Номер 3.177, страница 143 - гдз по алгебре 11 класс учебник Арефьева, Пирютко

Алгебра, 11 класс Учебник, авторы: Арефьева Ирина Глебовна, Пирютко Ольга Николаевна, издательство Народная асвета, Минск, 2020, бирюзового цвета

Авторы: Арефьева И. Г., Пирютко О. Н.

Тип: Учебник

Издательство: Народная асвета

Год издания: 2020 - 2025

Цвет обложки: бирюзовый, зелёный с графиком

ISBN: 978-985-03-3165-6

Популярные ГДЗ в 11 классе

Глава 3. Логарифмическая функция. Параграф 9. Логарифмические уравнения - номер 3.177, страница 143.

№3.177 (с. 143)
Условие. №3.177 (с. 143)
скриншот условия
Алгебра, 11 класс Учебник, авторы: Арефьева Ирина Глебовна, Пирютко Ольга Николаевна, издательство Народная асвета, Минск, 2020, бирюзового цвета, страница 143, номер 3.177, Условие

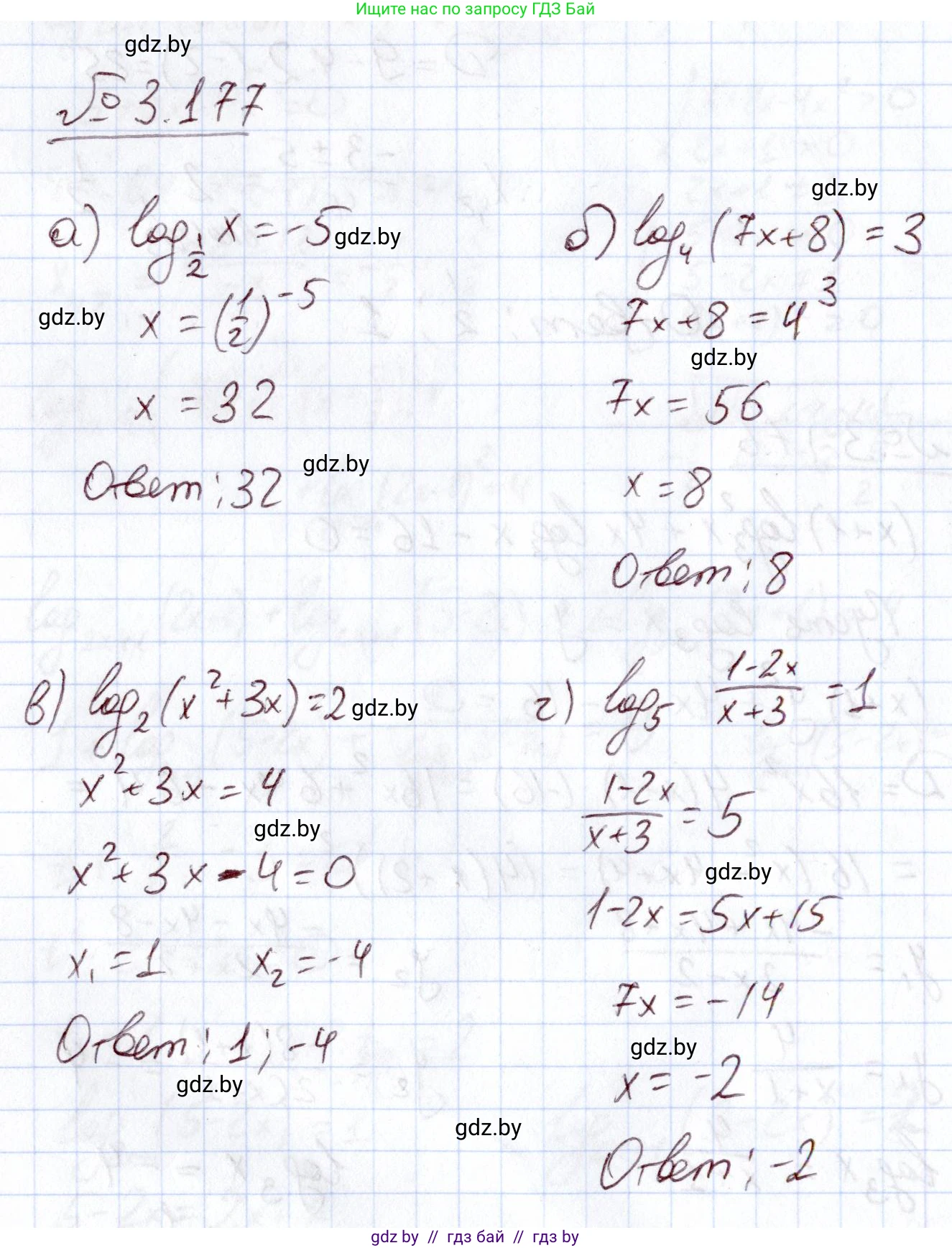
3.177. Решите логарифмическое уравнение:

a) $log_{\frac{1}{2}} x = -5;$

б) $log_4 (7x + 8) = 3;$

в) $log_2 (x^2 + 3x) = 2;$

г) $log_5 \frac{1-2x}{x+3} = 1.$

Решение. №3.177 (с. 143)
Алгебра, 11 класс Учебник, авторы: Арефьева Ирина Глебовна, Пирютко Ольга Николаевна, издательство Народная асвета, Минск, 2020, бирюзового цвета, страница 143, номер 3.177, Решение
Решение 2. №3.177 (с. 143)

а) $log_{\frac{1}{2}} x = -5$

Данное уравнение является простейшим логарифмическим уравнением. Для его решения воспользуемся определением логарифма: $log_b a = c$ эквивалентно $a = b^c$.

В нашем случае основание $b = \frac{1}{2}$, число под логарифмом $a = x$, а значение логарифма $c = -5$.

Применяя определение, получаем:

$x = (\frac{1}{2})^{-5}$

Чтобы вычислить значение, воспользуемся свойством степени с отрицательным показателем $(\frac{m}{n})^{-k} = (\frac{n}{m})^k$:

$x = (\frac{2}{1})^5 = 2^5 = 32$

Область допустимых значений (ОДЗ) для исходного уравнения определяется условием $x > 0$. Найденный корень $x=32$ удовлетворяет этому условию.

Ответ: $32$.

б) $log_4(7x + 8) = 3$

Используем определение логарифма $log_b a = c \iff a = b^c$.

В данном уравнении $b=4$, $a = 7x+8$, $c=3$.

Получаем уравнение:

$7x + 8 = 4^3$

$7x + 8 = 64$

Решаем полученное линейное уравнение:

$7x = 64 - 8$

$7x = 56$

$x = \frac{56}{7}$

$x = 8$

Проверим, удовлетворяет ли найденный корень области допустимых значений. Аргумент логарифма должен быть положительным:

$7x + 8 > 0$

Подставляем $x=8$: $7 \cdot 8 + 8 = 56 + 8 = 64$. Так как $64 > 0$, корень является действительным решением.

Ответ: $8$.

в) $log_2(x^2 + 3x) = 2$

По определению логарифма, $log_b a = c \iff a = b^c$.

Применяем это определение к нашему уравнению, где $b=2$, $a=x^2+3x$, $c=2$:

$x^2 + 3x = 2^2$

$x^2 + 3x = 4$

Перенесем все члены в левую часть, чтобы получить стандартное квадратное уравнение:

$x^2 + 3x - 4 = 0$

Решим это уравнение. Можно использовать теорему Виета или формулу для корней через дискриминант. Найдем дискриминант $D = b^2 - 4ac$:

$D = 3^2 - 4 \cdot 1 \cdot (-4) = 9 + 16 = 25$

Так как $D > 0$, уравнение имеет два различных корня:

$x_1 = \frac{-b + \sqrt{D}}{2a} = \frac{-3 + \sqrt{25}}{2 \cdot 1} = \frac{-3 + 5}{2} = \frac{2}{2} = 1$

$x_2 = \frac{-b - \sqrt{D}}{2a} = \frac{-3 - \sqrt{25}}{2 \cdot 1} = \frac{-3 - 5}{2} = \frac{-8}{2} = -4$

Проверим ОДЗ: аргумент логарифма $x^2 + 3x$ должен быть строго больше нуля.

Для $x_1=1$: $1^2 + 3 \cdot 1 = 1 + 3 = 4 > 0$. Корень подходит.

Для $x_2=-4$: $(-4)^2 + 3 \cdot (-4) = 16 - 12 = 4 > 0$. Корень также подходит.

Ответ: $-4; 1$.

г) $log_5 \frac{1-2x}{x+3} = 1$

Используя определение логарифма, преобразуем уравнение:

$\frac{1-2x}{x+3} = 5^1$

$\frac{1-2x}{x+3} = 5$

Область допустимых значений (ОДЗ) требует, чтобы знаменатель дроби не был равен нулю ($x+3 \neq 0 \implies x \neq -3$) и чтобы аргумент логарифма был положителен ($\frac{1-2x}{x+3} > 0$). Поскольку из уравнения следует, что дробь равна 5, а $5>0$, второе условие ОДЗ будет выполнено автоматически для любого найденного корня.

Решаем полученное дробно-рациональное уравнение, умножив обе части на знаменатель $(x+3)$:

$1 - 2x = 5(x+3)$

$1 - 2x = 5x + 15$

Соберем слагаемые с $x$ в одной части, а свободные члены в другой:

$1 - 15 = 5x + 2x$

$-14 = 7x$

$x = \frac{-14}{7}$

$x = -2$

Найденный корень $x=-2$ не совпадает с ограничением $x \neq -3$. Следовательно, это решение является действительным.

Ответ: $-2$.

Помогло решение? Оставьте отзыв в комментариях ниже.

Присоединяйтесь к Телеграм-группе @gdz_by_belarus

Присоединиться

Мы подготовили для вас ответ c подробным объяснением домашего задания по алгебре за 11 класс, для упражнения номер 3.177 расположенного на странице 143 к учебнику 2020 года издания для учащихся школ и гимназий.

Теперь на нашем сайте ГДЗ.ТОП вы всегда легко и бесплатно найдёте условие с правильным ответом на вопрос «Как решить ДЗ» и «Как сделать» задание по алгебре к упражнению №3.177 (с. 143), авторов: Арефьева (Ирина Глебовна), Пирютко (Ольга Николаевна), учебного пособия издательства Народная асвета.