Номер 3.15, страница 108 - гдз по алгебре 11 класс учебник Арефьева, Пирютко

Алгебра, 11 класс Учебник, авторы: Арефьева Ирина Глебовна, Пирютко Ольга Николаевна, издательство Народная асвета, Минск, 2020, бирюзового цвета

Авторы: Арефьева И. Г., Пирютко О. Н.

Тип: Учебник

Издательство: Народная асвета

Год издания: 2020 - 2025

Цвет обложки: бирюзовый, зелёный с графиком

ISBN: 978-985-03-3165-6

Популярные ГДЗ в 11 классе

Глава 3. Логарифмическая функция. Параграф 7. Свойства логарифмов - номер 3.15, страница 108.

№3.15 (с. 108)
Условие. №3.15 (с. 108)
скриншот условия
Алгебра, 11 класс Учебник, авторы: Арефьева Ирина Глебовна, Пирютко Ольга Николаевна, издательство Народная асвета, Минск, 2020, бирюзового цвета, страница 108, номер 3.15, Условие

3.15. Выберите свойства логарифмов, которые можно использовать для рациональных вычислений, и вычислите:

a) $\log_{81} 27;$

б) $\log_{\frac{1}{9}} \sqrt[4]{3};$

в) $\log_{\sqrt{2}} \sqrt[5]{8};$

г) $\log_{49\sqrt{7}} 49;$

д) $\log_{\frac{1}{9}} \frac{\sqrt[3]{3}}{3};$

е) $\log_{(6^7 \cdot \sqrt{6})} \sqrt[4]{216}.$

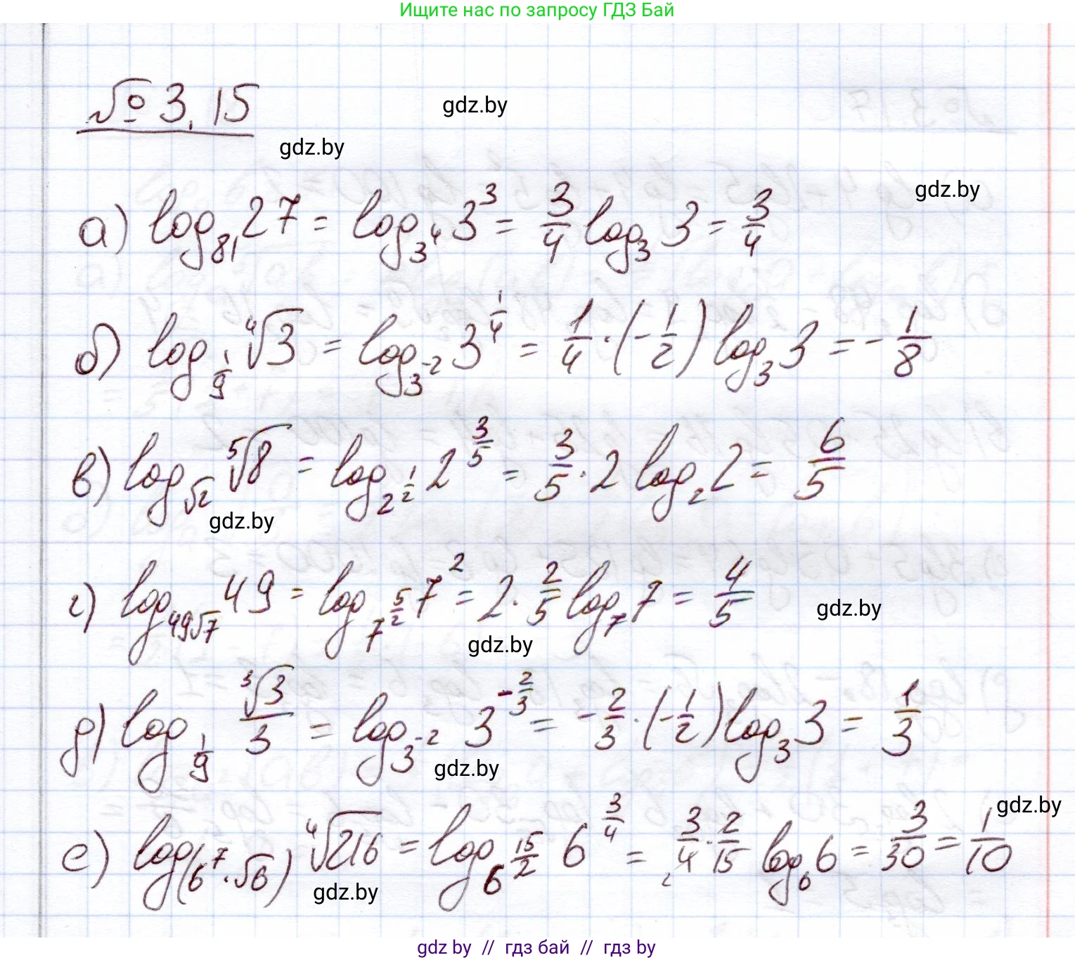
Решение. №3.15 (с. 108)
Алгебра, 11 класс Учебник, авторы: Арефьева Ирина Глебовна, Пирютко Ольга Николаевна, издательство Народная асвета, Минск, 2020, бирюзового цвета, страница 108, номер 3.15, Решение
Решение 2. №3.15 (с. 108)

Для рационального вычисления данных логарифмов используются свойства, позволяющие работать с основанием и аргументом логарифма, когда они являются степенями одного и того же числа. Основные используемые свойства:

  • Свойство степени в основании и аргументе логарифма: $ \log_{a^n} b^m = \frac{m}{n} \log_a b $.
  • Следствие из предыдущего свойства: $ \log_{a^n} a^m = \frac{m}{n} $, так как $ \log_a a = 1 $.
  • Свойства степеней: $ a^m \cdot a^n = a^{m+n} $, $ \frac{a^m}{a^n} = a^{m-n} $, $ \sqrt[n]{a^m} = a^{\frac{m}{n}} $, $ a^{-n} = \frac{1}{a^n} $.

Общий подход заключается в том, чтобы представить основание и аргумент каждого логарифма как степени одного и того же числа, а затем применить указанные свойства.

а) $ \log_{81} 27 $
Представим основание 81 и аргумент 27 как степени числа 3.
Основание: $ 81 = 3^4 $.
Аргумент: $ 27 = 3^3 $.
Подставим эти значения в исходное выражение:
$ \log_{81} 27 = \log_{3^4} 3^3 $
Используем свойство $ \log_{a^n} a^m = \frac{m}{n} $:
$ \log_{3^4} 3^3 = \frac{3}{4} $
Ответ: $ \frac{3}{4} $

б) $ \log_{\frac{1}{9}} \sqrt[4]{3} $
Представим основание $ \frac{1}{9} $ и аргумент $ \sqrt[4]{3} $ как степени числа 3.
Основание: $ \frac{1}{9} = \frac{1}{3^2} = 3^{-2} $.
Аргумент: $ \sqrt[4]{3} = 3^{\frac{1}{4}} $.
Подставим в выражение:
$ \log_{\frac{1}{9}} \sqrt[4]{3} = \log_{3^{-2}} 3^{\frac{1}{4}} $
Применяем свойство $ \log_{a^n} a^m = \frac{m}{n} $:
$ \log_{3^{-2}} 3^{\frac{1}{4}} = \frac{\frac{1}{4}}{-2} = -\frac{1}{8} $
Ответ: $ -\frac{1}{8} $

в) $ \log_{\sqrt{2}} \sqrt[5]{8} $
Представим основание $ \sqrt{2} $ и аргумент $ \sqrt[5]{8} $ как степени числа 2.
Основание: $ \sqrt{2} = 2^{\frac{1}{2}} $.
Аргумент: $ \sqrt[5]{8} = \sqrt[5]{2^3} = 2^{\frac{3}{5}} $.
Подставим в выражение:
$ \log_{\sqrt{2}} \sqrt[5]{8} = \log_{2^{\frac{1}{2}}} 2^{\frac{3}{5}} $
Применяем свойство $ \log_{a^n} a^m = \frac{m}{n} $:
$ \log_{2^{\frac{1}{2}}} 2^{\frac{3}{5}} = \frac{\frac{3}{5}}{\frac{1}{2}} = \frac{3}{5} \cdot \frac{2}{1} = \frac{6}{5} $
Ответ: $ \frac{6}{5} $

г) $ \log_{49\sqrt{7}} 49 $
Представим основание $ 49\sqrt{7} $ и аргумент 49 как степени числа 7.
Основание: $ 49\sqrt{7} = 7^2 \cdot 7^{\frac{1}{2}} = 7^{2+\frac{1}{2}} = 7^{\frac{5}{2}} $.
Аргумент: $ 49 = 7^2 $.
Подставим в выражение:
$ \log_{49\sqrt{7}} 49 = \log_{7^{\frac{5}{2}}} 7^2 $
Применяем свойство $ \log_{a^n} a^m = \frac{m}{n} $:
$ \log_{7^{\frac{5}{2}}} 7^2 = \frac{2}{\frac{5}{2}} = 2 \cdot \frac{2}{5} = \frac{4}{5} $
Ответ: $ \frac{4}{5} $

д) $ \log_{\frac{1}{9}} \frac{\sqrt[3]{3}}{3} $
Представим основание $ \frac{1}{9} $ и аргумент $ \frac{\sqrt[3]{3}}{3} $ как степени числа 3.
Основание: $ \frac{1}{9} = 3^{-2} $.
Аргумент: $ \frac{\sqrt[3]{3}}{3} = \frac{3^{\frac{1}{3}}}{3^1} = 3^{\frac{1}{3}-1} = 3^{-\frac{2}{3}} $.
Подставим в выражение:
$ \log_{\frac{1}{9}} \frac{\sqrt[3]{3}}{3} = \log_{3^{-2}} 3^{-\frac{2}{3}} $
Применяем свойство $ \log_{a^n} a^m = \frac{m}{n} $:
$ \log_{3^{-2}} 3^{-\frac{2}{3}} = \frac{-\frac{2}{3}}{-2} = \frac{2}{3 \cdot 2} = \frac{1}{3} $
Ответ: $ \frac{1}{3} $

е) $ \log_{(6^7 \cdot \sqrt{6})} \sqrt[4]{216} $
Представим основание $ 6^7 \cdot \sqrt{6} $ и аргумент $ \sqrt[4]{216} $ как степени числа 6.
Основание: $ 6^7 \cdot \sqrt{6} = 6^7 \cdot 6^{\frac{1}{2}} = 6^{7+\frac{1}{2}} = 6^{\frac{15}{2}} $.
Аргумент: $ \sqrt[4]{216} = \sqrt[4]{6^3} = 6^{\frac{3}{4}} $.
Подставим в выражение:
$ \log_{(6^7 \cdot \sqrt{6})} \sqrt[4]{216} = \log_{6^{\frac{15}{2}}} 6^{\frac{3}{4}} $
Применяем свойство $ \log_{a^n} a^m = \frac{m}{n} $:
$ \log_{6^{\frac{15}{2}}} 6^{\frac{3}{4}} = \frac{\frac{3}{4}}{\frac{15}{2}} = \frac{3}{4} \cdot \frac{2}{15} = \frac{6}{60} = \frac{1}{10} $
Ответ: $ \frac{1}{10} $

Помогло решение? Оставьте отзыв в комментариях ниже.

Присоединяйтесь к Телеграм-группе @gdz_by_belarus

Присоединиться

Мы подготовили для вас ответ c подробным объяснением домашего задания по алгебре за 11 класс, для упражнения номер 3.15 расположенного на странице 108 к учебнику 2020 года издания для учащихся школ и гимназий.

Теперь на нашем сайте ГДЗ.ТОП вы всегда легко и бесплатно найдёте условие с правильным ответом на вопрос «Как решить ДЗ» и «Как сделать» задание по алгебре к упражнению №3.15 (с. 108), авторов: Арефьева (Ирина Глебовна), Пирютко (Ольга Николаевна), учебного пособия издательства Народная асвета.