Номер 3.17, страница 108 - гдз по алгебре 11 класс учебник Арефьева, Пирютко

Алгебра, 11 класс Учебник, авторы: Арефьева Ирина Глебовна, Пирютко Ольга Николаевна, издательство Народная асвета, Минск, 2020, бирюзового цвета

Авторы: Арефьева И. Г., Пирютко О. Н.

Тип: Учебник

Издательство: Народная асвета

Год издания: 2020 - 2025

Цвет обложки: бирюзовый, зелёный с графиком

ISBN: 978-985-03-3165-6

Популярные ГДЗ в 11 классе

Глава 3. Логарифмическая функция. Параграф 7. Свойства логарифмов - номер 3.17, страница 108.

№3.17 (с. 108)
Условие. №3.17 (с. 108)
скриншот условия
Алгебра, 11 класс Учебник, авторы: Арефьева Ирина Глебовна, Пирютко Ольга Николаевна, издательство Народная асвета, Минск, 2020, бирюзового цвета, страница 108, номер 3.17, Условие

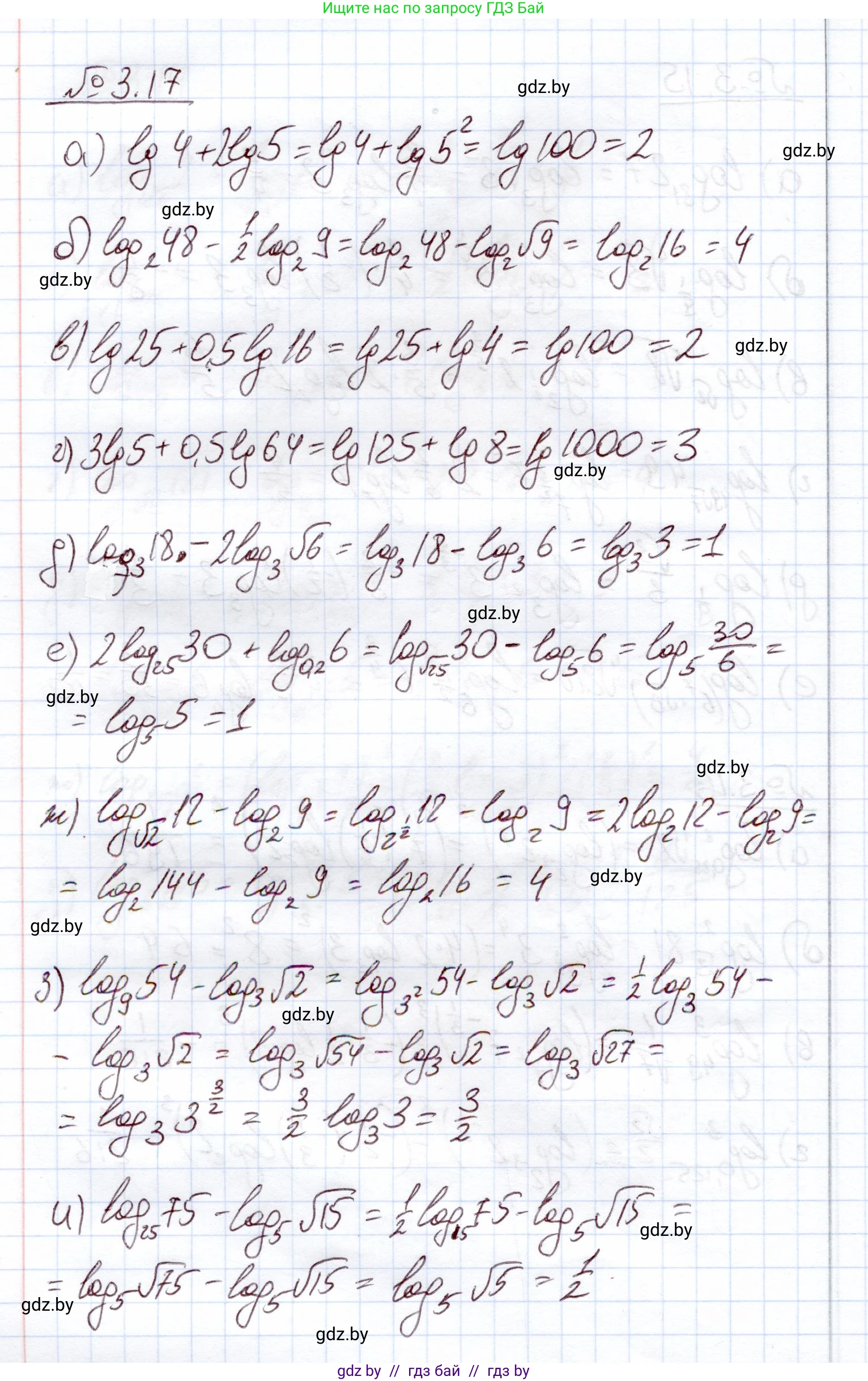
3.17. Найдите значение выражения:

a) $lg4 + 2lg5;$

б) $log_2 48 - \frac{1}{2}log_2 9;$

в) $lg25 + 0,5lg16;$

г) $3lg5 + 0,5lg64;$

д) $log_3 18 - 2log_3 \sqrt{6};$

е) $2log_{25} 30 + log_{0,2} 6;$

ж) $log_{\sqrt{2}} 12 - log_2 9;$

з) $log_9 54 - log_3 \sqrt{2};$

и) $log_{25} 75 - log_5 \sqrt{15}.$

Решение. №3.17 (с. 108)
Алгебра, 11 класс Учебник, авторы: Арефьева Ирина Глебовна, Пирютко Ольга Николаевна, издательство Народная асвета, Минск, 2020, бирюзового цвета, страница 108, номер 3.17, Решение
Решение 2. №3.17 (с. 108)

а) Для решения используем свойства логарифмов: свойство степени логарифма $k \cdot \log_a b = \log_a b^k$ и свойство суммы логарифмов $\log_a b + \log_a c = \log_a (b \cdot c)$. В данном выражении $\lg$ обозначает десятичный логарифм (логарифм по основанию 10).

$\lg 4 + 2\lg 5 = \lg 4 + \lg 5^2 = \lg 4 + \lg 25 = \lg (4 \cdot 25) = \lg 100$.

По определению логарифма, $\lg 100 = \log_{10} 100 = 2$, так как $10^2 = 100$.

Ответ: 2

б) Используем свойство степени логарифма $k \cdot \log_a b = \log_a b^k$ и свойство разности логарифмов $\log_a b - \log_a c = \log_a (b/c)$.

$\log_2 48 - \frac{1}{2}\log_2 9 = \log_2 48 - \log_2 9^{1/2} = \log_2 48 - \log_2 \sqrt{9} = \log_2 48 - \log_2 3$.

$\log_2 (48 / 3) = \log_2 16$.

По определению логарифма, $\log_2 16 = 4$, так как $2^4 = 16$.

Ответ: 4

в) Используем свойства логарифмов, как и в пункте а). Коэффициент 0,5 равен 1/2.

$\lg 25 + 0,5\lg 16 = \lg 25 + \lg 16^{0,5} = \lg 25 + \lg \sqrt{16} = \lg 25 + \lg 4$.

$\lg (25 \cdot 4) = \lg 100 = 2$.

Ответ: 2

г) Снова используем свойства степени и суммы логарифмов.

$3\lg 5 + 0,5\lg 64 = \lg 5^3 + \lg 64^{0,5} = \lg 125 + \lg \sqrt{64} = \lg 125 + \lg 8$.

$\lg (125 \cdot 8) = \lg 1000 = 3$, так как $10^3 = 1000$.

Ответ: 3

д) Используем свойства степени и разности логарифмов.

$\log_3 18 - 2\log_3 \sqrt{6} = \log_3 18 - \log_3 (\sqrt{6})^2 = \log_3 18 - \log_3 6$.

$\log_3 (18 / 6) = \log_3 3 = 1$.

Ответ: 1

е) Приведем логарифмы к одному основанию, используя свойство $\log_{a^k} b = \frac{1}{k}\log_a b$. Заметим, что $25 = 5^2$ и $0,2 = 1/5 = 5^{-1}$.

$2\log_{25} 30 + \log_{0,2} 6 = 2\log_{5^2} 30 + \log_{5^{-1}} 6 = 2 \cdot \frac{1}{2}\log_5 30 + (-1)\log_5 6 = \log_5 30 - \log_5 6$.

Применяем свойство разности логарифмов:

$\log_5 (30 / 6) = \log_5 5 = 1$.

Ответ: 1

ж) Приведем логарифмы к одному основанию 2. Заметим, что $\sqrt{2} = 2^{1/2}$.

$\log_{\sqrt{2}} 12 - \log_2 9 = \log_{2^{1/2}} 12 - \log_2 9 = \frac{1}{1/2}\log_2 12 - \log_2 9 = 2\log_2 12 - \log_2 9$.

Используем свойство степени, а затем разности логарифмов:

$\log_2 12^2 - \log_2 9 = \log_2 144 - \log_2 9 = \log_2 (144 / 9) = \log_2 16 = 4$.

Ответ: 4

з) Приведем логарифмы к одному основанию 3. Заметим, что $9 = 3^2$.

$\log_9 54 - \log_3 \sqrt{2} = \log_{3^2} 54 - \log_3 \sqrt{2} = \frac{1}{2}\log_3 54 - \log_3 \sqrt{2}$.

Используем свойство степени, а затем разности логарифмов:

$\log_3 54^{1/2} - \log_3 \sqrt{2} = \log_3 \sqrt{54} - \log_3 \sqrt{2} = \log_3 \left(\frac{\sqrt{54}}{\sqrt{2}}\right) = \log_3 \sqrt{\frac{54}{2}} = \log_3 \sqrt{27}$.

Так как $\sqrt{27} = (3^3)^{1/2} = 3^{3/2}$, то $\log_3 3^{3/2} = \frac{3}{2} = 1,5$.

Ответ: 1,5

и) Приведем логарифмы к одному основанию 5. Заметим, что $25 = 5^2$.

$\log_{25} 75 - \log_5 \sqrt{15} = \log_{5^2} 75 - \log_5 \sqrt{15} = \frac{1}{2}\log_5 75 - \log_5 \sqrt{15}$.

Используем свойство степени, а затем разности логарифмов:

$\log_5 75^{1/2} - \log_5 \sqrt{15} = \log_5 \sqrt{75} - \log_5 \sqrt{15} = \log_5 \left(\frac{\sqrt{75}}{\sqrt{15}}\right) = \log_5 \sqrt{\frac{75}{15}} = \log_5 \sqrt{5}$.

Так как $\sqrt{5} = 5^{1/2}$, то $\log_5 5^{1/2} = \frac{1}{2} = 0,5$.

Ответ: 0,5

Помогло решение? Оставьте отзыв в комментариях ниже.

Присоединяйтесь к Телеграм-группе @gdz_by_belarus

Присоединиться

Мы подготовили для вас ответ c подробным объяснением домашего задания по алгебре за 11 класс, для упражнения номер 3.17 расположенного на странице 108 к учебнику 2020 года издания для учащихся школ и гимназий.

Теперь на нашем сайте ГДЗ.ТОП вы всегда легко и бесплатно найдёте условие с правильным ответом на вопрос «Как решить ДЗ» и «Как сделать» задание по алгебре к упражнению №3.17 (с. 108), авторов: Арефьева (Ирина Глебовна), Пирютко (Ольга Николаевна), учебного пособия издательства Народная асвета.