$:
$log_3((x - 2)(x + 6)) = 2$
По определению логарифма, если $log_a(b) = c$, то $a^c = b$:
$(x - 2)(x + 6) = 3^2$
$x^2 + 6x - 2x - 12 = 9$
$x^2 + 4x - 12 - 9 = 0$
$x^2 + 4x - 21 = 0$
Решим полученное квадратное уравнение. Можно использовать теорему Виета или формулу для корней. По теореме Виета: $x_1 + x_2 = -4$ и $x_1 \cdot x_2 = -21$. Подбором находим корни: $x_1 = 3$ и $x_2 = -7$.
Проверим, принадлежат ли найденные корни ОДЗ ($x > 2$).
Корень $x_1 = 3$ удовлетворяет условию $3 > 2$.
Корень $x_2 = -7$ не удовлетворяет условию $-7 > 2$, следовательно, это посторонний корень.
Единственным решением уравнения является $x = 3$.
Ответ: 3.

б) $log_2(x - 3) + log_2(x - 2) = 1$
Найдем ОДЗ:
$ \begin{cases} x - 3 > 0 \\ x - 2 > 0 \end{cases} $ $ \begin{cases} x > 3 \\ x > 2 \end{cases} $
ОДЗ: $x \in (3, +\infty)$.
Применим свойство суммы логарифмов:
$log_2((x - 3)(x - 2)) = 1$
По определению логарифма:
$(x - 3)(x - 2) = 2^1$
$x^2 - 2x - 3x + 6 = 2$
$x^2 - 5x + 4 = 0$
Решим квадратное уравнение. По теореме Виета: $x_1 + x_2 = 5$ и $x_1 \cdot x_2 = 4$. Корни: $x_1 = 4$ и $x_2 = 1$.
Проверим корни на соответствие ОДЗ ($x > 3$).
Корень $x_1 = 4$ удовлетворяет условию $4 > 3$.
Корень $x_2 = 1$ не удовлетворяет условию $1 > 3$, значит, это посторонний корень.
Решением является $x = 4$.
Ответ: 4.

в) $2 - log_2x = log_2(x - 3)$
Найдем ОДЗ:
$ \begin{cases} x > 0 \\ x - 3 > 0 \end{cases} $ $ \begin{cases} x > 0 \\ x > 3 \end{cases} $
ОДЗ: $x \in (3, +\infty)$.
Перенесем логарифмы в одну часть уравнения:
$2 = log_2(x - 3) + log_2x$
Применим свойство суммы логарифмов:
$2 = log_2(x(x - 3))$
По определению логарифма:
$x(x - 3) = 2^2$
$x^2 - 3x = 4$
$x^2 - 3x - 4 = 0$
Решим квадратное уравнение. По теореме Виета: $x_1 + x_2 = 3$ и $x_1 \cdot x_2 = -4$. Корни: $x_1 = 4$ и $x_2 = -1$.
Проверим корни на соответствие ОДЗ ($x > 3$).
Корень $x_1 = 4$ удовлетворяет условию $4 > 3$.
Корень $x_2 = -1$ не удовлетворяет условию $-1 > 3$, это посторонний корень.
Решением является $x = 4$.
Ответ: 4.

Помогло решение? Оставьте отзыв в комментариях ниже.

Присоединяйтесь к Телеграм-группе @gdz_by_belarus

Присоединиться

Мы подготовили для вас ответ c подробным объяснением домашего задания по алгебре за 11 класс, для упражнения номер 3.179 расположенного на странице 143 к учебнику 2020 года издания для учащихся школ и гимназий.

Теперь на нашем сайте ГДЗ.ТОП вы всегда легко и бесплатно найдёте условие с правильным ответом на вопрос «Как решить ДЗ» и «Как сделать» задание по алгебре к упражнению №3.179 (с. 143), авторов: Арефьева (Ирина Глебовна), Пирютко (Ольга Николаевна), учебного пособия издательства Народная асвета.